高海拔隧道爆破后粉尘污染动力学模型及影响因素

蒋仲安1,曾发镔1,冯 雪2,张国梁1,杨 斌1,王亚朋3

(1.北京科技大学 土木与资源工程学院,北京 100083;2.四川蜀道高速公路集团有限公司,四川 成都 610041;3.青岛科技大学 环境与安全工程学院,山东 青岛 266042)

摘 要:为降低高海拔隧道钻爆法施工爆破后的粉尘污染,提高隧道掘进工作面粉尘防治技术和职业健康保障能力,推动施工隧道清洁化生产水平。依托西南某铁路隧道工区为背景建立隧道爆破掘进压入式通风模型,根据气固两相流理论与气溶胶力学构建高海拔隧道粉尘污染动力学模型。运用数值模拟软件分析不同海拔高度、通风距离以及通风风量条件下的爆破驱动掘进工作面,高浓度粉尘污染效应,并采用灰色关联分析法探究粉尘质量浓度降低至安全值所需时间与各影响因素之间的关联度。研究结果表明:海拔高度上升将引起的环境参数与气固耦合流体运动特性的改变,粉尘颗粒水平运移速度与海拔高度和粉尘粒径均呈负相关,竖直沉降速度与之相反。高海拔隧道爆破后粉尘质量浓度空间分布服从多元高斯分布,且扩散系数随海拔高度的上升而增大。隧道内风流场分布区域分为涡流区、过渡区以及稳定区,涡流区呈锥形且中心的风速小于周围区域的风速,隧道断面平均风速降低至约0.3 m/s并逐渐稳定。爆破后粉尘颗粒随风流向隧道外呈“⊃字型”运移,隧道回风侧的粉尘质量浓度大于风管侧。爆破后产生的大颗粒粉尘(粒径≥30 μm)在距掘进工作面100 m范围内快速沉降,小颗粒粉尘将随风扩散并悬浮于隧道空间内,且扩散距离越远,粉尘粒径越小。高海拔环境下扩大风管出口至掘进工作面距离以及增加风管风量均有利于减低隧道爆破后的粉尘污染效应,隧道内粉尘质量浓度降低至安全值所需时间受通风距离的影响最大,通风风量的影响次之,而海拔高度的影响相对有限,其灰色关联度系数分别为0.684、0.678和0.661。

关键词:高海拔;隧道爆破;粉尘污染;动力学模型;灰色关联分析;数值模拟

近年来随着社会经济的快速发展,我国中西部地区道路建设事业迅速崛起,铁路隧道的修建逐渐涉及高海拔、高地温、大埋深等恶劣条件[1-2],这些恶劣条件严重影响施工环境安全并制约着施工隧道工程进度,对施工隧道粉尘污染高效防治的要求也更为严苛。

隧道爆破粉尘主要来源于2个方面,爆破前岩体表面沉积的粉尘和爆破时岩体破碎过程产生的粉尘[3-4]。粉尘颗粒在剥离掘进工作面及岩壁后涌入隧道,在风管风流的作用下向隧道外运移并逐渐沉降,本质属于多相流理论中的气固两相流的研究范畴。目前,国内外学者较多采用理论研究、实验研究以及数值模拟技术等方法分析隧道粉尘污染问题[5-7],主要涉及风流流场分布、粉尘运移、含尘空气与粉尘颗粒的耦合作用等方面[8-10]。SOO S L[11]提出了颗粒群的拟流体(连续介质)模型,将含尘气流看作气相与固相耦合的“两相流”,给出颗粒群的空间浓度分布。HU等[12]利用蒙特卡洛方法构建了描述颗粒运动的气固两相流模型,分析了爆破后掘进工作面呼吸性粉尘的空间分布。LEE[13]研究了巷道内流场分布与粉尘在风流作用下的运动特性,分析了风管的位置和直径对巷道内换气效率的影响,得出了排除粉尘最优风管设置参数。SA等[14]利用数值模拟技术研究了爆破后硐室采场因通风而产生的粉尘质量浓度变化以及不同风速下的粉尘运动轨迹,并通过现场实测验证了模拟的可靠性。曹杨等[15]分析了掘进工作面炮烟运移规律公式,并对排烟时间影响因素进行灰色关联度计算。YU等[16]利用CFD-DEM建立风流-粉尘耦合模型,从微观角度分析了巷道爆破后粉尘颗粒在压入式与抽出式2种通风条件下的粉尘扩散及污染机理。

上述有关粉尘污染的研究主要基于平原条件展开,然而,海拔高度的上升将引起施工环境的大气压、空气密度、空气运动黏度等参数发生变化,影响风流流场分布与粉尘扩散规律。龚剑[17]研究了高海拔矿山隧道掘进工作面粉尘运移规律并优化了通风除尘系统。蒋仲安等[18-19]建立了可用于确定不同海拔高度条件下矿井最低排尘风速的理论计算模型,研究了掘进机动态截割煤岩时粉尘的污染效应及通风排尘参数。为有效抑制爆破后掘进工作面粉尘的产生和扩散,国内外学者提出了多种降尘方法,主要包括通风除尘、喷雾降尘、化学抑尘、空气幕隔尘、水雾降尘等[20-22],由于隧道爆破施工的工序复杂、施工难度高,目前对高海拔隧道爆破后粉尘动力学规律、粉尘质量浓度扩散分布研究较少以及除尘技术参数不准确等原因,高海拔条件下采取措施进行降尘时,效率及抑尘性能远低于理想效果。

因此,笔者依托某隧道爆破掘进工序进行现场实测,结果表明,在不采取任何防尘措施的条件下,隧道爆破后掘进工作面附近区域粉尘质量浓度高达1 300 mg/m3,严重威胁隧道施工人员的人身健康与安全。基于该隧道爆破掘进工作面的实际工况,笔者采用理论分析与数值模拟方法研究了隧道爆破粉尘运移与沉降轨迹以及粉尘的时空演变规律,并采用灰色关联分析法研究了海拔高度、通风参数与粉尘质量浓度变化的关联度,为高海拔隧道爆破施工通风设计与粉尘防治提供理论参考。

1 高海拔隧道爆破后粉尘质量浓度测定及流体运动特性分析

1.1 高海拔隧道复杂艰险环境影响分析

我国地势复杂多变,整体呈西高东低的走势,穿山隧道是中西部高原地区修建铁路的重要组成部分,随着我国交通路网的不断延伸,高海拔铁路隧道数量日益增多。截至2023年6月,我国已建成的部分高海拔铁路隧道如图1所示[23]

图1 我国典型高海拔铁路隧道
Fig.1 Typical high altitude railway tunnel in China

高海拔特殊的气候条件和地理位置对隧道施工和管理将带来巨大的挑战。空气中的氧含量与氧气密度将随着海拔高度的上升而下降,威胁着施工人员的安全。与此同时,海拔高度的上升会引起大气流速的加快,周围环境的温湿度更易于散失和流失,导致昼夜温差大与空气干燥等恶劣环境,将制约施工隧道工程进度。为使得高海拔复杂艰险施工隧道爆破后的环境空气质量满足施工设计要求,笔者以西南某铁路隧道为背景开展研究,该施工隧道海拔高度在3 200~3 800 m,施工环境属典型的高海拔气候。

1.2 高海拔隧道环境参数及粉尘质量浓度测定

采用多功能通风参数仪(型号:TSI 9565)、精密气压计(型号:CZC5)和气体检测仪(型号:Drager Pac5500)对该段入口与出口工区的温度、相对湿度和大气压力等环境参数进行测定,见表1。

表1 某高海拔隧道工区实测环境参数
Table 1 Measured environmental parameters of a high altitude tunnel work area

位置海拔/m大气压力/Pa空气密度/(kg·m-3)氧气体积分数/%氧气密度/(kg·m-3)温度/℃相对湿度/%入口工区3 30069 1000.81119.1~20.91.299~1.3682256出口工区3 78065 2000.76219.1~20.91.299~1.3681932海平面 0101 3251.29320.91.429——

分析可知,高海拔地区环境气候变化多端,实测夏季环境温度为19~22 ℃,相对湿度为32%~56%。大气压力与空气密度均降至海平面高度的55%~70%,氧气体积分数最低值为19.1%,氧气密度为1.299~1.368 kg/m3,均低于标准值,表明高海拔高强度的施工作业活动对人员的舒适性与安全性将产生影响。现况调研的大气压力、空气密度以及氧气体积分数与海平面标准值的比值分别为:0.64~0.68、0.59~0.63、0.91~1.00。

采用便携式激光粉尘仪(型号:LD-5C)、粉尘采样仪(型号:CCZ-20A)和激光测距仪(型号:KOMAX)对海拔3 500 m的隧道爆破粉尘进行测量。以隧道中心线为对称线,在距离中心线两侧各4 m位置布置轴线1、轴线2、轴线3三条测量线进行粉尘质量浓度测定,每排在隧道沿程上布置36个测点,测点间距约为5 m,测点高度为呼吸带高度(距地面1.5 m),考虑到隧道实际作业工序的运营以及人员的安全,需要在爆破前安装并打开采样仪,但在后续计算时需将提前打开仪器产生的误差消除。高海拔施工隧道粉尘质量浓度及粒径分布测定结果如图2所示。

图2 高海拔隧道爆破工序粉尘质量浓度及粒径分布测定
Fig.2 Determination of dust concentration and particle size distribution in blasting process of high altitude tunnel

由图2可知:

(1)隧道爆破后,轴向沿程粉尘质量浓度随着至掘进工作面距离的增加呈现先骤降后稳定的变化趋势。各个轴线测点的粉尘质量浓度变化趋势相似且未出现单侧粉尘聚集,这可能是由于隧道掘进工作面爆破后冲击波对隧道空间内气流场的分布仍存在扰动作用,导致粉尘扩散至隧道整个断面。

(2)粉尘质量浓度峰值出现在距离掘进工作面5 m范围内,峰值质量浓度约为113.96 mg/m3。相较于未采取通风措施,粉尘质量浓度下降了约91.23%。Q/CR 9604—2015《高速铁路隧道工程施工技术规程》[24]中规定含有10%以上游离SiO2的粉尘质量浓度应≤2 mg/m3,根据实测结果可知掘进工作面附近区域的粉尘质量浓度均未达到规定的浓度标准。

(3)该隧道岩尘主要材质为SiO2,粉尘密度为2 320 kg/m3。爆破粉尘粒径分布基本符合Rosin-Rammler函数,分布指数为1.95。岩尘颗粒的最大粒径为40 μm,最小粒径为1 μm,特征粒径12.2 μm。

1.3 高海拔隧道对流体运动特性影响分析

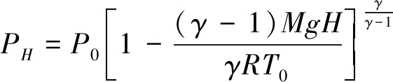
分析环境参数对气固耦合流体运动特性的影响是推导高海拔隧道粉尘动力学模型的前提。在等温理想条件下,大气压会随着海拔高度的上升而下降,大气压和海拔高度的关系满足等温气压公式。然而,在海拔0~11 km的对流层,大气是非等温的,不同高度的空气不断发生对流,空气在上升时会膨胀,下降时会收缩,温度因此会随着海拔高度的增加而降低。理论研究表明,在对流层内海拔高度每升高100 m,气温下降约0.65 ℃,所以在考虑温度变化的情况下,采用多状态方程和等温气压公式可推导出大气压随海拔高度的变化公式:

(1)

式中,PH为高海拔条件下的大气压,Pa;P0为标准大气压,101 325 Pa;M为空气的摩尔质量,28.96 kg/mol;g为重力加速度,取9.8 m/s2R为普适气体常数,8.314 kJ/(kmol·K);T0为标况下空气温度,293.15 K;H为海拔高度,km;γ为大气比热容比,运用遗传算法反演得到精确值为1.232。

高海拔地区空气稀薄,气体的密度将随着海拔高度的增加而逐渐降低。理想气体分子有质量无体积,与其他分子无相互作用,在常温低压条件下,空气可近似看作理想气体。根据理想气体状态方程PV=mRT/M可推导出空气密度在不同气温气压下的计算公式:

(2)

式中,ρ0为标况下空气密度,1.293 kg/m3ρHPHTH分别为海拔高度为H的空气的密度、大气压力、绝对温度。

动力黏度μ是流体本身固有的物理性质所决定的量,同一种流体的μ值变化与温度和压力有关,但在低于10个大气压的变化范围内,压力影响可忽略不计。在小于10个大气压的低压情况下,气体的动力黏度与温度的经验关系式为式(3)。结合温度随海拔高度变化规律,如图3所示,分析可知,在高海拔地区,动力黏度μ也会随着海拔上升呈现下降的趋势。在海拔高度为3 500 m时,计算得到空气的动力黏度在温度的影响下降低至1.67×10-5 Pa·s。

图3 环境参数随海拔高度的变化
Fig.3 Variations of environmental parameters with altitude

(3)

其中,B为气体种类常数;μ0为气体在T0=273 K时的动力黏度;μH为气体在TH时的动力黏度。对于空气,B=110.4,μ0=1.71×10-5 Pa·s。

2 高海拔隧道爆破后粉尘污染动力学模型

根据气溶胶力学的基本原理,粉尘的运动轨迹主要与其受力状态密切相关,若粉尘颗粒的形状为规则的球型颗粒点,如图4所示,粉尘颗粒在流动空气中存在气固两相的相对运动,粉尘受到的作用力包括重力G、浮力Ff、气流拽引阻力Fp、压力梯度力Fd、Magnus升力FM、Saffman升力FS、Basset力FB以及虚假质量力FVm等,由牛顿第二定律可知,粉尘颗粒的运动微分方程表达式可记作。

图4 隧道内粉尘颗粒受力分析示意
Fig.4 Force analysis diagram of dust particles in tunnel


G+Ff+Fp+Fd+FM+FS+FB+FVm

(4)

式中,mp为粉尘颗粒质量,kg;up为粉尘运动速度,m/s;t为粉尘运动时间,s。

由于施工隧道环境恶劣,且机械设备振动与车辆运输过程对气流的扰动较大,致使爆破产生的粉尘颗粒受力状况多而复杂。粉尘颗粒受到重力G、浮力Ff以及气流拽引阻力Fp的影响较大,其余作用力数量级相对极小,对粉尘运动的影响可忽略不计。因而式(4)可以简化为

(5)

式中,Cd为气体阻力系数,实测结果表明施工隧道内存在的气固耦合流动多属于紊流区(Newton),Cd取0.44;dp为球形颗粒等效直径,m;ρAir为隧道内流体密度,kg/m3u为流体流动速度,m/s;ρp为粉尘颗粒密度,取2 320 kg/m3

2.1 高海拔隧道粉尘颗粒的水平运移轨迹方程

粉尘颗粒在空气中的运动可以分解为随风流作用的水平扩散和随重力作用的竖直沉降,因此分别从2个方向构建高海拔隧道粉尘动力学模型。图4表明在水平方向粉尘颗粒的运动主要以气流拽引阻力Fp作为动力发生扩散运动,直至粉尘水平运动速度upx与环境风速相等为止,若风速u沿隧道方向(x方向)且为定值,根据牛顿第二定律可得粉尘水平方向的受力情况为

(6)

n1=1/u,利用换元公式与微积分原理,可得

(7)

t=0时,有upx=0,于是计算可得C=1。因此,粉尘颗粒的水平运动轨迹方程为

(8)

由式(8)看出,在隧道轴向,粉尘颗粒运动轨迹主要与环境风速u、粉尘颗粒密度ρp、粉尘颗粒粒径dp、空气密度ρAir以及阻力系数Cd等因素有关。海拔上升后,空气密度ρAir将下降,而处于紊流区的Cd不变,因此粉尘水平速度upx随着海拔高度的增加呈现减小的变化趋势。当施工隧道海拔为3 500 m时,可计算得空气密度为0.863 kg/m3,则式(8)可简化为式(9)。亦可计算海拔高度在0~6 000 m时,粉尘在隧道轴向的运动轨迹方程见表2。

表2 不同海拔高度下环境参数及粉尘水平运动表达式
Table 2 Expressions of dust horizontal motionand environmental parameters at different altitudes

海拔高度/m大气压/Pa空气密度/(kg·m-3)温度/K动力黏度/(10-5 Pa·s)粉尘水平运移速度表达式 0101 3251.226288.21.790upx=u-9.28×103dpu1.618ut+9.28×103dp1 50084 5471.059278.41.743upx=u-9.28×103dpu1.398ut+9.28×103dp3 00070 0930.909268.71.695upx=u-9.28×103dpu1.200ut+9.28×103dp4 50057 7080.777258.91.646upx=u-9.28×103dpu1.026ut+9.28×103dp6 00047 1580.660249.21.596upx=u-9.28×103dpu0.871ut+9.28×103dp

(9)

现场实测可知,隧道爆破后风流场稳定时断面平均风速约为0.32 m/s,取粉尘粒径为5 μm代入表2,可计算不同海拔高度下粉尘的水平运动速度随时间分布如图5(a)所示;同时可计算海拔高度为3 500 m时,不同颗粒粒径下粉尘的水平运动速度随时间分布如图5(b)所示。

图5 隧道粉尘水平分速度随时间变化
Fig.5 Change of dust horizontal velocity over time in tunnel

由图5可知:

(1)粉尘运动水平分速度与海拔高度和粉尘粒径均呈负相关。在隧道轴向沿程的方向,粉尘颗粒在风流的作用下发生水平运移,其运动速度随时间的增加呈现先骤增后趋于稳定并无限接近于隧道断面风速的变化趋势。

(2)粉尘颗粒的水平加速度随时间的增大而逐渐的减小并趋于0,表明其在水平分方向最终将做近似匀速运动。

(3)海拔高度越高,相同时刻粉尘颗粒加速度越小且水平分速度值越低,相同时间内粉尘运动的距离越短,这主要是空气密度降低导致的,但海拔高度对粉尘水平分速度的影响整体较小。

(4)粉尘粒径越大,粉尘速度的变化趋势也越慢,这主要是由于粒径较大的粉尘颗粒惯性较强,风流改变其初始运动状态相对较难。

2.2 高海拔隧道粉尘颗粒的竖直沉降轨迹方程

隧道内粉尘密度为2 320 kg/m3,而空气密度为0.863 kg/m3,显然有ρAirρp,故忽略粉尘受到的空气浮力。图4表明在竖直方向粉尘颗粒主要受到重力G和气流拽引阻力Fp的作用发生沉降,这2个力共同决定了粉尘的沉降速度upy。对于水平风速u,粉尘颗粒竖直方向上的气流速度为0,因而粉尘颗粒在隧道竖直方向的运动方程为

(10)

根据换元公式和微积分原理,可将上式变换为

ln(nupy+1)-ln|nupy-1|=2gnt+C

(11)

t=0时,upy=0,可计算得C=0。

nupy-1>0,则有

(12)

对式(12)进行变形,得到粉尘颗粒在竖直方向上的运动速度公式为

(13)

结合高海拔隧道现场的环境参数,当粉尘粒径为5 μm时,计算得n=1.583,代入式(13)可得

(14)

分析式(14)可知,当t→0+,有∞,与现场实际相矛盾,假设不成立,故nupy-1<0。因此,海拔为3 500 m时,粒径dp为5 μm粉尘颗粒的竖直运动轨迹方程为

(15)

同理,可计算不同海拔下隧道粉尘颗粒的竖直运动速度随时间分布如图6(a)所示;当海拔高度为3 500 m 时,不同粒径粉尘的竖直运动速度随时间分布如图6(b)所示。

图6 隧道粉尘竖直分速度随时间变化
Fig.6 Change of dust vertical velocity over time in tunnel

由图6可知:

(1)粉尘竖直沉降分速度与海拔高度和粉尘粒径均呈正相关。

(2)在竖直方向,粉尘颗粒沉降速度随着时间的增加而逐渐增大,并最终无限接近于某一定值,这表明粉尘颗粒存在先加速沉降而后等速沉降2个阶段。粉尘颗粒加速沉降阶段过程的沉降时间和沉降高度均很小,均能够在极短时间内进入等速沉降速度阶段。

(3)海拔高度越高,相同时刻下粉尘颗粒的沉降加速度和沉降速度值越大,相同时间内沉降高度越大,粉尘颗粒的最终沉降时间也越短;这主要是空气密度的下降使得粉尘颗粒下降过程受到的空气拽引阻力变小。

(4)粉尘粒径越小,粉尘所受重力作用越小,粉尘颗粒竖直方向的沉降加速度和沉降速度随之均减小,因而粉尘在加速沉降阶段的沉降时间及沉降高度越小,最终的等速沉降速度亦越小。

由等速沉降阶段的速度分布可知,在该阶段粉尘颗粒处于受力平衡状态,即有dupy/dt=0,进而可求解出粉尘颗粒的最终沉降速度Upy表达式为式(16)。当海拔为3 500 m时,隧道粉尘的最终沉降速度Upy与粉尘粒径之间的关系式为式(17)。

(16)

(17)

2.3 高海拔隧道爆破后粉尘污染浓度扩散方程

高海拔隧道粉尘动力学模型表明,大颗粒的粉尘将在断面风流运动中快速沉降至地面,小颗粒的粉尘将在隧道内风流的裹挟作用下扩散运移。在该过程中,不仅存在无规则扩散的布朗运动,而且存在紊流扩散和沿着隧道X轴正方向的纵向弥散,即粉尘颗粒在爆破后剥离掘进工作面或岩体表面时,将向隧道X轴、Y轴、Z轴三维方向进行掺混,充斥并污染着整个隧道。由于紊流扩散系数和弥散系数远远大于粉尘颗粒的分子扩散系数,因此扩散系数可忽略不计。令三维紊流扩散系数分别为DxDyDz,隧道X轴正方向的纵向弥散系数为Ex(且ExDx),c为空间任意P(x,y,z)点粉尘质量浓度,mg/m3,根据课题组研究成果[25],则有

(18)

大量实验和理论研究证明,对于连续扩散的粉尘,其浓度分布符合正态分布。隧道内爆破后粉尘质量浓度扩散可利用高斯扩散模型进行研究分析。若隧道掘进工作面形心为爆破区域连续固定排放尘源,爆破瞬间隧道内部的环境参数稳定不变,则基于高斯分布可作如下假设:隧道岩体爆破的过程极短,爆破后粉尘扩散的隧道空间内风流场可认为是稳定且均匀的;隧道地表对粉尘存在吸收与捕捉,洞壁则仅存在反射作用;高海拔环境下,爆破后粉尘运动受到重力作用的影响更为突出,因而粉尘扩散轨迹将沿着中心向下倾斜,粉尘颗粒由尘源剥离后自由沉降的距离为Upyt

于是计算式(18)得隧道内爆破后粉尘质量浓度扩散的解析解为

(19)

式中,Q为隧道爆破面粉尘点源排放量,为隧道掘进工作面平均风速,为隧道X轴方向平均风速,m/s;t为粉尘扩散至P(x,y,z)点的时间,s。

施工隧道的空间相对狭小,干燥的洞壁对爆破粉尘的扩散具有反射作用。因此,隧道爆破排放尘源在隧道洞壁有对应的虚拟源,空间P(x,y,z)点粉尘质量浓度可认为是原有实尘源与虚拟源的浓度之和。因此近似采用镜像法计算粉尘颗粒与隧道洞壁接触的反射作用。若隧道高为H,左右壁面距离为L,则隧道顶部、左右壁面对粉尘的反射虚拟源的坐标分别为(Xtop,0,H)、(Xleft,L/2,H/2)、(Xright,-L/2,H/2)。虚拟源和实际源的弥散和扩散强度相等,于是隧道爆破后空间内粉尘任意点在t时刻累积粉尘质量浓度平均贡献值为

(20)

式(20)表明,高海拔隧道爆破后粉尘质量浓度扩散模型可看作一组服从均值为尘源点坐标,方差为扩散系数的高斯分布函数,其物理意义为粉尘质量浓度扩散到隧道沿程空间内部某点的概率。根据紊流扩散理论,高海拔隧道爆破后含尘气流的流动属于紊流粗糙管区,因而粉尘扩散模型系数ExDyDz可采用式(21)进行求解[26]

(21)

式中,τP为高海拔隧道壁面的摩擦阻力,N/m;φ为隧道等效直径,m;Re为雷诺数;ryrz分别为YZ方向距隧道中心的距离,m。

流体力学理论表明,当含尘气流的流动属于紊流区(Newton),隧道沿程阻力系数不变,故隧道壁面的摩擦阻力τP不变,而海拔高度上升将引起的空气密度ρAir下降,于是有隧道粉尘质量浓度纵向弥散同理可知,紊流扩散DyDz亦随着海拔高度的上升而增大。因此,海拔高度的上升将对隧道内粉尘质量浓度的污染扩散产生重要的影响。

3 高海拔隧道爆破后粉尘污染数值仿真分析

隧道爆破后粉尘颗粒在风管风流的作用下扩散与弥散属于气固两相流范畴,采用Eulerian-Lagrange模型法对该过程进行计算求解,引入Realizable k-ε湍流模型对隧道内气流运动进行求解[27],结合拉格朗日坐标系下的离散相(DPM)模型来描述粉尘颗粒的迁移。并利用CFD-Post 2022 R1与Origin 2022对数值仿真结果进行分析与处理。

3.1 高海拔隧道数值仿真模型的建立与选择

3.1.1 高海拔隧道物理模型建立与模型假设

为实现数值模拟反映现场实际情况的效果,建立高海拔隧道正洞爆破工序的物理模型。由于隧道施工工艺复杂,涉及环节众多,难以将隧道施工现场的细节完全复制,故对数值仿真模型进行一定的简化与假设:隧道内空气被理想化为不可压缩连续流体,且体积较小的内部设施(如高压风管、水管、动力线和照明线等)在计算域中不予以体现;风管出口的速度是均匀的,隧道内部的风流属于充分发展的湍流状态,隧道内洞壁的粗糙度对气流的影响忽略不计,对粉尘扩散的影响主要表现在反射;在特定的高海拔环境工况条件下,隧道内部空气中温度变化不大,因而不考虑温度影响;隧道内粉尘均来源于掘进工作面爆破过程,粉尘颗粒体积较小,且为球形颗粒,忽略颗粒间相互作用力,仅考虑粉尘重力、浮力以及气流拽引阻力。

基于上述假设,采用Soildworks软件按1∶1建立施工隧道通风模型,模型尺寸为230 m×14 m×9 m,断面积为104.58 m2;采用压入式通风,风管直径为2 m,通风距离(风管出口距离掘进工作面)30 m;隧道设置有仰拱施工段和二次衬砌台车,分别距掘进工作面35 m和50 m,取距掘进工作面180 m的隧道段为研究对象。将模型导入ANSYS Workbench中,利用Design Modeler进行Boolean运算,得到隧道物理模型和网格如图7所示。

图7 隧道爆破后粉尘污染的物理模型
Fig.7 Physical model of dust pollution after tunnel blasting

3.1.2 网格独立性验证

利用计算流体力学模拟风流场和粉尘扩散时,网格的质量将直接影响模拟的效率和精度,因此有必要对该物理模型的网格独立性进行验证。风流是制约粉尘扩散规律及粉尘污染效应的主要因素,因此选取人体呼吸带高度1.5 m处的隧道沿程风速分布作为网格独立性验证参数[28]。利用Ansys Meshing软件对物理模型进行网格划分,生成粗(326 887个单元)、中(419 706)、细(617 440)3种不同质量的网格,如图8所示。由图8可知,风速均呈现先增大后减小的变化趋势,并均在风管出口附近取得风速峰值(1.7~2.2 m/s)。中等网格和细网格的计算结果相近,只有粗网格在距掘进工作面10~90 m处风速略有差异。这表明3种方案划分的网格数量和质量虽然存在不同,但已经实现网格独立。考虑到计算机性能及计算效率,笔者选用中等质量的网格开展研究。此时网格形状为四面体,其最大网格质量为1,最小为0.7,平均质量为0.842。

图8 不同网格条件下风速沿程变化
Fig.8 Variation of airvelocity along different meshes

3.1.3 边界条件与参数设定

隧道爆破过程中的粉尘受到爆破技术、炸药种类以及装药等因素的影响。与此同时,粉尘在岩体爆破的初始阶段是不稳定的,岩尘颗粒的惯性作用远超过空气,在风管强制通风的作用下,不同粒径的粉尘颗粒会沿着隧道沿程逐渐沉降或向隧道洞口排出。因此,在研究爆破后粉尘的动态运移特性时,将隧道掘进工作面设置为粉尘喷射源。并利用式(22)计算掘进工作面的粉尘总质量流率:

Mc=cpvSA

(22)

其中,Mc为粉尘质量流率,kg/s;cp为粉尘质量浓度,kg/m3SA为隧道断面积,m2v为爆破后炮烟喷出速度,m/s。实测结果表明,隧道断面积为104.58 m2,爆破后炮烟喷出速度为6 m/s,设置粉尘质量浓度为1 300 mg/m3,因而掘进工作面的总质量流率为0.816 kg/s。

隧道爆破炸药量为565 kg,由沃洛宁公式计算可得掘进工作面需风量为1 791 m3/min(风管出口风速为9.5 m/s)。根据前文的分析可知,空气密度为0.863 kg/m3,大气压力为65 747 Pa,空气动力黏度为1.68×10-5 Pa·s。研究粉尘的瞬时(Transient)污染效应时,采用Pressure-based模型求解器进行求解,近壁区处理为Standard Wall Fuctions,壁面边界采用绝热无滑移,洞壁边界设置为“reflect”,地面边界设置“trap”。

3.2 高海拔隧道爆破后粉尘污染效应分析

3.2.1 高海拔隧道爆破后风流场分析

高海拔施工隧道爆破后产生的粉尘被风流裹挟并分布至整个隧道沿程,因此需对隧道内风流场分布进行分析。由模拟结果得出,压入式通风条件下,施工隧道的风流流线图及掘进工作面附近区域的风速矢量如图9所示,并沿隧道每隔5 m截取一个断面,导出各断面上平均风速得出隧道内流场的分布规律。

图9 高海拔隧道压入式通风流场分析
Fig.9 Airflow field analysis diagram of forced ventilation

由图9可知:

(1)新鲜空气由风管出口喷射吹向隧道掘进工作面,形成高速射流流场。高速射流空气和隧道周围空气在剪切力的作用下传递动量,使得射流截面逐步扩大。

(2)高速射流空气沿着X轴负方向流动,壁面的阻碍造成风流反弹至X轴正方向形成回流,由于能量损失使得风速随着射流距离的增加而逐渐减小。

(3)高速风流的流动在风管出口附近区域形成较强的负压,使得掘进工作面距风管出口段的一部分空气具有沿着Z轴正方向的速度分量,另一部分空气由于夹带作用下进入射流流场,与此同时,射流和回流之间相互干扰并混合,从而在掘进工作面附近形成一个涡流区域,且该区域风流的稳定性较差,涡流中心的风速小于周围区域的风速;在经过一段距离的扩散之后风速降低至约0.3 m/s并保持稳定,风流也逐渐均匀的分布于隧道内。根据上述分析,可将压入式通风条件下高海拔隧道内的风流场分布划分为3个区域:涡流区、过渡区以及稳定区域。

3.2.2 高海拔隧道爆破后粉尘沉降特性分析

隧道爆破后产生大量的粉尘,仅利用气流-粉尘的耦合扩散结果,难以全面分析压入式通风条件下对爆破后粉尘颗粒的迁移规律,因此选取1~450 μm范围(特征粒径12.2 μm)的岩尘颗粒,以分析大颗粒粉尘沉降规律,并得出漂浮于隧道环境内粉尘的粒径范围。通风6~8 min后粉尘充斥着隧道整个计算域,因此以时间间隔为60 s选取隧道爆破后通风1~6 min,得出隧道内粉尘粒径随时间和距离的扩散结果如图10所示,通风10 min后不同断面上粉尘的粒径分布如图11所示。

图10 隧道内不同粉尘粒径随时间的扩散
Fig.10 Diffusion of dust with different sizes in tunnel

图11 隧道内不同位置粉尘粒径分布
Fig.11 Particle size distribution of dust at different positions in tunnel

由图10和图11可知:

(1)爆破后随风流在隧道空间内运移的粉尘,其粒径在1~40 μm。受风流影响,大颗粒的粉尘在回风侧聚集并沉降,小粒径粉尘则漂浮在空气中随风流向隧道外运移,且距掘进工作面距离的增加,粉尘颗粒的粒径范围越小。

(2)随着时间的推移,掘进工作面附近的粉尘质量浓度逐渐减小,粒径在30 μm以上的粉尘逐渐沉降在地面并被捕集,漂浮在空气中的粉尘量越来越少;大部分粒径在30 μm以上的粉尘在前100 m范围内就已经沉降。通风360 s后粉尘已运移至隧道出口,隧道内均为粒径较小的粉尘颗粒。

3.2.3 高海拔隧道爆破后粉尘运移特性分析

为分析海拔高度为3 500 m下的气流-粉尘的耦合扩散特性,选取呼吸带高度的平面进行研究,如图12(a)所示。并选取距掘进工作面30、60、100、140、180 m等6个截面,得到各截面上粉尘质量浓度随时间变化曲线如图12(b)所示。

图12 隧道内粉尘质量浓度随时空分布
Fig.12 Temporal-spatial distribution of dust concentration in tunnel

在压入式通风的作用下,气流曳引阻力对爆破后粉尘的运移具有重要作用。由图12可知:

(1)粉尘颗粒在气流曳引阻力的作用下向隧道外呈“⊃字型”运移,通风2 min后粉尘扩散至隧道中部,通风6~8 min时粉尘运移至隧道出口。

(2)随着通风时间的增加,气流裹挟着粉尘逐渐充满整个隧道行人路段;粉尘在该阶段过程中的分布范围逐渐增大,粉尘质量浓度小于10 mg/m3的范围也逐渐增大,且掘进工作面附近粉尘质量浓度逐渐减小。在高速射流和回流的作用下,隧道回风侧的粉尘质量浓度大于风管侧,且回风侧靠壁面处粉尘扩散相对较慢。

(3)各截面的粉尘质量浓度均是先迅速增加后逐渐下降,并且距掘进工作面越远,其浓度增加至峰值及降低的速度越平缓,且峰值逐渐减小,这是粉尘整体发生扩散的结果;通风10 min后,隧道内粉尘质量浓度均低于10 mg/m3

3.2.4 现场实测与模拟结果对比

为了验证模拟过程的准确性,选取距离掘进工作面30 m位置处的理论值与实测值进行对比分析,结果如图13所示。从图13可以看出:现场实测值与模拟值总体呈现相同趋势,粉尘质量浓度先迅速增加后逐渐下降。模拟结果和现场测定数据基本吻合,误差值均在20%以下,能够对隧道爆破后粉尘污染效应进行预测和分析,从而为现场粉尘控制提供参考。

图13 数值模拟与现场实测对比
Fig.13 Comparison of on-site measured and simulated data

4 高海拔隧道爆破后粉尘污染影响因素分析

4.1 海拔高度对粉尘污染效应的影响

由高海拔隧道粉尘动力学模型分析可知,海拔高度的上升将会影响爆破后粉尘扩散的轨迹运动方程,因此为研究海拔高度对隧道爆破后粉尘扩散的影响,模拟得到海拔高度为0、1 500、3 000、4 500、6 000 m,环境参数设置见表2,风管出口速度为10 m/s时,通风360 s后不同海拔高度下隧道内粉尘的扩散情况及隧道沿程断面浓度均值如图14所示。

图14 海拔高度对隧道爆破后粉尘污染效应的影响
Fig.14 Effect of altitude on dust pollution after blastin

由图14可知:

(1)风管风流的导向作用使得粉尘沿着隧道外运移,在未全部排除隧道内部的相同时刻,距掘进工作面越远粉尘质量浓度越高。

(2)不同海拔高度下,隧道沿程断面浓度均值随时间的变化趋势相似,粉尘质量浓度随海拔的上升而减小,但总体来说影响较小。海拔高度由0上升至6 000 m,同一断面的粉尘质量浓度减小,且在掘进工作面40 m范围内粉尘质量浓度降低至安全值所需时间由356 s降低至322 s。结合1.3.2节分析可知,这是由于海拔上升,空气密度明显降低,粉尘颗粒所受空气拽引阻力降低,粉尘颗粒竖直方向的沉降越快。与此同时,另一方面,小粒径的粉尘由于自身质量较小,在较大风量下难以沉降,而是向隧道外排出,因而海拔高度对隧道内粉尘质量浓度的影响较小。

4.2 通风距离对粉尘污染效应的影响

隧道钻爆法施工过程中,风管随着隧道掘进而不断向前拉伸,风管距掘进工作面距离的变化会改变隧道内流场分布,从而影响粉尘的稀释和扩散。对于隧道爆破通风来说,爆破对通风设备的保护十分重要,设备安装一定要符合爆破安全距离(爆破飞石的安全距离)。因而选取风管出口距掘进工作面20、25、30、35、40 m进行研究。模拟通风360 s时不同风管通风距离的风流与颗粒的耦合过程及隧道沿程断面浓度均值如图15所示。

图15 通风距离对隧道爆破后粉尘污染效应的影响
Fig.15 Effect of ventilation distance on dust pollution after tunnel blasting

由图15可知:

(1)风管出口至掘进工作面的距离越远,在空气阻力的作用下,射流的风速衰减越多,导致回流的风速越小,但回流作用的区域范围变大,射流和回流更加分散。

(2)通风360 s后,由于风流的影响,风管侧的粉尘质量浓度比回风侧的粉尘质量浓度高,且风管出口距掘进工作面距离越大,隧道两侧的浓度差就越明显,差值最大为9.8 mg/m3

(3)随着通风距离的增加,涡流区域的粉尘质量浓度逐渐增加,而过渡区及稳定区的粉尘浓度逐渐降低,造成这种现象的原因可能是由于风管出口距掘进工作面越远,射流与回流相互作用越强,导致涡流范围增大,掘进工作面附近区域的粉尘排出更加平缓;因而通风相同时间,该区域粉尘质量浓度随风管出口到掘进工作面距离的增加而增加,风管至隧道出口段则相反。

因此,适当缩短风管出口与掘进工作面的通风距离有利于稀释掘进工作面附近粉尘质量浓度,改善爆破作业环境。

4.3 通风风量对粉尘污染效应的影响

风机供风量是隧道施工过程中的重要技术参数,合理的通风风量有利于稀释和排出隧道内的有毒有害气体和粉尘。选取风管出口风量为1 131、1 508、1 885、2 262、2 639 m3/s进行分析,模拟得到通风360 s 时隧道内粉尘粒径及隧道沿程断面浓度均值如图16所示。

图16 通风风量对隧道爆破后粉尘污染效应的影响
Fig.16 Effect of ventilation velocities on dust pollution after tunnel blasting

由图16可知,不同风速下粉尘向隧道外排出的速度不同,风管末端风速越大,粉尘越快被排出隧道;掘进工作面附近区域粉尘质量浓度随风速的增加而降低。相同的通风时间内,随着风速的增加,粉尘的浓度峰值逐渐增大并越来越接近隧道出口,峰值逐渐增大可能是由于粉尘的扩散作用随风速的增加逐渐减小;峰值逐渐靠近隧道出口是由于风速的增加导致粉尘整体向隧道出口运移的速度增加。

由于风流的裹挟作用,掘进工作面附近一定区域内粉尘质量浓度可降低至安全值,且风速越大,安全范围越大。风速为6 m/s时,隧道内粉尘质量浓度均高于2 mg/m3,当风速增加至14 m/s时,隧道靠近掘进工作面100 m范围内粉尘质量浓度均低于2 mg/m3,达到安全浓度。因此,适当提高供风量有利于稀释粉尘质量浓度,加速粉尘颗粒的排出和沉降。为了解隧道内的安全状况,提取各断面在不同风速下粉尘质量浓度降低到安全值所需时间,如图17所示。

图17 各断面粉尘质量浓度降至安全值所需时间
Fig.17 Time required for dust concentration of each section to reduce to safe value

由图17可以看出,随着风机供风量增加,同一断面粉尘质量浓度降至安全规定允许浓度所需的时间变短;相同风速下,距掘进工作面越近的断面越快达到安全浓度。风速由6 m/s增加至14 m/s,粉尘排出隧道所需时间由1 036 s减少至600 s;曲线随风速的增大逐渐平缓,说明风速过大,加速粉尘排出的效果会逐渐降低,故需选择合理的排尘风速。

4.4 灰色关联分析

为优化隧道通风除尘参数,采用灰色关联分析法分析通风距离、通风风量以及通风高度三者对隧道内粉尘质量浓度降低至安全阈值所需要的影响程度。灰色关系分析法是通过比较系统主要特征和主要影响因素的发展趋势,来确定因素之间的相关程度及影响程度。数值模拟参数结果见表3,X0为掘进工作面100 m范围内粉尘质量浓度降低至安全值所需时间,为参考序列,以此表征爆破后粉尘的扩散与运移程度。X1X2X3分别为海拔高度、通风距离以及通风风量,为比较序列。

表3 安全时间主要影响因素数据
Table 3 Series data of main influencing factors

序号X0/sX1/kmX2/mX3/(m3·s-1)17640301 13126600301 50835230301 88544660302 26254100302 63964841.5301 88574753.0301 88584634.5301 88594516.0301 885106670201 885116160251 885125050351 885134770401 885

分析步骤如下:

(1)序列初值计算:建立矩阵

(23)

(2)数列的无量纲化:每个量纲所代表的意义不同,故需要进行无量纲化处理。采用极差法对各序列进行处理,得到无量纲化矩阵计算方法如下:

(24)

(3)序列差计算:逐个计算各比较序列与参考序列对应元素的绝对差值,即得到序列差矩阵Δi=(Δ1(k),Δ2(k),Δ3(k)),k=1,2,…,13。

(4)序列两级差计算:序列差最大值为序列差最小值为

(5)关联度系数计算:由得到灰色关联系数矩阵Ri=(ζ1(k),ζ2(k),ζ3(k)),其中η为分辨系数,取0.5。

(6)灰色关联度计算:灰色关联度计算公式:代入数据得到100 m范围内粉尘质量浓度降低至安全值与各因素之间的关联度

灰色关联度ζi越大,对隧道爆破后粉尘扩散的影响越大,反之亦然。根据灰色关联结果分析可知,影响隧道爆破面粉尘质量浓度降低至安全值所需时间关联度的因素排序为:通风距离X2、通风风量X3以及海拔高度X1。这说明粉尘质量浓度降低至安全值所需时间的主要影响因素是供风量,而风管距离掘进工作面通风距离也会对隧道中粉尘的扩散产生重要影响;对于海拔高度,其影响空气密度和压力,但是对粉尘沉降等方面也是不可忽略的。为改善隧道爆破后隧道内施工环境,可以首先考虑增加供风量,可操作性较高,同时也可适当缩短风筒出口距掘进工作面距离来加快粉尘的排出;对于高海拔隧道,其海拔环境本身有利于粉尘的沉降,在此基础上也可采取以上措施减少通风时间以达到安全标准。

5 结 论

(1)基于气固两相流与气溶胶力学建立了高海拔隧道粉尘污染动力学模型,粉尘水平运移速度与海拔高度和粉尘粒径均呈负相关,粉尘竖直沉降速度与海拔高度和粉尘粒径均呈正相关。高海拔隧道爆破后粉尘质量浓度空间分布服从均值为尘源坐标,方差为扩散系数的高斯分布函数,且扩散系数ExDyDz亦随着海拔高度的上升而增大。

(2)压入式通风条件下高海拔隧道内的风流场分布分为涡流区、过渡区以及稳定区3个区域。高速新鲜空气和隧道周围空气在剪切力的作用下传递动量,使得射流截面逐步扩大。涡流区呈现锥形状且中心的风速小于周围区域的风速,随着流场的扩散,隧道断面平均风速降低至约0.3 m/s并逐渐稳定。

(3)爆破后粉尘颗粒在风流的作用下向隧道外呈“⊃字型”运移,隧道回风侧的粉尘质量浓度大于风管侧。爆破后产生的大颗粒粉尘(粒径≥30 μm)在距掘进工作面100 m范围内快速沉降,小颗粒粉尘将在风流作用下随风扩散并悬浮于隧道空间内,且距离掘进工作面越远,粉尘粒径越小。

(4)海拔高度越高、通风距离越远、通风风量越大均有利于隧道爆破后沿程断面粉尘质量浓度的下降。隧道内粉尘质量浓度降低至安全值所需时间受通风距离的影响最大,通风风量的影响次之,而海拔高度的影响相对有限,其灰色关联度系数分别为0.684、0.678和0.661。

参考文献(References):

[1] 《中国公路学报》编辑部.中国交通隧道工程学术研究综述·2022[J].中国公路学报,2022,35(4):1-40.

Editorial Department of China Journal of Highway and Transport.Review on China’s Traffic Tunnel Engineering Research:2022[J].China Journal of Highway and Transport,2022,35(4):1-40.

[2] 袁亮.煤矿粉尘防控与职业安全健康科学构想[J].煤炭学报,2020,45(1):1-7.

YUAN Liang.Scientific conception of coal mine dust control and occupational safety[J].Journal of China Coal Society,2020,45(1):1-7.

[3] 蒋仲安,陈梅岭,陈举师.巷道型采场爆破粉尘质量浓度分布及变化规律的数值模拟[J].中南大学学报(自然科学版),2013,44(3):1190-1196.

JIANG Zhong’an,CHEN Meiling,CHEN Jushi.Numerical simul-ation of mass concentration distribution and change law of blasting dust in roadway type stope[J].Journal of Central South University(Natural Science Edition),2013,44(3):1190-1196.

[4] 陈举师,王毅,蒋仲安.采场爆破烟尘浓度分布及扩散规律的数值模拟[J].煤炭学报,2013,38(S1):147-152.

CHEN Jushi,WANG Yi,JIANG Zhong’an.Numerical simulation of blasting dust concentration distribution and diffusion regularities in stope[J].Journal of China Coal Society,2013,38(S1):147-152.

[5] NIE W,LIU Y,WEI W,et al.Effect of suppressing dust by mu-lti-direction whirling air curtain on fully mechanized mining face[J].International Journal of Mining Science and Technology,2016,26(4):629-635.

[6] CHENG W M,LIU Z,YANG H,et al.Non-linear seepage characteristics and influential factors of water injection in gassy seams[J].Experimental Thermal and Fluid Science,2018,91:41-53.

[7] 蒋仲安,曾发镔,王亚朋.我国金属矿山采运过程典型作业场所粉尘污染控制研究现状与展望[J].金属矿山,2021,50(1):135-153.

JIANG Zhong’an,ZENG Fabin,WANG Yapeng.Research status and prospect of dust pollution control in typical working places during mining and transportation of metal mines in China[J].Metal Mine,2021,50(1):135-153.

[8] 蒋仲安,曾发镔.基于CNKI文献计量学的矿山粉尘研究可视化知识图谱分析[J].矿业安全与环保,2022,49(4):37-44,50.

JIANG Zhong’an,ZENG Fabin.Visualization knowledge graph analysis of mine dust research based on CNKI bibliometrics[J].Mining Safety &Environmental Protection,2022,49(4):37-44,50.

[9] KURNIA J C,SASMITO A P,MUJUMDAR A S.Dust dispersion and management in underground mining faces[J].International Journal of Mining Science and Technology,2014,24(1):39-44.

[10] LIU Q,NIE W,HUA Y,et al.Research on tunnel ventilation systems:dust diffusion and pollution behaviour by air curtains based on CFD technology and field measurement[J].Building and Environment,2019,147:444-460.

[11] SOO S L.Multiphase fluid dynamics[M].Beijing:Science Press,1990.

[12] HU S,FENG G,REN X,et al.Numerical study of gas-solid two-phase flow in a coal roadway after blasting[J].Advanced Powder Technology,2016,27(4):1607-1617.

[13] LEE D-K.A computational flow analysis for choosing the diameter and position of an air duct in a working face[J].Journal of Mining Science,2011,47(5):664-674.

[14] SA Z,LI F,QIN B,et al.Numerical simulation study of dust concentration distribution regularity in cavern stope[J].Safety Science,2012,50(4):857-860.

[15] 曹杨,纪洪广,周启明.掘进巷道爆破后排烟时间计算[J].哈尔滨工业大学学报,2017,49(8):135-140.

CAO Yang,JI Hongguang,ZHOU Qiming.Calculation of fume-drainage time of tunnel after blasting[J].Journal of Harbin Institute of Technology,2017,49(8):135-140.

[16] YU H,CHENG W,XIE Y,et al.Micro-scale pollution mechanism of dust diffusion in a blasting driving face based on CFD-DEM coupled model[J].Environmental Science and Pollution Research,2018,25(22):21768-21788.

[17] 龚剑.高海拔矿山掘进面粉尘运移规律及通风除尘系统优化[D].北京:北京科技大学,2016.

GONG Jian.Research on the movement regularities of dust and ventilation system optimization in excavation face of high-altitude mine [D].Beijing:University of Science and Technology Beijing,2016.

[18] 蒋仲安,杨斌,张国梁,等.高原矿井掘进工作面截割粉尘污染效应及通风控尘参数分析[J].煤炭学报,2021,46(7):2146-2157.

JIANG Zhong’an,YANG Bin,ZHANG Guoliang,et al.Analysis of dust pollution effect of cutting dust and ventilation control parameters at the heading face in plateau mines[J].Journal of China Coal Society,2021,46(7):2146-2157.

[19] 张国梁,蒋仲安,杨斌,等.高原环境下矿井最低排尘风速的数值模拟[J].煤炭学报,2021,46(7):2294-2303.

ZHANG Guoliang,JIANG Zhong’an,YANG Bin,et al.Numerical simulation of the minimum mine dust exhausting wind speed under high altitude environment[J].Journal of China Coal Society,2021,46(7):2294-2303.

[20] 程卫民,周刚,陈连军,等.我国煤矿粉尘防治理论与技术20年研究进展及展望[J].煤炭科学技术,2020,48(2):1-20.

CHENG Weimin,ZHOU Gang,CHEN Lianjun,et al.Research progress and prospect of dust control theory and technology in China′s coal mines in the past 20 years[J].Coal Science and Technology,2020,48(2):1-20.

[21] WANG D M,YANG M,LIU Y W,et al.Association of silica dust exposure and cigarette smoking with mortality among mine and pottery workers in China[J].Jama Network Open,2020,3(4):e202787.

[22] WANG H T,WANG D M,REN W X,et al.Application of foam to suppress rock dust in a large cross-section rock roadway driven with road header[J].Advanced Powder Technology,2013,24(1):257-262.

[23] 王明年,于丽,李文玉,等.高海拔隧道工程[M].北京:科学出版社,2019.

[24] 中国铁路总公司.高速铁路隧道工程施工技术规程:Q/CR 9604—2015[S].北京:中国铁道出版社,2015.

[25] 蒋仲安,陈雅,王佩.双尘源耦合下呼吸性粉尘扩散的紊流系数求解[J].哈尔滨工业大学学报,2017,49(8):129-134.

JIANG Zhong’an,CHEN Ya,WANG Pei.Solution of turbulence

coefficient in the diffusion of respirable dust under the coupling of two dust sources[J].Journal of Harbin Institute of Technology,2017,49(8):129-134.

[26] 李恩良,王秉权.紊流扩散理论在井巷传质中的应用[J].煤炭学报,1988,13(1):65-75.

LI Enliang,WANG Bingquan.Application of turbulent diffusion theory in mine mass transfer[J].Journal of China Coal Society,1988,13(1):65-75.

[27] 江帆,徐勇程,黄鹏.Fluent高级应用于实例分析[M].北京:清华大学出版社,2018:15-16.

[28] LI Cong,JIANG Zhong’an,ZHANG Guoliang,et al.Dust pollution during shotcrete process in high-altitude tunnel based on numerical simulation[J].Particuology,2023,75:82-95.

Dynamic model and influencing factors of dust pollution after blasting in high altitude tunnel

JIANG Zhong’an1,ZENG Fabin1,FENG Xue2,ZHANG Guoliang1,YANG Bin1,WANG Yapeng3

(1.School of Civil & Resource EngineeringUniversity of Science and Technology Beijing,Beijing 100083,China;2.Sichuan Shudao Expressway Group Co.,Ltd.,Chengdu 610041,China;3.College of Environment and Safety Engineering,Qingdao University of Science and Technology,Qingdao 266042,China)

Abstract:In order to reduce the dust pollution caused by drilling and blasting in high altitude tunnel construction,improve the dust control technology and occupational health guarantee ability in tunneling face,and promote the clean production level in tunnel construction,the forced ventilation model of tunnel blasting was established on the basis of a working area in southwest railway tunnel,and the dust pollution dynamics model of high altitude tunnel was built according to the gas-solid two-phase flow theory and aerosol mechanics.The numerical simulation software was used to analyze the pollution effect of high-concentration dust in blasting-driven tunnel under different altitudes,ventilation distances and ventilation air volumes,and the grey correlation analysis method was used to explore the correlation between the time required for the dust concentration to decrease to a safe value and various influencing factors.The results show that the environmental parameters and the movement characteristics of gas-solid coupling fluid will change with the elevation.The horizontal movement speed of dust particles is negatively correlated with elevation and dust particle size,while the vertical settling speed is opposite.The spatial distribution of dust concentration after tunnel blasting at high altitude obeys multivariate Gaussian distribution,and the diffusion coefficient increases with the increase of altitude.The distribution area of wind field in tunnel is divided into vortex area,transition area and stable area.The vortex area is cone-shaped and the wind speed in the center is lower than that in the surrounding area.The average wind speed in tunnel section decreases to about 0.3 m/s and gradually stabilizes.After blasting,the dust particles move out of the tunnel in a “⊃”shape with the wind,and the dust concentration at the return air side of the tunnel is higher than that at the air duct side.The large particle dust (particle size ≥30 μm) produced after blasting rapidly settles within 100 m from the tunnel face,and the small particle dust will diffuse with the wind and be suspended in the tunnel space,and the farther the diffusion distance is,the smaller the particle size of the dust will be.With high tunnel altitude,expanding the distance between the outlet of air duct and the tunnel face and increasing the air volume of air duct are all beneficial to reduce the dust pollution effect after tunnel blasting.The time required for the dust concentration in the tunnel to decrease to a safe value is most affected by the ventilation distance,followed by the air volume,while the influence of altitude is relatively limited,and its grey correlation coefficient is 0.684,0.678 and 0.661 respectively.

Key words:high altitude;tunnel blasting;dust pollution;dynamic model;grey relational analysis;numerical simulation

中图分类号:TD724;U25

文献标志码:A

文章编号:0253-9993(2023)01-0263-16

移动阅读

收稿日期:2022-10-31

修回日期:2022-12-28

责任编辑:王晓珍

DOI:10.13225/j.cnki.jccs.Z022.1563

基金项目:国家自然科学基金面上资助项目(51874016)

作者简介:蒋仲安(1963—),男,浙江诸暨人,教授。E-mail:jza1963@263.net

通讯作者:曾发镔(1996—),男,江西赣州人,博士研究生。E-mail:d202110062@xs.ustb.edu.cn

引用格式:蒋仲安,曾发镔,冯雪,等.高海拔隧道爆破后粉尘污染动力学模型及影响因素[J].煤炭学报,2023,48(1):263-278.

JIANG Zhong’an,ZENG Fabin,FENG Xue,et al.Dynamic model and influencing factors of dust pollution after blasting in high altitude tunnel[J].Journal of China Coal Society,2023,48(1):263-278.