煤炭是我国的主体能源,埋深1 000 m 以下的煤炭资源约占已探明储量5.57万亿t的53%[1-2]。随着开采范围及强度的增加,浅部资源的日益枯竭,煤炭开采朝着深部化和大型化方向发展。据统计,我国已建成开采深度达到或超过1 000 m 的深井共有45处(含11处历史最大采深曾达到千米的矿井),主要分布在华东和华北等9个省区,其中:山东21处,辽宁6处,河北、吉林各4处,安徽3处,江苏3处,河南2处,陕西、江西各1处。国家规划建设的14个大型煤炭基地中一些新建和改扩建的大型立井年生产能力已达1 000 万t,开采深度已达1 000 m。未来5~10 a,煤炭矿山还将兴建30余座千米深井。
目前,国外在建的超千米深井大多为金属矿山。其中,南非兰德金矿区是世界最大的金矿区,开采深度已经达到3 600 m;英美集团于南非西北部建成的姆波尼格金矿开采深度达到4 350 m以上,是目前世界上最深的矿井;印度钱皮里恩夫金矿采深已达到3 260 m。以俄罗斯为代表的东欧地区也蕴含丰富的金属矿产,其中,克里沃罗格铁矿区的开拓深度已到达1 570 m以上,不久将要达到2 000~2 500 m。另外,北美和澳洲部分的金属矿山采深也已到达千米以上的水平。
针对深部矿山建井过程中出现的岩石力学与灾害控制问题,早在1983年,原苏联、西德的学者就对超过1 600 m的深(煤)矿井进行专题研究;1998年7月,南非政府启动“Deep Mine”的研究计划,旨在解决深部的矿山安全建设、经济开采的一些关键问题;同期,加拿大也开展了为期10 a的2个深井研究计划;美国于2000年左右开始筹建深部科学与工程实验室(Deep Underground Science and Engineering Laboratory,DUSEL),就深部岩体力学响应特征进行研究[3]。
2004年,我国立项启动了第1项系统研究深部建井与开采岩石力学问题的国家自然基金重大项目“深部岩体力学基础研究与应用”,后续又设立了包括“深部煤炭资源赋存规律、开采地质条件与精细探测基础研究”(2006年)、“煤矿突水机理与防治基础理论研究”(2007年)、“煤炭深部开采中的动力灾害机理与防治基础研究”(2010年)等一系列国家重点研发计划项目(973计划),相关项目研究成果为我国1 000~1 500 m 深部资源安全高效开采提供了重要的理论与技术支撑。
然而,由于深部岩体所处地球物理环境的特殊性和应力场的复杂性,使得深部建井工程中的大变形灾害成灾机理十分复杂,现有的监测、防控技术难以满足未来1 500~2 000 m深部建井安全高效施工及运营的要求。
2016 年,启动了国家重点研发计划项目“煤矿深井建设与提升基础理论及关键技术”的研究。本项目针对煤矿深部建井存在高应力、高水压、复杂多变地层等难题,以及深井提升面临长距离、高速度、重载荷等挑战,以建立1 500~2 000 m深部建井与提升基础理论体系,突破煤矿深井高效掘进支护和大吨位提升关键技术为目标,研发深井高效快速掘进支护、高速重载提升与控制成套装备,建设煤矿深部建井和提升示范工程。
笔者将围绕国家重点研发计划项目“煤矿深井建设与提升基础理论及关键技术”研究团队的最新研究动态,详述有关深部建井研究方向的最新创新性成果。
对于煤矿1 500~2 000 m深部建井工程,其自重应力为30~40 MPa,开挖后的应力集中可达1.5~2.0 倍的原岩应力水平。由于煤矿建井岩体多为沉积岩,强度相对较低,在高应力作用下容易产生上百毫米乃至米级以上的变形。为此,从深部“大变形、大地压”现象入手[3],以深部建井3个各向异性(物质、结构、应力)为突破点,提出了深部“非均压建井”新模式,建立了不同岩层结构以及应力条件下立井井筒力学模型,推导了相应的解析解,并从微观、细观、宏观层面揭示了深部建井岩体的各向异性及其与深部环境相互作用过程中的大变形力学特性及其灾变机理。
深部多场耦合(包括应力场、渗流场、温度场等)复杂地质力学环境下,由于地应力场的非均匀性(三向应力大小不同且最大主应力为水平应力),使得各向异性(包括地层岩性、岩体结构等)的建井围岩开挖后,作用在均匀的井壁支护结构上,将会产生一个非均匀的压力场。而现场实测结果也充分验证了这一现象(图1)。
研究表明,非均匀压力场是造成井巷支护结构破坏的根本原因(图2)。为此,提出了深部“非均压建井”新模式[4](图3中,σ1为最大主应力;σ3为最小主应力),通过不同工程断面配合非均匀或准均匀高预应力恒阻耦合支护,实现应力场的均匀化,从而保证深部及井巷工程建设的安全性及其长期稳定性。
深部立井井筒特点是井筒轴向方向的应力边界条件为非对称、非均匀、非线性分布[4-6];不满足平面问题的求解条件,因此,在力学建模中必须采用三维力学模型;沿井筒径向方向应力边界条件为非对称分布,应当在掌握地应力方向和大小的前提下,采用椭圆形断面来对抗井筒径向方向的非均匀应力场,其中,长轴对应最大主应力方向;1 500~2 000 m深部井筒所处地层的岩性变化大,必须考虑地层构造运动与断层运动以及在高渗透压力(15~20 MPa)下的影响[7]。
图1 龙固煤矿井壁压力实测结果
Fig.1 Test results of well wall pressure of Longgu Coal Mine
图2 非均匀应力场导致井巷支护结构破坏
Fig.2 Non-uniform stress field causes damage to the well or roadway support structure
图3 深部“非均压建井”新模式
Fig.3 “Non-uniform stress field construction” model for deep shaft
综合分析各种因素后,提出了如图4所示的2 000 m椭圆断面深部井筒结构效应力学模型。在建模过程中对断层、土-岩界面等边界条件进行了如下概化:
图4 深部井筒力学结构模型
Fig.4 Geological model for a vertical shaft for coal mines built at great depth
(1)断层等地质构造的残余构造应力使得区域应力场的非均匀性更为明显,为此,重点研究了断层的影响,根据我国煤田断层间距分布,模型的平面尺寸应当在3 km;同时考虑了岩层间的塑性滑移[8-9]。
(2)采用椭圆形断面来弱化井筒径向方向的非均匀应力场,采用三维力学模型,重点反映沿井筒轴向方向的应力分布非均匀与非对称性。
(3)第四系表土层土-岩界面是井筒岩层结构的薄弱部位,重点考虑高垂直压力形成的塑性大变形、高水平压力以及断层运动形成的岩层间界面塑性滑移。
据此,提出了复杂地质结构深部井筒模型分类(图5):I型:均质岩体模型,包括IA型(圆断面井筒)和IB型(椭圆断面井筒);II型:层状岩体模型,包括IIA型(岩石一元结构)和IIB型(土-岩二元结构);III型:含断裂带模型,包括IIIA型(含逆断层模型)、IIIB型(含正断层模型)和IIIC型(含走滑断层模型)。不同的地质结构模型具有不同的边界条件与力学行为。通过上述分类,建立了煤系地层深部建井中的典型地层结构物理模型,为应用弹塑性力学、岩石力学等有关矿山岩体力学理论,进行深部建井中的理论与实验研究提供了解决问题的思路与框架。
图5 不同岩体结构井筒理论模型分类
Fig.5 Classification of theoretical models of shafts in different rock structures
对于IA型(均质岩体)圆断面井筒,其在对称边界条件下的弹性解为经典弹性力学解;对于IB型(均质岩体)椭圆断面立井井筒,目前仅有在椭圆-双曲坐标系下的平面弹性解,其力/位移势函数为二维Goutsat位移势函数[10-11]。
为了建立椭圆断面深部井筒的三维弹性解,提出了改进的Goutsat位移势函数(即三维Goutsat位移势函数),用于建立各向同性均质岩体(IB型)椭圆断面立井井筒的三维弹性模型。同时也尝试采用求解圆柱体三维模型的广义平面法来研究IB型模型的三维建模问题。对于无法直接建立理论解的II型与III型模型,提出了图6所示的“界面耦合多层地质结构模型”,用于解决复杂地质条件下(IIA与IIB型)的椭圆断面立井井筒三维弹性近似解的建模问题,图6中,a为长轴长度;b为短轴长度;p为井筒内部支护力;δ为井筒厚度;σxi,σyi,σzi为第i个地层边界上的正应力;τxyi,τxzi,τyxi,τzxi,τzyi为第i个地层边界上的剪应力。对于含有断层的III型地质模型,则需要采用数值方法来建模与分析。
图6 深部井筒大变形“界面耦合多层结构地质模型”
Fig.6 Multilayer geological model with each stratum interfaces coupled one another
图6所示模型将深部井筒所处某一地层的变形和运动,看作由一种或几种外部载荷引起,其相对于其他地层的关系,由层间边界条件决定;同时,将地层本身的稳定性问题,看作是均匀各向同性介质的力学行为。“界面耦合多层地质结构模型”突出了问题的主要结构与力学特征,使得均匀各向同性岩体井筒的三维弹塑性理论解,可以直接应用到层状岩体三维建模问题中,简化了理论分析与数学推导的难度,为沉积岩2 000 m深部圆/椭圆断面井筒三维弹塑性理论建模,以及提出合理的深部建井设计理论提供了可行思路。
针对图6模型中的某一地层(即IB模型),建立其基于弹性力学的基本方程与理论解;以其为基础根据层间界面的应力、变形耦合条件,可以建立其弹性近似解。
在椭圆双曲柱坐标系下,建立了各向同性线弹性本构方程

(1)
式中,εα,εβ,εz分别为椭圆环向正应变,径向正应变,高度方向正应变;α为椭圆坐标;β为双曲线坐标;E为弹性模量;σα,σβ,σz分别为椭圆环向正应力,径向正应力,高度方向的正应力;μ为泊松比;γαβ,γβz,γzα为对应方向上的切应变;ταβ,τβz,τzα为椭圆双曲坐标系中的切应力。
建立了椭圆双曲柱面坐标系下的平衡微分方程(式(2))与几何方程(式(3)):

(2)

(3)
式中,c为椭圆井筒的半焦距;fα,fβ,fz分别为弹性体所受的α,β,z方向的容重;ε11,ε22,ε33为应变张量;Γ121,Γ212为张量形式的求导符号;u1,u2,u3为位移张量;uα,uβ,uz为α,β,z三个方向上的位移;γ12,γ21,γ13,γ31,γ23,γ32为切应变的张量;γαβ,γβα,γαz,γzα,γβz,γzβ分别为椭圆双曲坐标系上对应方向的切应变。
图7给出了IB型地质模型的边界条件,其中,σz0为上部岩层压力;σz1为下部岩层反力。根据弹性力学的叠加原理,其边界条件可以分解为在水平面两个方向上的模型与垂直方向模型上边界条件的叠加。
在图7所示模型的基础上,根据提出的改进Goutsat位移势函数(即三维Goutsat位移势函数),建立了基于改进的古萨位移势函数的椭圆断面立井井筒边界的三维弹性应力与应变[12]。
椭圆断面立井井筒边界上环向和垂向的应力分布为

(4)
椭圆断面立井井筒边界上环向和垂向的应变分布:

(5)
式中,qx(z), qy(z)为随深度线性增大的侧向压力,其表达式为
![]()
(6)
![]()
(7)
其中,λ1为x方向的侧压系数;λ2为y方向的侧压系数;γ 为当前岩层的容重;z为当前岩层的高度;γi 为上部第i层岩层容重;Hi为上部第i层岩层高度;n为上部岩层层数;式(4),(5)中的参数A1,A2与A3具体为
A1=(1+2m)sin2β-m2cos2β
(8)
A2=m(m+2)cos2β-sin2β
(9)
A3=sin2β+m2cos2β
(10)
式中,m为短长轴比。
由式(4)与(5)可以得到下述典型深度的应力分布与应变分布,如图8,9所示。
1.3.1 深部建井岩体微观大变形力学特性
利用第一性原理计算方法,建立了深部软岩黏土矿物主要组分高岭石和蒙脱石的微观晶体结构[13-15](图10),获得了微观晶体结构弹性常数关系及力学参数[16-17],从微观角度揭示了软岩各向异性力学行为特性;得出了垂直晶面方向的弹性常数明显小于平行于晶面方向的重要结论,掌握了软岩微观力学特性对其宏观变形特征影响的内在本质;分析了高岭石与水分子吸附[18-22]、扩散、渗透[23]相互作用方式(图11中,H1~H6为水分子稳定吸附在高岭石(001)表面的6个空穴位),以及杂质掺杂对水分子在高岭石结构内部吸附的影响[24-25](图12),揭示了深部软岩吸水后电荷密度和态密度变化导致层间距膨胀是引起软岩宏观大变形的内因。
图7 单一地层椭圆断面立井井筒(地质模型IA与IB)建模的边界条件
Fig.7 Boundary conditions for a single-layer vertical shaft with an elliptical section (geological models IA and IB)
图8 椭圆形井筒内边界4个典型深度下的第1主应力 σβ分布
Fig.8 Distribution of the first principal stress σβ on the inner boundary of the shaft at four typical depths
图9 椭圆形井筒内边界在4个典型深度下的第1主应 变εβ分布
Fig.9 Distribution of the first principal strain εβ on the inner boundary of the shaft at four typical depths
图10 深部软岩黏土矿物微观晶体结构
Fig.10 Atomic structures of kaolinite and montmorillonite
图11 高岭石与水分子吸附、扩散、渗透作用
Fig.11 Adsorption,diffusion and penetration behaviors of the water molecules with kaolinite
图12 杂质掺杂对水分子在高岭石结构内部吸附影响
Fig.12 Influence of the doping on the penetration of water molecule with kaolinite
图13 高岭石在单轴拉伸状态下的微观变形和破坏过程
Fig.13 Deformation and failure processes of kaolinite under uniaxial tensile states
图14 高岭石在单轴压缩状态下的微观变形和破坏过程
Fig.14 Deformation and failure processes of kaolinite under uniaxial compression states
图15 高岭石在剪切状态下的微观变形和破坏过程
Fig.15 Deformation and failure processes of kaolinite under shear states
图16 深部建井岩体与水相互作用软化效应典型实验
Fig.16 Typical experiment on softening effect of interaction between rock mass and water in deep well construction
图17 假三轴条件下深部砂岩应力-应变曲线
Fig.17 Stress-strain curves of deep sandstone under triaxial condition
图18 真三轴条件下深部砂岩应力-应变曲线
Fig.18 Stress-strain curves of deep sandstone under true triaxial condition
图19 深部砂岩变形全过程能量演化曲线(σ3unload=13 MPa)
Fig.19 Energy evolution curves of deep sandstone during the whole deformation process (σ3unload=13 MPa)
图20 不同模拟深度、相同应力路径下深部砂岩强度准则拟合曲线
Fig.20 Fitting curves of strength criterion of deep sandstone under different simulated depth and the same stress path
利用分子动力学方法,对高岭石在单轴拉伸、单轴压缩和剪切3种受力状态下的变形过程进行模拟(图13~15),得到了不同方向的应力应变曲线,分析了高岭石各向异性的力学行为,计算出相关力学参数,并与理论值进行了比较;提取了不同应变时刻高岭石结构的微观构型,并计算断裂化学键的数目及类型,分析了高岭石在弹塑性转变时的微观构型变化过程,发现了不同类型化学键的断裂是黏土矿物发生破坏的主要原因[26-28]。
1.3.2 深部建井岩体吸水软化特性
采用深部软岩与水相互作用智能测试系统(图16(a)),对深部建井岩体吸水软化效应进行了试验研究,获得了不同软岩的动态吸水规律(图16(d),(e)),确定了软岩黏土矿物和孔隙结构(孔隙率)等是影响软岩水吸附的重要因素,揭示了吸水导致软岩泥质化和微观结构(图16(b),(c))的变化是软岩强度软化的内在原因[29-32]。
1.3.3 深部建井岩体多场耦合力学特性
采用多功能三轴流固耦合试样系统开展了深部建井岩体大变形力学特性试验研究。三轴试验对应的空间应力路径为:路径1:σx单面卸载;路径2:σx双面卸载;路径3:σy,σx同时单面卸载[33]。通过对模拟深度为1 000,1 500,2 000 m的实验结果分析,发现深部砂岩应力-应变曲线中具有长短不一的“平台”特征,且模拟深度越小,“平台”长度越短,甚至趋近于消失[34](图17),图17中,ε1为轴向应变;σcf为峰值强度;σcr为残余强度;σ3unload为围压卸载后的最终围压值。在同一模拟深度、不同应力路径下,真三轴条件下的砂岩峰值强度演化特征[33]为:σcf1>σcf2>σcf3(图18),σcf1,σcf1,σcf1分别为应力路径1,2,3下砂岩峰值强度值。同一应力路径、不同模拟深度下,真三轴条件下的砂岩峰值强度随模拟深度的增加而不断增大。研究获得了砂岩变形全过程能量演化规律[35](图19中,Uz为总输入能密度;Ue为弹性能密度;Ud为耗散能密度;Uecf为弹性能密度峰值),平台处能量发生突变;真三轴不同应力路径条件下,Mogi-Coulomb强度准则更适合描述深部岩石的破坏强度特性[36](图20中,τoct为八面体剪应力;σm,2为有效中间主应力;σ1,σ2,σ3分别为最大主应力、中间主应力、最小主应力;I1,J2分别为应力第一不变量,应力偏量第二不变量)。
1.4.1 深部井巷非对称大变形破坏机理
针对深部建井岩体结构各向异性引起的大变形破坏结构效应,通过物理模型实验,得到了不同倾斜岩层、不同断面形状深井巷道大变形破坏过程中的能量变化红外特征[37](图21),从宏观层面揭示了由红外图像表征的岩体结构效应变形破坏特征及其机理。针对深埋巷道开挖卸荷过程中,由于围岩结构各向异性引起的围岩应力场、位移场不均匀演化问题,进一步通过数值试验,得到不同岩层倾角、不同断面形状的巷道围岩应力演化规律[38](图22),通过围岩结构不同状态下的应力应变集中程度,判断其发生破坏的潜在部位,揭示巷道关键部位的产生机理。
图21 矩形巷道开挖破坏及其红外能量演化特征
Fig.21 Excavation failure of rectangular roadway and its energy evolution characteristics
图22 马蹄形巷道开挖卸荷后变形特征
Fig.22 Deformation characteristics of horseshoe-shaped roadway after excavation
图23 深部岩体岩爆实验系统
Fig.23 Rock burst experimental system for deep rock
1.4.2 深部高应力岩爆灾害机理
针对深部建井岩体与高应力场相互作用的大变形力学特性,利用自主研发的深部建井岩体岩爆力学实验系统(图23),成功模拟再现了多面卸载岩爆的过程(图24)[39-40]。在此基础上,开展了不同长短轴比的椭圆形井筒(巷道)冲击岩爆实验研究(图25,26),图26中,σH为水平左右方向应力;σV为垂直方向应力;σh为水平前后方向应力。根据实验结果分析,可将冲击岩爆过程分为3个阶段:Ⅰ为三向静应力加载达到初始地应力水平阶段;Ⅱ为应力保持阶段;Ⅲ为施加动力扰动阶段。其中阶段Ⅰ又可以细分为3个小阶段,I1为三向同时加载阶段,I2为一向保载、两向加载阶段,I3为两向保载、一向加载阶段。由图19可知在岩爆发生时刻,声发射参数发生了明显变化,计数达到最大值。总的来说,椭圆形断面相较于圆形断面更不易发生岩爆灾害,且椭圆长短轴比越大,越难发生冲击岩爆,但若发生冲击岩爆,剧烈程度则更高[41]。
1.4.3 深部建井突出型大变形复合灾害机理
利用自主研发的深部矿建井复合灾害试验系统(图27),室内再现了突出型复合灾害孕育、潜伏、发生、发展全过程[42]。发现突出型复合灾害发生过程可分为孕育前期、孕育后期、激发-发展和终止4个阶段,复合灾害过程中声发射能量信号经历了“平稳—升高—峰值”的演化过程(图28)。复合灾害孕育前期AE能量处于较低水平,累计AE能量上升平稳,低能级频次占主导地位,灾害危险性较弱;孕育后期AE能量大幅度增加,累计AE能量上升加快,高能级频次占主导地位,灾害危险性增加(图29)。
理论和模拟试验结果表明,在深部非均匀应力场的作用下,使得井巷围岩产生大变形破坏。现场实际工程支护破坏情况表明,传统PR(Poisson’s Ratio)锚杆锚索支护材料由于延伸率低,无法适应深部建井岩体的大变形,从而造成破断、失效,导致围岩垮塌以及人员伤害。为此,发明了具有高恒阻、大延伸率的NPR(Negative Poisson’s Ratio)锚杆锚索新型支护材料,并形成了配套深部井巷围岩大变形控制技术。
图24 多面卸载应变岩爆实验
Fig.24 Strain rock burst under multi-sided unloading
图25 不同断面形状井筒/巷道冲击岩爆实验
Fig.25 Impact rock burst in different cross-section of well or roadway
图26 不同断面形状井筒/巷道冲击岩爆实验声发射特征
Fig.26 AE characteristics of Impact rock burst in different cross-section of well or roadway
图27 深部矿建井复合灾害试验系统
Fig.27 Compound disaster test system for deep mine construction
图28 复合灾害孕育过程声发射能量演化特征
Fig.28 Characteristics of AE energy evolution in the process of compound disasters
图29 复合灾害孕育阶段瓦斯压力与能级频次间关系
Fig.29 Relationship between gas pressure and energy level frequency during the incubation stage of compound disasters
图30 宏观结构NPR杆/索新材料
Fig.30 New bolt & anchor with NPR structure
图31 NPR锚杆锚索拉伸特性曲线
Fig.31 Tensile characteristic curve of NPR bolt & Anchor
图32 拉伸断口形态对比
Fig.32 Comparison of tensile fracture morphology
图33 滞回耗能曲线对比
Fig.33 Comparison of hysteretic energy consumption curves
图34 霍普金森高速冲击曲线对比
Fig.34 Comparison of Hopkinson high speed impact curves
2.1.1 宏观结构NPR锚杆锚索
宏观结构NPR锚杆锚索材料如图30所示。该种材料将传统锚杆锚索材料屈服强度的90%确定为恒阻值,通过设置在传统PR锚杆锚索材料尾端的恒阻装置在拉伸过程中产生的NPR结构效应(受拉时发生恒阻大变形颈胀现象),实现恒定阻力下拉而不断的材料变形目标[43]。
大量室内测试结果表明[44-46],宏观结构NPR锚杆锚索具有高恒阻、大行程的力学特性和能量吸收特性,其恒阻值分别为350,500 kN,运行长度1 000 mm,且能够承受多次冲击而不断。
2.1.2 微观NPR锚杆锚索
通过创新冶炼添加剂配方及加工工艺[47-50],发明了微观NPR锚杆钢,并实现了微观NPR锚杆锚索钢新材料的工业化生产。
室内实验结果表明,NPR钢具有高强、均匀拉伸、无颈缩特性(图31),抗拉强度1 000~1 110 MPa,屈服强度900~950 MPa,延伸率达到25%~30%,且反复弯曲以及180°弯曲无裂纹;其滞回耗能是PR钢(Q235)的7~8倍(图32),且在高速冲击下表现为恒阻大变形及无颈缩特性(图33)。
NPR锚杆锚索新材料已被列入加拿大岩爆支护手册,著名的国际岩爆力学专家Peter K.Kaiser 教授评价[51],NPR锚杆、索具有高恒阻、大行程拉伸特性,较国际上其他产品具有超常的能量吸收能力。NPR锚杆锚索为深部非均压建井模式初次支护围岩大变形控制提供了有效的新材料。
基于深部“非均压建井”模式,提出了以高预应力NPR锚网索为主体的深部井巷围岩应力补偿支护技术。实践表明,要想成功实现深部井巷围岩的稳定性控制,必须对开挖后的围岩施加尽可能高的预应力,从而最大限度恢复围岩强度,实现支护-围岩共同作用。然而,受制于延伸率的限制,高预应力的施加势必带来传统支护材料适应围岩变形能力的极大减小,因此,传统锚杆锚索材料难以控制深部井巷围岩的大变形破坏。NPR锚杆锚索支护新材料,其高恒阻、大延伸率独特力学特性,使得井巷工程围岩开挖后,可以施加高预应力,从而将自由面岩体由于开挖而卸载的应力得到补偿,使充分利用围岩强度成为可能。
据此,提出了井筒马头门NPR锚网索+立体桁架支护技术,以及深井泵房吸水井集约化+NPR锚网索支护技术,并成功应用于铁法大强煤矿、兖州万福煤矿等千米深井井巷支护工程[52-56]。
以往国内外基岩段外壁设计主要采用类比法,根据岩体分类估算外壁的厚度与强度,设计凭经验、无理论指导。含水围岩中,外壁的外荷载由孔隙水压和岩石压力构成,目前对于2者的取值方法还没有统一的认识;而延用表土冻结法凿井理论设计冻结基岩段外壁时,由于未考虑岩层的自承载力以及初始地应力场不均匀性,外壁结构随冻结深度增大越来越不合理。为此,基于径向开挖卸载工况,首次建立初始不均匀地应力场中外壁-基岩冻结壁-含水围岩相互作用力学模型并求得了解析解;探明了外壁的外荷载随各影响因素(初始地应力、井壁参数、冻结壁和含水围岩参数、掘砌半径比等)的变化规律,研究了不同施工阶段、不同参数取值对外壁受力的影响,提出了不均匀岩层地应力场条件下考虑了岩层自承载能力的外壁设计方法[57-60],实际工程应用表明,可使外壁厚度减薄近30%。
针对千米深井无符合自动化、智能化趋势的井壁高效支护工艺装备的问题,成功研制了适用于井壁3D打印的混凝土支护材料,以及笛卡尔坐标系、柱坐标系下的井壁模型3D打印系统。在室内成功打印外直径360 mm、高1 000 mm的C60混凝土模型井壁,井壁承载能力与抗渗性能优异,11.4 MPa(超过预定目标10 MPa)外水压下不渗漏[61-63]。
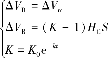
深部复杂的地质力学环境,使得传统建井模式出现留设煤柱资源浪费、井巷掘进量大、生产成本高、高应力环境大变形灾害多发等重大工程问题,严重制约我国深部煤炭资源安全高效开采。为此,基于无煤柱自成巷“切顶短臂梁”理论[64],构建了采矿损伤不变量的采矿工程模型(图35),建立了切顶短臂梁顶板结构力学模型以及垮落岩体碎胀函数和碎胀控制方程:

(11)
式中,K1为沉降损伤系数;K2为裂隙损伤系数;K3为顶板垮落岩体碎胀系数;ΔVS为地表沉降体积;ΔVC为垮落引起的顶板岩层裂隙体积;ΔVB为顶板垮落岩体的碎胀体积;ΔVm为采矿体积。
图35 采矿损伤不变量的采矿工程模型
Fig.35 Mining engineering model based on mining damage invariant
切顶卸压以后,得到
![]()
(12)

(13)
式中,K为顶板垮落岩体碎胀系数;K0为顶板垮落岩体初始碎胀系数;HC为顶板切缝高度;S为开采面积;k为拟合系数;t为时间。
即方程由式(11)的无解状态变为式(12)和式(13)的有解状态,区别于传统长壁开采121工法的无解状态,N00工法使人们在理论上有了更清晰和深刻的认识。
图36 深部煤矿N00矿井建设开拓布局设计
Fig.36 Layout design of N00 mine construction and development in deep coal mine
在此基础上,提出了深部无煤柱自成巷N00矿井建设新模式[65-66],从根本上改变长壁开采技术工艺体系和装备系统,通过采留一体化,实现工作面开采无需掘进巷道、无煤柱留设的新型矿井建设布局(图36),N00矿井建井利用工作面采煤留出运输系统、通风系统,取消了开拓大巷、准备巷道、回采巷道掘进。同时,取消了井底水仓和变电所,实现了井底水仓和变电所地面设计,大幅简化了矿井地下工程建设,缩短了建井时间和投资。
随着经济的发展,浅部资源的日益枯竭,全球资源的开采范围逐渐向深部转移,我国“十四五”规划明确将深地资源开采列为具有前瞻性、战略性的重大科技项目,它是强化国家战略科技力量的重要组成部分。近年来,全球开采深度超千米的深井数量不断增加,未来几年内,将有大批矿井进入1 500~2 000 m的开采深度。然而,深地环境中的“三高一复杂”(高地应力、高地温、高渗透压以及复杂的地质力学环境)引发的岩石力学问题依然是深井建设过程中面临的严峻挑战。因此,针对这一问题,本项目基于深部“非均压建井”新模式,建立了深部不同岩层结构下的井筒力学模型,从微观、细观、宏观层面分析了深部建井岩体的大变形力学特性及其致灾机理,研发了具有高恒阻、大延伸率的NPR锚杆锚索及其配套支护技术,提出了无煤柱自成巷N00建井新模式,并在千米深井进行了工程示范,为深部资源开发提供了理论与技术储备。
致谢 感谢“煤矿深井建设与提升基础理论及关键技术”项目深部建井方向课题负责人孙晓明教授、杨维好教授,课题骨干宫伟力教授、张俊文教授、李桂臣教授、唐巨鹏教授、杨军教授、刘冬桥副教授、张娜副研究员、赵健副教授、杨华博士、张弛博士以及项目所有参研人员的参与和支持。
[1] 谢和平,彭苏萍,何满潮.深部开采基础理论与工程实践[M].北京:科学出版社,2005:1-35.
[2] 何满潮,钱七虎.深部岩体力学基础[M].北京:科学出版社,2010:16-21.
[3] 何满潮,谢和平,彭苏萍,等.深部开采岩体力学研究[J].岩石力学与工程学报,2005,24(16):2803-2813.
HE Manchao,XIE Heping,PENG Suping,et al.Study on rock mechanics in deep mining engineering[J].Chinese Journal of Rock Mechanics and Engineering,2005,24(16):2803-2813.
[4] 周晓敏.磁西矿超深井筒原岩地应力研究[J].岩土力学,2015,36(6):1761-1768.
ZHOU Xiaomin.Study on the in-situ stress of the ultra-deep shaft in Cixi Mine[J].Rock and Soil Mechanics,2015,36(6):1761-1768.
[5] 杨维好,崔广心,周国庆,等.特殊地层条件下井壁破裂机理与防冶技术的研究(之一)[J].中国矿业大学学报,1996,25(4):1-5.
YANG Weihao,CUI Guangxin,ZHOU Guoqing,et al.Research on shaft wall rupture mechanism and prevention technology under special stratum conditions (Part 1)[J].Journal of China University of Mining & Technology,1996,25(4):1-5.
[6] 王渭明.千米立井井壁应力分析及设计问题探讨[J].煤炭学报,1993,18(5):63-72.
WANG Weiming.Stress analysis and design problems of the shaft wall of a kilometer vertical shaft[J].Journal of China Coal Society,1993,18(5):63-72.
[7] SYD S Peng,李化敏,周英,等.神东和准格尔矿区岩层控制研究[M].北京:科学出版社,2015.
[8] LI Jun,TANG Shuheng,ZHANG Songhang,et al.Characterization of unconventional reservoirs and continuous accumulations of natural gas in the Carboniferous-Permian strata,mid-eastern Qinshui basin,China[J].Journal of Natural Gas Science & Engineering,2018,49:298-316.
[9] ZHANG Jiang,WEN Xueze,CAO Jianling,et al.Surface creep and slip-behavior segmentation along the north western Xianshuihe fault zone of southwestern China determined from decades of fault-crossing short-baseline and short-level surveys[J].Tectonophysis,2018,722:356-372.
[10] TIMOSHENKO S,GOODIER J N.Theoty of elasticity[M].New York:Mcgaraw-Hill Book Company,Inc.,1951.
[11] 郑雨天.岩石力学弹塑性理论基础[M].北京:煤炭工业出版社,1988.
[12] 吕邦国,宫伟力,范晋琰.深部立井井筒三维力学模型及解析解[A].China Rock 2018—“一带一路”论文集[C].北京:2018,1-24.
LÜ Bangguo,GONG Weili,FAN Jinyan.Threeimensional mechanical model and analytical solution of deep shaft shaft[A].China Rock 2018—Proceedings of “One Belt One Road”[C].Beijing:2018,1-24.
[13] HE Manchao,FANG Zhijie,ZHANG Ping.Atomic and electronic structures of montmorillonite in soft rock[J].Chinese Physics B,2009,18(7):2933-2937.
[14] ZHAO Jian,GAO Wei,QIN Xinzhan,et al.First-principles study on adsorption behavior of as on the kaolinite (001) and (001-) surfaces[J].Adsorption,2020,26(3):443-452.
[15] HE Manchao,ZHAO Jian.First-principles study of atomic and electronic structures of kaolinite in soft rock[J].Chinese Physics B,2012,21(3):036825.
[16] ZHAO Jian,QIN Xinzhan,WANG Jiamin,et al.Effect of Mg(II) and Na(I) doping on the electronic structure and mechanical properties of Kaolinite[J].Minerals,2020,10(4):368.
[17] QIN Xinzhan,ZHAO Jian,WANG Jiamin,et al.Atomic structure,electronic and mechanical properties of pyrophyllite under pressure:A first-principles study[J].Minerals,2020,10(9):778.
[18] ZHAO Jian,WANG Jiamin,QIN Xinzhan,et al.An ab-initio study of H2O adsorption on the calcite (104) surface with different coverages[J].Solid State Communications,2020,313:113892.
[19] ZHAO Jian,GAO Wei,TAO Zhigang,et al.Investigation using density function theory,of coverage of the kaolinite (001) surface during hydrogen adsorption[J].Clay Minerals,2018,53:393-402.
[20] ZHAO Jian,HE Manchao,HU Xiangxing,et al.Density functional theory investigation of carbon monoxide adsorption on the kaolinite (001) surface[J].Chinese Physics B,2017,26:079217.
[21] HE Manchao,ZHAO Jian.Adsorption,diffusion,and dissociation of H2O on kaolinite(001):A density functional study[J].Chinese Physics Letters,2012,29(3):036801.
[22] ZHAO Jian,GAO Wei,TAO Zhigang,et al.First-principles calculations of methane adsorption at different coverage on the kaolinite (001) surface[J].Materials Today Communications,2019,18:199-205.
[23] HE Manchao,ZHAO Jian.Effects of Mg (II),Ca (II),and Fe (II) doping on the Kaolinite(001) surface with H2O adsorption[J].Clays and Clay Minerals,2012,60(3):330-337.
[24] HE Manchao,FANG Zhijie,ZHANG Ping.Theoretical studies on the defects of kaolinite in clays[J].Chinese Physics Letters,2009,26(5):059101.
[25] HE Manchao,ZHAO Jian,FANG Zhijie,et al.First-principles study of isomorphic (‘dual-defect’) substitution in kaolinite[J].Clays and Clay Minerals,2012,59(5):501-506.
[26] YANG Hua,HE Manchao,LU Chunsheng,et al.Deformation and failure processes of kaolinite under tension:Insights from molecular dynamics simulations[J].Science China Physics,Mechanics & Astronomy,2019,62(6):062412.
[27] YANG Hua,HAN Zongfang,HU Jie,et al.Defect and temperature effects on mechanical propereties of kaolinite:A molecular dynamics study[J].Clay Minerals,2019,54(2):153-159.
[28] HAN Zongfang,YANG Hua,HE Manchao.A molecular dynamics study on the structural and mechanical properties of hydrated kaolinite system under tension[J].Materials Research Express,2019,6:0850c3.
[29] ZHANG Na,HE Manchao,ZHANG Bo,et al.Pore structure characteristics and permeability of deep sedimentary rocks determined by mercury intrusion porosimetry[J].Journal of Earth Science,2016,27(4):670-676.
[30] ZHANG Na,ZHAO Fangfang,GUO Pingye,et al.Nanoscale pore structure characterization and permeability of mudrocks and fine-grained sandstones in coal reservoirs by scanning electron microscopy,mercury intrusion porosimetry,and low-field nuclear magnetic resonance[J].Geofluids,2018(9):1-20.
[31] 张娜,王水兵,何枭,等.深部煤系页岩吸水及软化效应微观机理研究[J].矿业科学学报,2019,4(4):308-317.
ZHANG Na,WANG Shuibing,HE Xiao,et al.Study on micromechhanism of water absorption and its softening effect on shale rock in deep coal measures[J].Journal of Mining Science and Technology,2019,4(4):308-317.
[32] 张娜,王水兵,严成钢,等.基于核磁共振技术的泥岩水化损伤孔隙结构演化试验[J].煤炭学报,2019,44(S1):139-146.
ZHANG Na,WANG Shuibing,YAN Chenggang,et al.Pore structure evolution of hydration damage of mudstone based on NMR technology[J].Journal of China Coal Society,2019,44(S1):139-146.
[33] 张俊文,宋治祥,范文兵,等.真三轴条件下砂岩渐进破坏力学行为试验研究[J].煤炭学报,2019,44(9):2700-2709.
ZHANG Junwen,SONG Zhixiang,FAN Wenbing,et al.Experimental investigation on progressive damage mechanical behavior of sandstone under true triaxial condition[J].Journal of China Coal Society,2019,44(9):2700-2709.
[34] 张俊文,宋治祥.深部砂岩三轴加卸载力学响应及其破坏特征[J].采矿与安全工程学报,2020,37(2):409-418,428.
ZHANG Junwen,SONG Zhixiang.Mechanical response and failure characteristics of deep sandstone under triaxial loading and unloading[J].Journal of Mining & Safety Engineering,2020,37(2):409-418,428.
[35] ZHANG Junwen,SONG Zhixiang,WANG Shanyong.Experimental investigation on permeability and energy evolution characteristics of deep sandstone along three-stage loading path[J].Bulletin of Engineering Geology and the Environment,2021,80(2):1571-1584.
[36] 张俊文,范文兵,宋治祥,等.真三轴不同应力路径下深部砂岩力学特性研究[J].中国矿业大学学报,2021,50(1):106-114.
ZHANG Junwen,FAN Wenbing,SONG Zhixiang,et al.Study on mechanical characteristics of deep sandstone under different stress paths of true triaxial[J].Journal of China University of Mining & Technology,2021,50(1):106-114.
[37] SUN Xiaoming,XU Huichen,HE Manchao,et al.Thermography analyses of rock fracture due to excavation and overloading for tunnel in 30° inclined strata[J].Science China-Technological Sciences,2017,60(6):911-923.
[38] SUN Xiaoming,CHEN Feng,MIAO Chengyu,et al.Physical modeling of deformation failure mechanism of surrounding rocks for the deep-buried tunnel in soft rock strata during the excavation[J].Tunnelling and Underground Space Technology,2018,74:247-261.
[39] HE M C,REN F Q,LIU D Q,et al.Experimental study on strain burst characteristics of sandstone under true triaxial loading and double faces unloading in one direction[J].Rock Mechanics and Rock Engineering,2020(6):1-23.
[40] HE M C,LI J Y,LIU D Q,et al.A novel true triaxial apparatus for simulating strain bursts under high stress[J].Rock Mechanics and Rock Engineering,2020(54):759-775.
[41] 王炀.含不同长短轴比椭圆形洞室的冲击岩爆实验研究[D].北京:中国矿业大学(北京),2020.
WANG Yang.Research on impact rock burst in different axis ratios of elliptic chamber[D].Beijing:China University of Mining & Technology(Beijing),2020.
[42] 唐巨鹏,郝娜,潘一山,等.基于声发射能量分析的煤与瓦斯突出前兆特征试验研究[J].岩石力学与工程学报,2021,40(1):31-42.
TANG Jupeng,HAO Na,PAN Yishan,et al.Experimental study on precursor characteristics of coal and gas outbursts based on acoustic emission energy analysis[J].Chinese Journal of Rock Mechanics and Engineering,2021,40(1):31-42.
[43] HE Manchao,GONG Weili,WANG Jiong,et al.Development of a novel energy-absorbing bolt with extraordinarily large elongation and constant resistance[J].International Journal of Rock Mechanics and Mining Sciences,2014,67:29-42.
[44] HE Manchao,LI Chen,GONG Weili,et al.Dynamic tests for a Constant-Resistance-Large-Deformation bolt using a modified SHTB system[J].Tunnelling and Underground Space Technology,2017,64:103-116.
[45] HAO Liangjun,GONG Weili,HE Manchao,et al.Dynamic model and mechanical properties of the two parallel-connected CRLD bolts verified with the impact tensile test[J].Mathematical Problems in Engineering,2018,2018:1-17.
[46] SUN Xiaoming,ZHANG Yong,WANG Dong,et al.Mechanical properties and supporting effect of CRLD bolts under static pull test conditions[J].International Journal of Minerals,Metallurgy and Materials,2017,24(1):1-9.
[47] 何满潮,郭洪燕,夏敏.NPR无磁性锚杆钢材料及其生产方法[P].中国专利:ZL201810504225.9,2019-04-23.
[48] 何满潮,郭洪燕,夏敏,等.NPR锚杆钢材料及其生产方法[P].中国专利:ZL201810503966.5,2020-06-19.
[49] 何满潮,夏敏,郭洪燕,等.NPR钢筋棒材的加工工艺[P].中国专利:ZL201910775081.5,2020-11-06.
[50] 何满潮,夏敏,郭洪燕,等.NPR钢筋盘圆的加工工艺[P].中国专利:ZL 201910867335.6,2020-11-06.
[51] CAI M,KAISER P K Rockburst support reference book—Volume 1:Rockburst phenomenon and support characteristics[M].Laurentian:Laurentian University,2018.
[52] 孙晓明,王冬,杨军,等.新安煤矿回风石门软岩巷道恒阻大变形耦合支护对策研究[J].岩石力学与工程学报,2014,33(S2):4129-4138.
SUN Xiaoming,WANG Dong,YANG Jun,et al.Research on constant resistance and large deformation coupling support of return air course soft rock roadway in Xin’an Coal Mine[J].Chinese Journal of Rock Mechanics and Engineering,2014,33(S2):4129-4138.
[53] 郭志飚,曹天培,孙晓明,等.深部软岩井底车场巷道变形破坏机理及耦合控制对策研究[J].采矿与安全工程学报,2017,34(5):968-971.
GUO Zhibiao,CAO Tianpei,SUN Xiaoming,et al.Deformation mechanism of deep soft rock roadway in shaft bottom and its coupling control strategy[J].Journal of Mining & Safety Engineering,2017,34(5):968-971.
[54] YANG Xiaojie,WANG Eryu,WANG Yajun,et al.A study of the large deformation mechanism and control techniques for deep soft rock roadways[J].Sustainability,2018,10(4):1100.
[55] YANG Xiaojie,HU Chaowen,LIANG Jianhui,et al.A case study on the control of large deformations in a roadway located in the du’erping coal mine in China[J].Advances in Materials Science and Engineering,2019(3):1-13.
[56] 张勇,孙晓明,郑有雷,等.深部回采巷道防冲释能耦合支护技术及应用[J].岩石力学与工程学报,2019,38(9):1860-1869.
ZHANG Yong,SUN Xiaoming,ZHENG Youlei,et al.An anti-punching and energy-releasing coupling support technology in deep mining roadway and its application[J].Chinese Journal of Rock Mechanics and Engineering,2019,38(9):1860-1869.
[57] 杨维好,杜子博,杨志江,等.基于与围岩相互作用的冻结壁塑性设计理论[J].岩土工程学报,2013,35(10):1857-1862.
YANG Weihao,DU Zibo,YANG Zhijiang,et al.Plastic design theory of frozen soil wall based on interaction between frozen soil wall and surrounding rock[J].Chinese Journal of Geotechnical Engineering,2013,35(10):1857-1862.
[58] 杨维好,杨志江,柏东良.基于与围岩相互作用的冻结壁弹塑性设计理论[J].岩土工程学报,2013,35(1):175-180.
YANG Weihao,YANG Zhijiang,BAI Dongliang,et al.Elastic-plastic design theory of frozen soil wall based on interaction between frozen wall and surrounding rock[J].Chinese Journal of Geotechnical Engineering,2013,35(1):175-180.
[59] 杨维好,杨志江,韩涛,等.基于与围岩相互作用的冻结壁弹性设计理论[J].岩土工程学报,2012,34(3):516-519.
YANG Weihao,YANG Zhijiang,HAN Tao,et al.Elastic design theory of frozen soil wall based on interaction between frozen soil wall and surrounding rock[J].Chinese Journal of Geotechnical Engineering,2012,34(3):516-519.
[60] 张驰,韩涛,杨志江,等.凿井期基岩冻结壁对井壁的径向荷载及其影响因素[J].采矿与安全工程学报,2017,34(5):972-980.
ZHANG Chi,HAN Tao,YANG Zhijiang,et al.Study on the radial load of bedrock frozen wall on shaft lining during freeze sinking and its influencing factors[J].Journal of Mining and Safety Engineering,2017,34(5):972-980.
[61] 白永刚.立井混凝土井壁3D打印技术室内试验研究[D].徐州:中国矿业大学,2018.
BAI Yonggang.Laboratory study on 3D printing technology for concrete vertical shaft lining[D].Xuzhou:China University of Mining & Technology,2018.
[62] 赵仁文.立井井壁3D打印混凝土配方优化及其硬化性能研究[D].徐州:中国矿业大学,2019.
ZHAO Renwen.Study on optimizing formula of 3D printing concrete and its hardening performance for vertical shaft lining[D].Xuzhou:China University of Mining & Technology,2019.
[63] 王乐笑.立井井壁3D打印材料研制[D].徐州:中国矿业大学,2018.
WANG Lexiao.Development of 3D printing support material for shaft lining[D].Xuzhou:China University of Mining & Technology,2018.
[64] 何满潮.深部软岩工程的研究进展与挑战[J].煤炭学报,2014,39(8):1409-1417.
HE Manchao.Progress and challenges of soft rock engineering in depth[J].Journal of China Coal Society,2014,39(8):1409-1417.
[65] 何满潮,高玉兵,付强,等.全矿区无煤柱留设无巷道掘进采煤方法[P].中国专利:ZL201910616056.2,2019-11-05.
[66] 何满潮,王亚军,李干.深部建井开拓布局方法[P].中国专利:ZL201910628681.9,2020-11-24.
HE Manchao.Research progress of deep shaft construction mechanics[J].Journal of China Coal Society,2021,46(3):726-746.