基于标志气体统计学特征的煤自燃预警指标构建

任万兴1,2,郭 庆1,2,石晶泰1,2,陆 伟3,孙 勇4,5

(1.中国矿业大学 安全工程学院,江苏 徐州 221116; 2.中国矿业大学 煤矿瓦斯与火灾防治教育部重点实验室,江苏 徐州 221116; 3.安徽理工大学 安全科学与技术学院,安徽 淮南 232000; 4.煤科集团沈阳研究院有限公司,辽宁 抚顺 113122; 5.煤矿安全技术国家重点实验室,辽宁 抚顺 113122)

摘 要:采空区煤自燃是影响矿井安全生产的主要灾害之一,标志气体与煤温是煤自燃预警的关键参数,2者之间的数学模型及其统计学特征是构建煤自燃预警指标体系的基础。通过程序升温控制实验,获得了88组煤样气体体积分数随煤温的变化曲线,选择指数函数、多项式函数和Logistic回归函数对气体体积分数进行拟合,以R2,方差SSE和均方差MSE等参数为评价指标,确定了Logistic回归函数为最佳拟合函数;利用Logistic函数拟合标志气体的变化曲线,得到CO与C2H4体积分数的4个参数A1A2px0,基于统计学特征确定上述4个参数的值并检验其有效性,得到“气体-温度”的本构方程;最后,归纳了不同标志气体的初现温度、拐点温度的统计学特征,构建了基于气体统计学特征的煤自燃预警体系并进行了煤自燃危险阶段划分。结果表明:① 30~350 ℃实验温度内,标志气体体积分数变化分为波动段、稳定段和衰减段,气体体积分数与煤温符合Logistic回归模型:CO与C2H4的拟合参数分别为A1(CO)=23,A2(CO)=14 990,p(CO)=11,x0(CO)=294;A1(C2H4)=0.3,A2(C2H4)=27,p(C2H4)=17,x0(C2H4)=283;② CO初现温度、第1拐点温度、C2H4初现温度、第1拐点温度和C2H2初现温度可作为煤自燃预警指标,预警值分别为30,156,120,204和285 ℃;③ 基于初现温度和拐点温度将煤自燃分为6个危险等级:安全、低风险、一般风险、较大风险、重大风险和特大风险,可根据等级不同采取相应的响应措施。

关键词:煤自燃;预警指标;标志气体;特征温度;Logistic回归

燃烧是煤炭的自然属性,可控的燃烧能为发展提供能源,不可控的煤自燃是影响煤矿安全开采的重大灾害[1-3]。监测监控是防治煤自燃的关键,而标志气体与温度是煤自燃最主要的特征参数,掌握煤自燃标志气体的变化特征及其与煤温的关系对煤自燃预警具有重要意义[4-8]

目前,国内外学者针对煤低温氧化过程中气体体积分数变化及其与煤温的关系进行了大量的研究[9-13]。肖旸等[14]利用绝热氧化实验确定了标志气体与特征温度的对应关系,并给出了各阶段气体的变化特征。屈丽娜等[15]研究了煤氧化动力学参数与特征温度的关系,指出煤反应能级和活化能可以用来评价煤的氧化能力强弱。ONIFADE等[16]研究了煤自燃倾向性与微观元素的关系,指出可以通过多元线性拟合获得煤自燃危险等级与微观元素的关系。邓军等[17]指出气体体积分数增长率峰值与煤自燃特征温度具有良好得对应关系。LEI等[18]构建了基于随机森林方法的煤自燃温度预测模型。高原等[19]利用支持向量回归模型对煤自燃进行预测。邓军等[20]提出了采空区遗煤氧化得随机森林预测法,并基于现场数据进行验证,具有良好的预测效果。GUO等[21]利用绝热氧化法构建了CO/CO2、格雷哈姆系数等与煤温的预测模型。秦红星等[22]利用指数函数和二次函数拟合了标志气体与温度的关系式。

但是目前研究还存在以下问题:① 未建立煤自燃标志气体与温度的连续性函数关系,仅以有限特征温度进行阶段划分;② 多数研究是直接给出指数函数或者多项式函数拟合气体体积分数曲线,没有论证函数的合理性和有效性,并且所用函数未体现煤自燃标志气体的阶段性变化特征;③ 未见对煤自燃特征温度的统计学规律进行研究。笔者采用程序升温实验,选择不同函数对标志气体体积分数进行拟合,确定气体与煤温的数学模型,并进行有效性验证。然后基于统计学规律确定特征温度的取值,并构建煤自燃预警指标,最终对煤自燃过程进行危险等级划分。

1 煤样程序升温实验

参考中国矿业大学国家安全生产检测中心,关于煤自燃标志气体测试的详细步骤进行实验[11]:① 煤样破碎,筛分50 g粒径为40~80目的颗粒;② 将煤样置于温控箱内的煤样罐内,连接好进、出气气路以及温度探头,并检查气密性。所用空气为50 mL/min的干空气。当达到指定测试温度时,恒定温度5 min后采取气样,利用色谱分析仪进行气体成分和体积分数分析。实验设备如图1所示。

图1 程序升温实验设备
Fig.1 Temperature-programmed experiment

实验共88组煤样,煤样命名方式为省份+编号,如共2组煤样取自陕西省,则煤样记作:陕西-1、陕西-2。随机选择18组煤样作为实验样本,构建“气体-煤温”数学模型,再次随机选择另外10组煤样作为检验样本,对数学模型的本构方程参数进行检验,评价其有效性。最后,利用特征温度构建煤自燃预警指标。

2 模型的建立与求解

2.1 变质程度对标志气体的影响

根据变质程度高低,选择8组煤样:长焰煤(陕西建新煤化)、不黏煤(阜新矿业孙家湾);气煤(甘肃百贯沟矿)、肥煤(阳城煤矿3煤层)、焦煤(付村煤矿);瘦煤(朱庄煤矿)、贫瘦煤(陕西郭家河矿)、贫煤(山西潞安煤业),对其进行煤自燃标志气体测试,煤样工业分析见表1。

2.1.1 标志气体体积分数变化

不同变质程度的煤样标志气体随煤温的变化曲线如图2所示。不同变质程度煤样标志气体体积分数均随着温度的增加而增加,CO的体积分数最高,C2H4体积分数次之,C2H2体积分数最小,而标志气体的初现温度顺序相反。一般认为,变质程度越低,标志气体体积分数越高,即2者负相关,实际上,标志气体的体积分数与变质程度并不是绝对的负相关:如肥煤(中变质)的CO体积分数显著高于不黏煤(低变质)的CO体积分数、焦煤(中变质)的C2H4体积分数高于长焰煤(低变质)C2H4体积分数、瘦煤(高变质)的C2H2体积分数高于肥煤(中变质)和长焰煤(低变质)的C2H2体积分数。因此,标志气体体积分数并不绝对受变质程度的影响。

表1 不同变质程度煤样工业分析
Table 1 Proximate analysis of coal samples with different degrees of metamorphism%

变质程度煤阶MadAadVadFCad低长焰煤13.2519.1240.2427.39不黏煤4.723.7133.1258.45气煤3.307.9335.0853.69中肥煤2.627.8633.5056.02焦煤1.566.5430.2961.61瘦煤2.906.019.7081.39高贫瘦煤1.255.2414.6978.82贫煤4.104.628.1883.10

图2 不同变质程度煤样标志气体体积分数变化曲线
Fig.2 Curves of index gases concentration of coal samples with different metamorphism degrees

图3为不同变质程度煤样CO与C2H4体积分数随煤温变化的阶段性曲线,由图3可知,不同变质程度煤样的标志气体的体积分数有差异,但是标志气体体积分数随煤温的变化规律基本相同,一般经历波动、稳定增长和衰减3个阶段,阶段划分的临界点称为特征点。

图3 不同变质程度煤样CO与C2H4体积分数阶段划分
Fig.3 Phase change of CO and C2H4 of coal samples with different metamorphism degrees

2.1.2 标志气体的初现温度

初现温度是指初次检测到该气体时温度,气体初现温度的大小能够表征标志气体对温度的灵敏性:初现温度越小,气体灵敏度越高,反之,则需要更高的温度才会出现该气体。不同变质程度煤样CO,C2H4和C2H2的初现温度如图4所示,由图4可知,C2H2的初现温度最高,C2H4的初现温度次之,CO的初现温度最小。CO,C2H4和C2H2初现温度与变质程度正相关。但是具体到每一组煤样,即使是同类变质程度,其初现温度也有较大差异:以长焰煤(低变质)、肥煤(中变质)和贫煤(高变质)为例,CO的初现温度分别为29,28,41 ℃;C2H4的初现温度分别为120,90,140 ℃,并不是绝对的正相关。

图4 不同变质程度煤样自燃标志气体的初现温度
Fig.4 Initial occurrence temperatures of index gases of different ranked coal samples

综上所述,变质程度对煤自燃标志气体及其初现温度有一定的影响,但并改变煤自燃标志气体的变化规律,因此,在求解“标志气体与煤温”的数学模型时,忽略变质程度对标志气体变化规律的影响是可行的。

2.2 拟合模型优选

图5为CO,C2H4体积分数及其一阶、二阶导数的变化曲线。其分布规律表明,上述3组数据具有相似的变化特征,均可划分为波动、稳定和衰减3个阶段。以贵州煤样为例,稳定氧化阶段内CO体积分数、CO体积分数一阶、二阶导数线性拟合的斜率(R2)分别为0.015 75(R2=0.998),0.015 53(R2=0.996)和0.015 55(R2=0.982),C2H4体积分数的3条曲线的线性拟合斜率(R2)分别为0.016 60(R2=0.996),0.018 18(R2=0.998)和0.018 24(R2=0.988),可认为同一煤样的3组曲线为近似平行的直线,说明原函数与导函数具有相似的函数特征[23]

煤自燃氧化的稳定阶段,CO和C2H4体积分数均符合指数变化特征,若采用单一的指数函数进行拟合,则无法体现波动段和衰减段的变化特征。为优选适合气体体积分数变化的拟合函数,选取以下4种拟合模型:Logistic模型、指数模型、4次多项式和6次多项式,并选择可决系数R2、和方差SSE、均方差MSE三种统计学指标评价各模型的拟合优度。

上述评价指标的变化见表2。其中,指数拟合的残差离散度最高,MSE和SSE最大,该拟合方法的拟合优度最差。对于CO体积分数,Logistic拟合的R2最大,SSE,MSE和残差范围均最小,拟合效果最佳;对于C2H4体积分数,指数函数拟合的指标优度最差,Logistic拟合与6次多项式拟合的R2最高,且SSE与MSE最小,说明Logistic和6次多项式拟合方法的拟合优度最佳。综上所述,Logistic模型对CO和C2H4体积分数拟合均具有较好的拟合优度,且Logistic模型包含缓慢期、对数期、稳定期等阶段,与CO,C2H4体积分数变化阶段特性匹配,而6次多项式拟合不具有分阶段性,且其阶数过高,容易出现过拟合,因此选择Logistic模型。

图5 CO,C2H4体积分数及其一、二阶导数变化曲线
Fig.5 Change curves of CO and C2H4 concentration and their first and second derivatives

表2 贵州煤样CO,C2H4体积分数拟合指标对比
Table 2 Comparison of fitting indexes of CO and C2H4 concentration of Guizhou coal sample

拟合方法R2COC2H4SSECOC2H4MSECOC2H4Logistic0.999 900.999 279 6541 350.0402337.0指数0.998 100.975 87189 3391 329.07 282664.54次多项0.999 360.987 2056 966960.12 477240.06次多项0.999 790.999 6816 949969.6807161.6

Logistic模型的本构方程为

(1)

式中,y为标志气体体积分数,%;A2为模型对应的最大值;A1为模型对应的最小值;x为煤温,℃;x0为曲线的拐点;p为曲线拐点处与曲线斜率相关的量。

2.3 模型参数确定

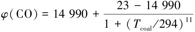
山西-25煤样拟合不收敛,因此只有17组有效数据。CO体积分数Logistic拟合参数(A1A2px0)的箱型分布如图6所示(其中,IQR为四分位距),根据正态性检验(表3),A2,px0在0.05水平下显著地符合正态分布,而lg A1在0.05水平下属于正态分布,其分布方程为lg A1N(1.37,0.592)。上述4个参数均符合正态分布后,可用平均值(中位数)表征其他样本值,本文取平均值,A2=14 990,p=11,x0=294,lg A1=1.37,则A1=23。

C2H4体积分数Logistic拟合参数分布如图7所示,表4中,根据正态性检验可知,其4组参数均符合正态分布,同理得到C2H4拟合的4个参数值为A1=0.3,A2=27,p=17,x0=283。

表3 CO体积分数Logistic拟合4参数正态性检验结果
Table 3 Normality test results of four parameters for CO concentration with Logistic fitting

参数分析数量均值标准差在5%水平下的结论A1173632.35排除正态性A21714 9903 929.84不能排除正态性p17112.32不能排除正态性x01729428.85不能排除正态性lg A1171.370.59不能排除正态性

将上述4个参数代入Logistic本构方程,得到CO,C2H4体积分数与煤温的函数模型为

(2)

(3)

式中,φ(CO),φ(C2H4)分别为CO和 C2H4体积分数,10-6;Tcoal为煤温,取值30~350 ℃。

根据正态分布的“3σ”原则,样本值分布在(μ-3σμ+3σ)的概率为0.997 4,相当于必然事件,基于此可得到Logistic回归模型参数取值范围,见表5。

图6 CO体积分数Logistic拟合参数值分布
Fig.6 Distribution of parameters of CO with Logistic fitting

图7 C2H4体积分数Logistic拟合后各参数取值分布
Fig.7 Distribution of parameter values with logistic fitting of C2H4

表4 C2H4体积分数Logistic拟合4参数正态性检验结果
Table 4 Normality test of four parameters for C2H4

参数分析数量均值标准差在5%水平下的结论A1180.30.206 38不能排除正态性A2182713.250 72不能排除正态性p18173.642 22不能排除正态性x01828326.440 02不能排除正态性

2.4 模型有效性验证

检验样本CO体积分数Logistic拟合参数的箱型分布如图8所示。根据正态检验(表6),参数A1px0均符合正态分布,而参数A2不符合正态分布,对其进行正态化处理,得到lg A2N(4.174 06,0.129 162)。取其平均值lg A2=4.174,则A2=14 928,其他3个参数值分别为A1=28,p=11,x0=293。

表5 基于正态分布3σ原则的拟合参数取值范围
Table 5 Range of fitting parameters based on the 3σ principle of normal distribution

气体参数下限(μ-3σ)上限(μ+3σ)气体参数下限(μ-3σ)上限(μ+3σ)lg A103.2A100.94COA23 20026 780C2H4A2066p517p529x0207381x0199367

注:下限小于0时取0。

图8 检验样本CO体积分数4个拟合参数分布
Fig.8 Distributions of four fitting parameters with CO of test samples

表6 检验样本CO体积分数4个参数正态性检验
Table 6 Normalization test of parameters of CO of test samples

参数分析数量均值标准差在5%水平下的结论A1103529.253 7不能排除正态性A21015 6265 714.29排除正态性p1011.41.696 85不能排除正态性x01029323.078 6不能排除正态性lg A2104.1740.129 16不能排除正态性

检测样本的C2H4体积分数拟合参数如图9所示。对4组参数进行正态性检验可知,A1A2p属于正态分布,x0不属于正态分布,而lg x0属于正态分布(图10),说明x0属于对数正态分布(表7)。其中lg x0的正态分布方程为N(2.442 22,0.046 412),取样本平均值表征其他样本参数,lg x0=2.44,得到x0=275。其他3个参数值取平均值后分别为:A1=0.3,A2=31,p=17。

训练样本与检验样本的Logistic拟合参数见表8,对比可知,2样本的4个参数值分布非常相近:对于CO体积分数的拟合参数,A2,p,x0三者误差率分别为0.40%,0和0.34%;A1的2个参数值误差相对较大,绝对差值为 5。对于C2H4的拟合参数,4个参数的绝对误差率分别为0,14.8%,0和2.8%,总体上训练样本与检验样本的拟合参数分布基本一致。其次,根据表5中的拟合参数取值范围可知,检验样本4个参数值在取值范围内,因此可以接受训练样本的4个参数值,标志气体体积分数与煤温的数学模型有效。

3 煤自燃预警指标构建

根据式(2),(3)得到气体体积分数随煤温的变化曲线,如图11所示,曲线直观地展现了气体体积分数随温度变化的阶段性特征,其阶段划分是以初现温度、拐点温度为临界点。初现温度CO,C2H4和C2H2初现温度。拐点温度是表征煤自燃阶段转变的临界指标,包括CO,C2H4第1拐点温度、CO,C2H4第2拐点温度4个特征温度。其中,第1拐点温度是从波动段和稳定段的分界点,第2拐点温度是稳定段和衰减段的分界点。

图9 检验样本C2H4体积分数4个拟合参数分布
Fig.9 Distribution of four parameters with C2H4 of test samples

图10 检验样本C2H4拟合参数lg x0分布
Fig.10 Distribution of lg x0 with C2H4 of test samples

表7 检验样本C2H4体积分数拟合参数正态性检验
Table 7 Normalization test of four fitted parameters of C2H4 concentration of test samples

参数分析数量均值标准差在5%水平下的结论A1100.340.158不能排除正态性A21030.815.357 88不能排除正态性p1017.23.362 54不能排除正态性x010278.331.608 74排除正态性lg x0100.340.158不能排除正态性

表8 训练样本与检验样本拟合参数对比
Table 8 Comparison of fitting parameters between training samples and test samples

标志气体样本类型A1A2px0CO训练样本2314 99011294检验样本2814 92811293C2H4训练样本0.32717283检验样本0.33117275

图11 CO,C2H4与煤温的数学模型拟合曲线
Fig.11 Model fitting curves of CO,C2H4 and coal temperature

3.1 初现温度

3.1.1 CO初现温度

图12为88组煤样的CO初始温度统计结果,CO初现温度主要集中在28~32 ℃,煤样频数为72,占总样本数的81.8%,小于35 ℃的累积占比超过90%,最高初现温度为41 ℃,最低初现温度为26 ℃,极差为14 ℃,根据正态性检验可知,CO初现温度符合正态分布,其平均值和中位值为别为30.5 ℃和30 ℃,说明CO对温度非常敏感,低温条件下即可出现。通过现场调研可知,CO会出现在回采的各个阶段,只有CO体积分数超过一定值时,才可认为发生严重的氧化反应,不同矿井的工况条件不同,其安全临界值可根据现场经验进行归纳。

图12 CO初现温度分布频数与累积占比
Fig.12 Distribution of frequency and cumulative percentage of CO initial temperature

图13 C2H4初现温度分布频数与累积占比
Fig.13 Frequency and cumulative percentage of C2H4 initial temperature distribution

3.1.2 C2H4初现温度

图13为88组煤样的C2H4初现温度分布频数及累积占比,C2H4的初现温度分布在80~160 ℃,平均温度为120 ℃,极差为80 ℃,显著高于CO初现温度的极差。其次,在100~150 ℃的煤样数量为77,占总样本频数的87.5%,初现温度低于150 ℃的累积占比为94.3%,说明绝大部分煤样C2H4的初现温度小于150 ℃。由于原生煤层中不含C2H4,检测到该气体时,可认为采空区最高温度大于C2H4的初现温度,标志着采空区已经发生煤自燃。

3.1.3 C2H2初现温度

C2H2体积分数变化及初现温度分布如图14所示,其体积分数普遍小于1×10-6。不同煤样C2H2的初现温度均较高,为191~317 ℃,极差高达126 ℃,中位数温度和平均温度分别为285 ℃和272 ℃,说明C2H2为煤自燃反应进入高温阶段的气体产物。由于C2H2体积分数非常低,初现温度高,实际工程应用中,C2H2气体的出现可直接判定遗煤处于高温氧化阶段,而不必通过体积分数值的高低判定煤温度,C2H2初现温度可作为煤自燃最高级别的预警指标。

图14 C2H2体积分数变化曲线及初现温度分布
Fig.14 C2H2 initial temperature and concentration

3.2 拐点温度

3.2.1 CO,C2H4第1拐点温度

第1拐点温度表示气体体积分数增长率发生显著变化的点,实际上是曲线的局部峰值,因此可通过Origin快速寻峰确定其特征值:平滑方法为相邻平均法,寻峰设置为局部最大。则基于快速寻峰得到CO,C2H4的第1拐点温度如图15,16所示,相应的温度为156 ℃和204 ℃。

图15 CO第1拐点温度求解
Fig.15 First inflection point temperature of CO

图16 C2H4第1拐点温度求解
Fig.16 First inflection point temperature of C2H4

3.2.2 CO与C2H4第2拐点温度

第2拐点温度表示气体增长率开始减小时对应的温度。以贵州、河南、甘肃-1、甘肃-3、安徽-2和安徽-4煤样为例,图17为上述6组煤样CO体积分数二阶导数变化曲线,二阶导数为0的点对应的煤温即为CO的第2拐点温度。其中贵州和安徽-2未出现拐点,剩余4组有效数据。

图17 CO体积分数二阶导数变化曲线
Fig.17 Curves of CO second order derivative

图18 CO体积分数第2拐点温度与x0(CO)的对比
Fig.18 Comparison between the second inflection point temperature and x0(CO)

图18为根据实验得到的CO的第2拐点温度与x0(CO)值的对比曲线,可知同一煤样的第2拐点温度与x0(CO)具有相似的分布特征,其相关性系数高达0.982 25,因此可以直接用x0(CO)表征CO第2拐点温度,即294 ℃。

图19为同组煤样C2H4第2拐点温度与拟合参数x0的散点关系图,2者的Pearson相关系数约为0.98,可以直接用x0(C2H4)表征同一组煤样的C2H4第2拐点温度,即283 ℃。

图19 C2H4第2拐点温度与x0(C2H4)对比
Fig.19 Comparison between the second inflection point temperature and x0(C2H4)

3.3 预警指标构建

基于初现温度、拐点温度对煤自燃过程进行阶段划分,具体为CO初现温度30 ℃、C2H4初现温度120 ℃、CO第1拐点温度156 ℃、C2H4第1拐点温度204 ℃、C2H4第2拐点温度283 ℃、C2H2初现温度285 ℃、CO第2拐点温度294 ℃。其中,后3者的温度较接近,而C2H2气体更容易监测,因此以C2H2初现温度代表后3个特征温度。如图20所示,5组特征温度将煤自燃分为6个阶段,其危险等级为:安全、低风险、一般风险、较大风险和重大风险、特大风险。各个阶段的特征为:

(1)安全:未检测到CO。实际上,氧化是煤的自然属性,采空区内的遗煤始终存在不同程度的氧化现象,尤其是高地温矿井,为遗煤提供更高的初始环境温度,采空区内检测不到CO的情况极少。

图20 基于特征温度的煤自燃阶段划分
Fig.20 Division of coal spontaneous combustion based on characteristic temperature

(2)低风险:CO波动性增加,但未检测到C2H4,属于工作面回采常态,多数矿井属于该状态。

(3)一般风险:从30 ℃跃迁至超过120 ℃后,煤自燃从低风险进入一般风险,该状态下,开始检测到C2H4气体,同时CO体积分数增速加快。

(4)较大风险:从CO第1拐点温度跃迁至C2H4第1拐点温度,表征煤自燃从一般风险进入较大风险。CO体积分数快速增加。

(5)重大风险:当CO和C2H4体积分数从快速增加向增速下降转变,且未监测到C2H2时,说明处在重大风险状态,此时煤温在204~285 ℃。

(6)特大风险:当监测到C2H2时,说明采空区进入特大风险状态,此时风险基本不可控,可作为灾变处理,同时表明预警失败。

4 结 论

(1)煤低温氧化过程可分为波动段、稳定段和衰减段,标志气体与煤温的关系符合Logistic模型。

(2)煤自燃特征温度的统计学特征表明,绝大部分煤样的CO初现温度为30 ℃、C2H4的初现温度为120 ℃、C2H2的初现温度为285 ℃,该3个特征温度可作为煤自燃预警指标。

(3)标志气体的初现温度和拐点温度将煤自燃分为6个阶段,其危险等级为安全、低风险、一般风险、较大风险和重大风险、特大风险。

(4)基于Logistic模型确定的标志气体与煤温函数关系可作为煤自燃智能预警软件的研发提供数据支撑。

参考文献(References):

[1] 王连聪,梁运涛,罗海珠.我国矿井热动力灾害理论研究进展与展望[J].煤炭科学技术,2018,46(7):1-9.

WANG Liancong,LIANG Yuntao,LUO Haizhu.Research progress and outlook on theory of thermodynamic disaster of coal mine in China[J].Coal Science and Technology,2018,46(7):1-9.

[2] 邓军,吕慧菲,李达江,等.[BMIM][BF4]对不同变质程度煤自燃热行为的影响研究[J].煤炭学报,2019,44(1):254-262.

DENG Jun,LÜ Huifei,LI Dajiang,et al.Thermal behavior effects of 1-butyl-3-methylimidazole tetrafluoroborate on coal spontaneous combustion with different metamorphic levels[J].Journal of China Coal Society,2019,44(1):254-262.

[3] 邓军,李贝,王凯,等.我国煤火灾害防治技术研究现状及展望[J].煤炭科学技术,2016,44(10):1-7,101.

DENG Jun,LI Bei,WANG Kai,et al.Research status and outlook on prevention and control technology of coal fire disaster in China[J].Coal Science and Technology,2016,44(10):1-7,101.

[4] 费金彪.煤自燃阶段判定理论与分级预警方法研究[D].西安:西安科技大学,2019.

FEI Jinbiao.Study on stage determination theory and classified early warning method for spontaneous combustion of coal[D].Xi’an:Xi’an University of Science and Technology,2019.

[5] 杨胜强,秦毅,孙家伟,等.高瓦斯易自燃煤层瓦斯与自燃复合致灾机理研究[J].煤炭学报,2014,39(6):1094-1101.

YANG Shengqiang,QIN Yi,SUN Jiawei,et al.Research on coupling hazard mechanism of mine gas and coal fire for a gassy and high spontaneous com[J].Journal of China Coal Society,2014,39(6):1094-1101.

[6] 王鑫阳,LUO Yi,张勋,等.基于绝热氧化试验结果的煤自燃预测模型研究[J].中国安全科学学报,2017,27(6):67-72.

WANG Xinyang,LUO Yi,ZHANG Xun,et al.A study on predicting model for self-heating behavior of coal based on adiabatic oxidation experiment[J].China Safety Science Journal,2017,27(6):67-72.

[7] 刘晨,谢军,辛林.煤自燃预测预报理论及技术研究综述[J].矿业安全与环保,2019,46(3):92-95.

LIU Chen,XIE Jun,XIN Lin.Review of theory and technology research on prediction of coal spontaneous combustion[J].Mining Safety & Environmental Protection,2019,46(3):92-95.

[8] 梁运涛,辛全昊,王树刚,等.煤自然发火过程颗粒堆积体结构形态演化试验研究[J].煤炭学报,2020,45(4):1398-1405.

LIANG Yuntao,XIN Quanhao,WANG Shugang,et al.Structure variation of coal particle packing during the spontaneous combustion[J].Journal of China Coal Society,2020,45(4):1398-1405.

[9] 陆伟,胡千庭.煤低温氧化结构变化规律与煤自燃过程之间的关系[J].煤炭学报,2007,32(9):939-944.

LU Wei,HU Qianting.Relation between the change rules of coal structures when being oxidized and spontaneous combustion[J].Journal of China Coal Society,2007,32(9):939-944.

[10] 仲晓星,王德明,陆伟,等.交叉点温度法对煤氧化动力学参数的研究[J].湖南科技大学学报(自然科学版),2007,22(1):13-16.

ZHONG Xiaoxing,WANG Deming,LU Wei,et al.Study on the oxidation kinetics parameters of coal with crossing point temperature method[J].Journal of Hunan University of Science & Technology(Natural Science Edition),2007,22(1):13-16.

[11] 陈汝豪,王德明,曹凯.煤炭低温氧化自燃过程指标气体影响因素关联分析[J].矿业工程研究,2012,27(1):32-38.

CHEN Ruhao,WANG Deming,CAO Kai.Relational analysis of the influencing factors for index gases of coal spontaneous combustion in low temperature mine[J].Mineral Engineering Research,2012,27(1):32-38.

[12] 宋宜猛.采空区分区渗流与煤自燃耦合规律研究[D].北京:中国矿业大学(北京),2012.

SONG Yimeng.Coupling mechanism of coal spontaneous combustion and partition seepage[D].Beijing:China University of Mining & Technology (Beijing),2012.

[13] 周冬,刘贞堂,钱继发,等.采空区内煤自燃气体特征及产生规律分析[J].工矿自动化,2019,45(3):18-22,28.

ZHOU Dong,LIU Zhentang,QIAN Jifa,et al.Analysis of gas characteristics and generation rules of coal spontaneous combustion in goaf[J].Industry and Mine Automation,2019,45(3):18-22,28.

[14] 肖旸,王振平,马砺,等.煤自燃指标气体与特征温度的对应关系研究[J].煤炭科学技术,2008,36(6):47-51.

XIAO Yang,WANG Zhenping,MA Li,et al.Research on correspondence relationship between coal spontaneous combustion index gas and feature temperature[J].Coal Science and Technology,2008,36(6):47-51.

[15] 屈丽娜,刘星魁,张红元.煤自燃阶段动力学参数及特征温度点的实验研究[J].西安科技大学学报,2015,35(5):597-601.

QU Lina,LIU Xingkui,ZHANG Hongyuan.Experimental study of stage characteristic parameters and temperature on coal spontaneous combustion[J].Journal of Xi’an University of Science and Technology,2015,35(5):597-601.

[16] ONIFADE M,GENC B.Prediction of the spontaneous combustion liability of coals and coal shales using statistical analysis[J].Journal of the Southern African Institute of Mining and Metallurgy,2018,118(8):799-808.

[17] 邓军,赵婧昱,张嬿妮.基于指标气体增长率分析法测定煤自燃特征温度[J].煤炭科学技术,2014,42(7):49-52,56.

DENG Jun,ZHAO Jingyu,ZHANG Yanni.Study on determination of coal spontaneous combustion characteristic temperature based on analysis method of index gas growth-rate[J].Coal Science and Technology,2014,42(7):49-52,56.

[18] LEI C,DENG J,CAO K,et al.A random forest approach for predicting coal spontaneous combustion[J].Fuel,2018,223(1):63-73.

[19] 高原,覃木广,李明建.基于支持向量机的采空区遗煤自燃预测分析[J].煤炭科学技术,2010,38(2):50-54.

GAO Yuan,QIN Muguang,LI Mingjian.Analysis on prediction of residual coal spontaneous combustion in goaf based of support vector machine[J].Coal Science and Technology,2010,38(2):50-54.

[20] 邓军,雷昌奎,曹凯,等.采空区煤自燃预测的随机森林方法[J].煤炭学报,2018,43(10):2800-2808.

DENG Jun,LEI Changkui,CAO Kai,et al.Random forest method for predicting coal spontaneous combustion in gob[J].Journal of China Coal Society,2018,43(10):2800-2808.

[21] GUO Jun,WEN Hu,ZHENG Xuezhao,et al.A method for evaluating the spontaneous combustion of coal by monitoring various gases[J].Process Safety and Environmental Protection,2019(126):223-231.

[22] 秦红星,戴广龙,张树川,等.基于煤低温氧化试验下的标志性气体优选及应用[J].煤炭科学技术,2015,43(6):65-70.

QIN Hongxing,DAI Guanglong,ZHANG Shuchuan,et al.Optimal selection and application of mark gas based on coal low temperature oxidation test[J].Coal Science and Technology,2015,43(6):65-70.

[23] 姜东华.原函数与导函数之间的性质探讨[J].南昌教育学院学报,2010,25(11):49-51.

JIANG Donghua.The nature of the original function and the guide function is discussed[J].Journal of Nanchang College of Education,2010,25(11):49-51.

Construction of early warning indicators for coal spontaneous combustion based on statistical characteristics of index gases

REN Wanxing1,2,GUO Qing1,2,SHI Jingtai1,2,LU Wei3,SUN Yong4,5

(1.School of Safety Engineering,China University of Mining and Technology,Xuzhou 221116,China; 2.Key Laboratory of Gas and Fire Control for Coal Mines,China University of Mining & Technology,Xuzhou 221116,China; 3.School of Safety Science and Technology,Anhui University of Science and Technology,Huainan 232000,China; 4.China Coal Technology & Engineering Group Shenyang Research Institute,Fushun 113122,China; 5.State Key Laboratory of Coal Mine Safety Technology,Fushun 113122,China)

Abstract:Coal spontaneous combustion in goaf is one of the main disasters affecting mine safety.Index gases and coal temperature are the key parameters for the early warning of coal spontaneous combustion.The mathematical model between them and their statistical characteristics are the bases of constructing coal spontaneous combustion early warning system.Through temperature-programmed control experiment,the gases concentrations curve of 88 groups of coal samples with coal temperature are obtained.The gas concentration is fitted by exponential function,polynomial function and Logistic regression function.R2 and SSE and MES are used as evaluation indexes to select Logistic regression function as the best fitting function.Logistic model is used to fit the curve of index gases to obtain the four parameters A1,A2,p and x0 of the CO and C2H4.Based on the statistical characteristics,the values of the above four parameters are determined and their validity is tested,and the constitutive equation of “gas-temperature” is obtained.Finally,based on the statistical characteristics,the first occurrence and inflection temperatures of gases with different indexes are summarized and the early-warning indexes of coal spontaneous combustion are constructed.from the experimental results,it can be concluded that ① within the range of 30-350 ℃ experimental temperature,the variation of index gas concentration is divided into fluctuation section,stable section and attenuation section,and the gas concentration and coal temperature conform to Logistic regression model:the fitted parameters for CO and C2H4 were A1(CO)=23,A2(CO)=14 990,p(CO)=11,x0(CO)=294; A1(C2H4)=0.3,A2(C2H4)=27,p(C2H4)=17,x0(C2H4)=283.② CO initial temperature,first inflection point temperature,C2H4 initial temperature,first inflection point temperature,and C2H2 initial temperature can be used as the early-warning indexes of coal spontaneous combustion with values are 30,158,120,204 and 285 ℃,respectively.③ Based on the initial temperature and inflection point temperature,coal spontaneous combustion is divided into 6 hazard levels:safety,low risk,average risk,greater risk,significant risk and mega risk.The corresponding response measures can be taken according to the different levels.

Key words:coal spontaneous combustion;warning index;index gases;characteristic temperature;Logistic regression model

中图分类号:TD752

文献标志码:A

文章编号:0253-9993(2021)06-1747-12

移动阅读

收稿日期:2021-01-04

修回日期:2021-02-02

责任编辑:钱小静

DOI:10.13225/j.cnki.jccs.HZ21.0006

基金项目:国家重点研发计划资助项目(2018YFC0807906)

作者简介:任万兴(1980—),男,河南封丘人,教授,博士生导师。Tel:0516-80202990,E-mail:rwxcom@163.com

通讯作者:郭 庆(1989—),男,河南永城人,博士研究生。E-mail:zgkdgq@163.com

引用格式:任万兴,郭庆,石晶泰,等.基于标志气体统计学特征的煤自燃预警指标构建[J].煤炭学报,2021,46(6):1747-1758.

REN Wanxing,GUO Qing,SHI Jingtai,et al.Construction of early warning indicators for coal spontaneous combustion based on statistical characteristics of index gases[J].Journal of China Coal Society,2021,46(6):1747-1758.