遗留煤柱群在我国中西部的许多矿区中密集分布[1-2]。采空区遗留煤柱群留设的初衷是为了承担覆岩载荷,且保障地下采场的长期稳定性[3]。然而,在覆岩应力、扰动载荷、自然风化和积水浸蚀等耦合影响下,局部区域的遗留煤柱会发生由表及里的破裂,使得承载能力逐渐减弱,发生早期失稳,并可能引发煤柱群体系的链式破坏或“多米诺骨牌”失稳,导致覆岩垮落、地表塌陷、动载矿压、涌水溃砂、瓦斯外逸、水体下泄等动压灾害[4-9]。采空区遗留煤柱群的链式失稳表现出明显联动致灾效应[5,7-9]。
部分充填的充填量和充填范围仅占采出空间的一部分,是控制采动损伤破坏最有效的技术方法之一[2,5,10]。
根据采动空隙在纵向空间的演化差异性,许家林等基于关键层理论提出了长壁墩柱同步充填技术方法、短壁垮落带嗣后充填技术方法和覆岩隔离注浆充填技术方法等部分充填方法,从而依赖关键层结构、充填体或隔离煤柱来联合控制地表沉陷[10-13]。具体包括:① 长壁条带/墩柱同步充填技术方法是在工作面每推进一定距离后,在后方采空区空间内进行填充,待充填体凝固后形成若干独立的充填条带群或墩柱群,从而共同支撑覆岩载荷,并有效控制地表沉陷。② 短壁垮落带嗣后充填技术方法首先在隔离煤柱之间的短壁工作面垮落区的空隙内注浆充填;待浆体与垮落矸石形成的组合充填体达到一定强度后,回采短壁隔离煤柱,并根据两侧组合充填体的稳定性有选择地对煤柱采出后的垮落区实施注浆充填(或不充填),形成多个间隔的浆体与垮落矸石组合充填体,从而支撑上覆岩层,并有效控制地表沉陷。③ 覆岩隔离注浆充填技术方法是通过地面钻孔对采动覆岩高压注浆充填,在工作面中部形成一定宽度的压实支撑区,利用压实区与隔离煤柱联合控制覆岩关键层的稳定性。
针对煤炭资源开采存在的地表塌陷和潜水流失等技术难题,黄庆享[14]、胡振琪[15]和孙建[16]等提出了条带充填的开采方法,通过在长壁开采过程中由工作面中部向采空区充填数个条带,来支撑覆岩载荷,保障隔水岩组稳定性,实现保水采煤,并实现沉陷地复垦。马立强等[17-18]基于旺格维利采煤法和巷柱式充填采煤方法的原理和优点,提出了壁式连采连充“采充并行”的保水采煤方法,解决了充填和采煤作业协调困难的技术难题。
针对“三下”呆滞煤炭资源开采的技术问题,张吉雄[19]、余伟健[20]、郭惟嘉[21]、陈绍杰[22]、张新国[23]和孙希奎[24]等提出了矸石充填、膏体充填或高水充填置换呆滞煤炭资源的技术方法,通过采空区“充填体+承重岩层”来共同控制覆岩移动。
除此之外,许多学者还提出了“采-充-留”协调开采[25]、条采留巷充填法[26]、结构充填开采[27]、功能性充填[28]等部分充填的方法,来减轻矿压显现,并支撑覆岩载荷。
上述研究成果是保障中西部地区煤炭资源安全高效开采的重要支撑[10-28]。然而,由于充填材料不足和充填成本较高等因素的影响,部分充填岩层控制技术尚未广泛应用于采空区遗留煤柱群的链式失稳防控中。因此,非常有必要借鉴部分充填的技术思路提出一种适应于采空区遗留煤柱群链式失稳防控的技术方法。
运用采空区遗留煤柱群链式失稳的关键柱理论,笔者研发了关键柱柱旁充填岩层控制的技术方法,揭示了关键柱柱旁充填岩层控制的核心机理,确定了关键柱柱旁充填岩层控制的技术参数,评价了关键柱柱旁充填岩层控制的效果,并对其潜在的应用范围与领域进行了展望。
针对采空区遗留煤柱群链式失稳表现出明显联动致灾效应的技术难题,基于煤炭资源科学开采理念[1],笔者提出了遗留煤柱群链式失稳的关键柱理论——唯有“关键柱”发生局部失稳,邻近遗留煤柱的失稳破坏才可能被活化,遗留煤柱群的整体失稳才可能发生;关键柱是维护遗留煤柱群体系稳定性的“牛鼻子”。遗留煤柱群链式失稳的防控需要从源头出发首先维护关键柱的局部稳定性,进而来保障遗留煤柱群体系的长期稳定性[3,5]。因此,笔者研发了关键柱柱旁充填岩层控制的技术方法[29-30]。关键柱柱旁充填示意图如图1所示,图1中,α′为柱旁充填前方钻孔的垂直夹角;β′为柱旁充填后方钻孔的垂直夹角;L′为柱旁充填钻孔的间距;h′为柱旁充填钻孔的长度。其岩层控制的实现途径为:在采空区煤柱群体系的关键柱旁边实施柱旁双侧全部充填、柱旁双侧部分充填、柱旁单侧全部充填或柱旁单侧部分充填等工艺,使得采空区中形成的柱旁充填体不仅能对关键柱起到侧护作用,还能形成“关键柱-柱旁充填体”的协同承载结构体,进而实现关键柱稳定性的强化,从源头遏制住采空区遗留煤柱群的链式失稳,实现采场岩层移动的有效控制,并保障煤炭资源的安全高效绿色开采。
图1 关键柱柱旁充填示意
Fig.1 Schematic diagram of key pillar-side backfilling
遗留煤柱可视为采空区自有承载结构体,柱旁充填体可以视为采空区新生承载结构体。关键柱柱旁充填岩层控制技术方法突破了只利用采空区遗留煤柱承载覆岩的传统理念。借鉴系统学基本原理[31],关键柱柱旁充填在采空区关键区域形成了“自有承载结构体+新生承载结构体”的复合结构体,实现了2者的协同控制与有机统一,可以解决遗留煤柱群链式失稳的技术难题,开辟了煤矿岩层控制的新途径。
关键柱柱旁充填属于充填开采的一种。具体地,关键柱柱旁充填属于部分充填开采的范畴[10-13],可以解决全部充填开采所面临的原材料供给不足和充填成本较高的瓶颈难题。关键柱柱旁充填直接保护的对象是采空区煤柱群体系中的关键柱。关键柱柱旁充填最终保护的对象为采场上覆岩层、地表表土层、地面建(构)筑物、交通要道和水体等。
采空区遗留煤柱群的应力环境、物质属性、结构特征等是实施关键柱柱旁充填必须考虑的地质背景。采掘扰动是实施关键柱柱旁充填必须考虑的技术背景。关键柱柱旁充填岩层控制技术方法的实施主要包括以下步骤:
(1)步骤1。根据待研究区域采空区煤柱群的赋存状况,运用关键柱判别的技术方法与流程,准确判别出采空区遗留煤柱群中关键柱的位置。
(2)步骤2。在地面或者邻近蹬空煤层选择合理的柱旁充填位置。需要指出,为了减小后续充填钻孔的长度,该位置通常位于关键柱上方的蹬空煤层或地面,其与关键柱位置的水平错距为5~10 m。
(3)步骤3。从步骤2选取的柱旁充填位置自上向下钻孔,布置关键柱柱旁充填的输送管路。
(4)步骤4。选取合适的充填材料,配制得到柱旁充填膏(浆)体,在充填泵的作用下沿步骤3的输送管路将制备好的膏(浆)体均匀注入关键柱邻近的柱采区域中,使其凝固硬化对采空区关键柱产生侧护作用。
(5)步骤5。重新判别柱旁充填后采空区中“关键柱”的位置,并根据其诱发失稳的可能性,动态实施柱旁充填的增稳技术措施,实现采空区遗留煤柱群系统稳定性的整体强化与提升。
关键柱柱旁充填岩层控制的关键科学问题与技术问题主要有:① 揭示关键柱柱旁充填岩层控制的核心机理;② 确定关键柱柱旁充填岩层控制的技术参数;③ 评价关键柱柱旁充填岩层控制的效果。
柱旁充填前,采空区中的主要承载体为遗留煤柱。柱旁充填后,采空区中的主要承载体会发生转变,即采场原有遗留煤柱与新生柱旁充填体会形成新的耦合承载体系,共同来承担上覆岩层载荷和采掘扰动载荷,如图2,3所示,图2(a)中,R为柱旁充填前遗留煤柱应力最大扩散半径,m;图2(b)中,R′为柱旁充填后遗留煤柱-柱旁充填体耦合承载体应力最大扩散半径,m;图3中,wm为柱采区域的宽度,m。
换而言之,关键柱柱旁充填前,采空区遗留煤柱承担了上覆岩层载荷和采掘扰动载荷。通过采取稳定性强化措施之后,采空区新生柱旁充填体会分担部分载荷,进而减少了关键柱所承担的载荷,弱化了关键柱应力集中程度,避免其发生早期局部失稳,并强化了遗留煤柱群体系的整体稳定性。
柱旁充填前,遗留煤柱群体系中独立个体所承担的载荷[32-33]为
![]()
(1)
式中,Sp为遗留煤柱个体所承担的载荷,MPa;γ为覆岩的平均容重,取25 kN/m3;H为遗留煤柱所处层位的埋深,m;e为柱式采空区的采出率,%;wp为遗留煤柱的宽度,m;L为遗留煤柱应力扩散的最大距离,m;SI为柱旁充填前应力最大扩散范围内受影响的遗留煤柱的总面积(图2(a)中灰色遗留煤柱区域的总面积),m2。
柱旁充填后,对于“关键柱-柱旁充填体”耦合承载体而言,其应力扩散最大范围的面积ST[34]为
ST=π(L+0.5wp+wb)2
(2)
式中,ST为“遗留煤柱-柱旁充填体”耦合承载体应力最大扩散范围的面积(图2(b)中蓝色圆圈区域的面积),m2;wb为柱旁充填体的宽度,m。
图2 柱旁充填前后的承载传播范围对比
Fig.2 Comparison of load propagation before and after back-filling along the key pillar
图3 关键柱柱旁充填前后承载示意
Fig.3 Schematic diagram of loading transferring before and after backfilling along the key pillar
基于此,“遗留煤柱-柱旁充填体”耦合承载体应力最大扩散范围内的采出率e′(图3)为
![]()
(3)
式中,S′I为柱旁充填后应力最大扩散范围内受影响的遗留煤柱的总面积(图2(b)中灰色遗留煤柱区域的总面积),m2。
需要指出的是,由于应力扩散影响区域内遗留煤柱的形态并不规则,其面积求解会有不小的难度。根据遗留煤柱群与柱旁充填体的分布剖面图,通过在Auto CAD软件中输入area面积命令及相应交点圈定操作等,可以求得柱旁充填前关键柱与柱旁充填后“关键柱-柱旁充填体”耦合承载体应力最大扩散范围内受影响的邻近遗留煤柱的总面积。
进一步地,柱旁充填后“遗留煤柱-柱旁充填体”耦合承载体所承担的载荷Spb为
![]()
(4)
关键柱柱旁充填的另外一个核心目的是使得柱旁新生的充填体能够对关键柱产生足够的侧向约束。一方面,柱旁充填体能够约束关键柱的横向变形,进而减缓关键柱的变形破坏;另一方面,柱旁充填体能够对关键柱产生一定的侧向约束力,进而提升其整体承载能力。本节以柱旁双侧充填为例来分析柱旁充填体对关键柱的侧向约束。柱旁双侧充填之后,采空区遗留煤柱的受力状态会由一维受力状态逐步转变为三维受力状态。
此时,根据莫尔库伦准则,三维受力状态下关键柱的极限抗压强度[35]为
![]()
(5)
式中,σp1为三维受力状态下关键柱的极限抗压强度,MPa;θ为关键柱的内摩擦角,(°);σp3为三维受力状态下关键柱所承受的横向约束力,MPa;C为关键柱的黏聚力,MPa。
该承载体系中关键柱所承担的载荷Sp为
![]()
(6)
当采空区中关键柱达到极限承载状态时,关键柱所承担的载荷Sp和极限抗压强度σp1满足
![]()
(7)
进一步地,可以推导出关键柱的极限侧向载荷为
![]()
(8)
柱旁充填体的侧向载荷作用下,采空区“关键柱”的受力状态是否会发生改变?本文采用PFC2D数值模拟软件分析了不同侧向载荷对采空区“关键柱”承载特性的影响。具体地,分别在关键柱两侧施加大小不同的侧向载荷,来分析不同约束状态下关键柱应力-应变曲线的演变,如图4所示。
图4 不同侧向载荷对关键柱承载特性的影响
Fig.4 Influence of different lateral loads on bearing characteristics of key coal pillar
由图4可以看出,当关键柱的侧限载荷为0时,关键柱承担的极限载荷为36.1 MPa,且峰后的承载力会随着应变的增大而瞬间减小,即表现出明显的应变软化承载特性。当关键柱侧限载荷>0时,关键柱的承载能力会有所增强,且侧向载荷越大,承载能力越强。同时,当垂向外在载荷达到关键柱自身的极限载荷时,遗留煤柱承担的载荷随着应变的增大仍然增强,即表现出显著的应变强化承载特性,且侧向载荷越大,应力强化的幅值越大。
综上,柱旁充填通过增加遗留煤柱的围压,使得关键柱的受力响应由“应变软化”转变为“应变强化”。柱旁充填前,采空区关键柱的“应变软化”行为会使得采场上覆岩层的载荷逐渐向最邻近遗留煤柱中转移与扩散,进而可能引发煤柱群体系的链式失稳。柱旁充填后,采空区关键柱的“应变强化”行为会承担更多的覆岩载荷或扰动载荷,延缓其自身的破裂进度,并减弱最邻近遗留煤柱群承担的载荷,从而规避采空区遗留煤柱群安全系数的“不均匀化”,保障长期稳定性。
柱旁充填之前,采空区“关键柱”长期受到积水浸蚀和自然风化等耦合影响,使得强度逐渐劣化,进而影响其长期稳定性[36-38]。具体地:
(1)积水浸蚀对采空区关键柱强度的劣化主要体现在:① 物理劣化。采空区形成以后,柱采区域的部分或整体空间中会积聚有矿井水,其会沿着遗留煤柱中的节理、孔隙、裂隙和裂缝等弱面逐渐向内渗透、浸湿,并减弱煤体颗粒之间的联系。同时,采空区积水还会激活遗留煤柱中胶结物质与煤体颗粒间的润滑现象,并软化遗留煤柱内部的胶结物质。在积水“浸湿-润滑-软化”的耦合影响下,采空区关键柱局部区域的体积会发生膨胀,其力学参数也会逐渐发生劣化。② 化学劣化。采空区积水中会存在一定浓度的
和Cl-等,其会随着矿井水的渗透逐渐向遗留煤柱内部扩散,进而发生侵蚀反应,逐渐改变遗留煤柱内部的矿物成分与结构组成,并弱化其自身的强度。③ 水压劣化。采空区中积水可能会存在一定程度的静水压力和动水压力,二者叠加作用下,遗留煤柱中会逐渐产生浮托效应、渗压效应、渗透效应和冲刷效应等,进而逐渐劣化其力学参数,并减弱其自身的承载能力。综上,采空区关键柱在物理劣化、化学劣化和水压劣化的交互影响下,会发生强度的劣化,进而逐渐削弱其支撑覆岩载荷和扰动载荷的能力。
(2)自然风化对采空区关键柱强度的劣化主要体现在:由于前期采动对采空区煤岩体的叠加破坏,临近煤层或工作面正常开采时,通风风流会流经老采空区损伤煤岩体之间的空隙,进而形成局部区域的漏风,会促进老采空区遗留煤柱(尤其是关键柱)的风化,甚至引发自然发火。老采空区与邻近采动区之间漏风通道越多,漏风程度就越大,遗留煤柱受自然风化的影响程度就也越大。老采空区关键柱在长期自然风化作用下,局部区域的煤体结构会发生损伤,使得其强度发生一定程度的折损,并弱化其整体稳定性。
柱旁充填之后,采空区中“关键柱”的周围会形成不同宽度的充填体,进而减少其外露面。这样,柱旁充填体就能减弱积水浸蚀和自然风化对采空区“关键柱”的长期劣化作用,从而预防“关键柱”的局部失稳,并遏制住遗留煤柱群的链式失稳。
基于“固废资源化”的基本思路,关键柱柱旁充填岩层控制时可以选用多种柱旁充填材料[39-40]。总体上包括两大类,如图5所示。
(1)返井固废充填材料:长期堆积在地表空间中容易造成环境污染的固体废弃物,且能用于井下采空区“关键柱”柱旁充填失稳防控材料。
具体地,通过将地面堆积的一种或多种固体废弃物除杂、破碎、筛分、搅拌和输送,依次返井充填在“关键柱”的单侧或双侧,进而实现采空区遗留煤柱群稳定性的强化。返井固废充填材料主要适用于强化采空区已有“关键柱”的稳定性。具体地,当老采空区遗留煤柱群存在链式失稳的风险时,需要首先判别出研究区域关键柱的位置,然后制备基于固废材料的充填体,并进行返井柱旁充填,实现关键柱稳定性的强化与遗留煤柱群链式失稳的防控。返井固废充填材料属于被动式失稳防控中选用的充填材料。地面大面积堆积的返井固废充填材料主要包括:煤矸石、粉煤灰、废弃混凝土、精选垃圾、黄土、泥沙、生物质材料、生物质灰渣材料、废弃碱渣、废弃赤泥、废弃塑料、废弃纤维和黄砂等。
图5 关键柱柱旁充填体材料选取及其适用条件
Fig.5 Selection and applicable condition of backfilling material along the key coal pillar
(2)原位固废充填材料:正常采动过程中,为了避免采空区中“关键柱”的形成,实现预留煤柱安全系数的均匀化,从而在采动空间内就地选用的柱旁充填失稳防控材料。
具体地,通过原位除杂、破碎、筛分、搅拌和输送,依次原位充填在“关键柱”的单侧或双侧,进而实现采动区预留煤柱稳定性的强化。原位固废充填材料主要适用于避免采空区中形成“关键柱”。具体地,“三下”呆滞煤炭资源柱式开采时,会留设有尺寸不一的煤柱。此时,可以在井下原位利用采空区矸石进行柱旁充填,进而避免形成关键柱,保障煤柱群体系的长期稳定性,并消除后续联动失稳的隐患。原位固废充填材料属于主动式失稳防控中选用的充填材料。井下就地可利用的原位固废充填材料主要是煤矸石。
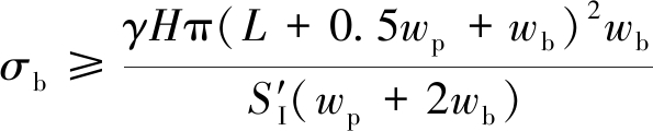
以柱旁双侧充填体为例,确定其抗压强度。根据前文2.1节的研究,采空区“关键柱-柱旁充填体”耦合承载体系所承担的总载荷,在不考虑邻近遗留煤柱对“关键柱”上覆岩层载荷的“分担”效应的基础上,采空区“关键柱-柱旁充填体”耦合承载体系所承担的总载荷可以认为全部由“关键柱-柱旁充填体”耦合承载体系所承担(最不利承担的情形)。在该耦合承载体系中,关键柱承担的载荷Sp和柱旁充填体承担的载荷Sb[3,5]分别为

(9)
笔者认为柱旁双侧充填体的极限抗压强度σb应该大于或等于其分担的载荷,即
σb≥Sb
(10)
也就是说,关键柱柱旁充填体的单轴抗压强度应当满足以下条件:
![]()
(11)
关键柱柱旁充填体的宽度也是岩层控制的关键技术参数之一。柱旁充填之前,采空区“关键柱”的两侧会形成屈服区。在失稳防控的时候,必须结合“关键柱”的屈服区,来确定柱旁充填体的宽度。采空区“关键柱”的屈服区宽度可以用公式(12)[41]表示:
![]()
(12)
式中,Yp为关键柱屈服区的宽度,m;Hp为关键柱的高度,m;dp为关键柱单一承载作用下的开采扰动因子,取1.5~2.5;θp为关键柱的内摩擦角,(°);σp为关键柱的极限抗压强度,MPa;Cp为关键柱的黏聚力,MPa;βp为关键柱屈服区与弹性核区界面处的侧压系数。
柱旁充填之后,采空区“关键柱-柱旁充填体”耦合承载体会形成新的屈服区,其宽度可以表示为
![]()
(13)
式中,Ypb为关键柱-柱旁充填体耦合承载体屈服区的宽度,m;Hpb为关键柱-柱旁充填体耦合承载体的高度,m;dpb为关键柱-柱旁充填体耦合承载作用下的开采扰动因子,取1.5~2.5;θpb为关键柱-柱旁充填体耦合承载体的内摩擦角,(°);σpb为关键柱-柱旁充填体耦合承载体的极限抗压强度,MPa;Cpb为关键柱-柱旁充填体耦合承载体的黏聚力,MPa;βpb为关键柱-柱旁充填体耦合承载屈服区与弹性核区界面处的侧压系数。
为了使得“柱旁充填体”能够真正起到强化采空区“关键柱”稳定性的作用,笔者认为:柱旁充填后,采空区“遗留煤柱-柱旁充填体”耦合承载体中屈服区的宽度不能扩展与延伸至“关键柱”的原始弹性核区内。也就是说,柱旁充填体的临界宽度Wb符合以下条件:
Wb+Yp=Ypb
(14)
将式(12)和式(13)分别代入式(14),可以得到:柱旁充填体的宽度应该满足下列要求:
![]()
(15)
柱旁充填体的形态多种多样,主要包括:矩形式柱旁充填体、梯式柱旁充填体、台阶式柱旁充填体和多级梯式柱旁充填体等[42-44]。下文将对4种不同形态的柱旁充填体进行详述。
(1)矩式柱旁充填体。此类柱旁充填体的正视图为矩形,因此命名为“矩式柱旁充填体”,如图6所示。矩式柱旁充填体可以位于关键柱的单侧,也可以同时位于关键柱的双侧。矩式柱旁充填体的垂高h与采空区“关键柱”的高度相等,宽度根据遗留煤柱的宽度和上覆岩层的厚度等共同确定。
图6 矩式柱旁充填体
Fig.6 Rectangular backfilling body along the key pillar
矩式柱旁充填体主要借助充填模板来构筑形成。此类充填模板主要由竖向模板组成,其材料由木质三合板钉制或者由钢质材料焊接形成,竖向模板的高度与矩式柱旁充填体的垂高h相等,其与遗留煤柱的距离与矩式柱旁充填体的底边宽度b相等。
(2)梯式柱旁充填体。此类柱旁充填体的正视图为梯形,因此命名为“梯式柱旁充填体”[42],如图7所示。梯式柱旁充填体可以位于关键柱的单侧,也可以同时位于关键柱的双侧。梯式柱旁充填体的垂高h与采空区“关键柱”的高度相等。梯式柱旁充填体的有效宽度根据遗留煤柱的宽度和上覆岩层的厚度等共同确定,且上边宽度a为下边宽度b的1/3,腰角α为20°~80°,腰长l根据垂高h和腰角α来确定,l=h/sin α。
图7 梯式柱旁充填体
Fig.7 Ladder backfilling body along the key pillar
梯式柱旁充填体主要借助充填模板来构筑形成。此类充填模板由斜侧模板组成,其与底板岩层的夹角为20°~80°,材料由木质三合板钉制或者由钢质材料焊接形成,斜侧模板的斜长与梯式柱旁充填体的腰长l相等。
(3)台阶式柱旁充填体。此类柱旁充填体的正视图为台阶状,因此命名为“台阶式柱旁充填体”[43],如图8所示。台阶式柱旁充填体可以位于关键柱的单侧,也可以同时位于关键柱的双侧。台阶式柱旁充填体的层数为3~5。台阶式柱旁充填体的有效宽度根据遗留煤柱的宽度和上覆岩层的厚度等共同确定,各台阶的宽度自下而上依次递减,最上层的宽度为最下层宽度的1/3。台阶式柱旁充填体的总高度h与采空区“关键柱”的高度相等,各台阶的高度自下而上依次减小,最上层的垂高h3为最下层的垂高h1的1/2。
图8 台阶式柱旁充填体
Fig.8 Stepped backfilling body along the key pillar
台阶式柱旁充填体需要借助充填模板来构筑形成。此类充填模板由竖向模板和横向模板连接组成。台阶式充填模具的层数为3~5层,每层由垂直连接的竖直模板与水平模板组成,竖直模板和水平模板的数量按充填模具的层数来确定。台阶式充填模具的材料由木质三合板钉制或者由钢质材料焊接形成,各层竖向模具的高度与各级充填体的高度相等。
(4)多级梯式柱旁充填体。此类柱旁充填体的正视图为多个组合梯形状,因此命名为“多级梯式柱旁充填体”[44],如图9所示。多级梯式柱旁充填体可以位于关键柱的单侧,也可以同时位于关键柱的双侧。多级梯式柱旁充填体的层数需根据采空区遗留煤柱的高度和梯式柱旁充填体的高度来确定,一般取3~5级;多级梯式柱旁充填体的总高度h与采空区“关键柱”的高度相等,各层梯式充填体的垂高h自下而上依次递减,其中最下层梯式柱旁充填体的垂高h1为采空区“关键柱”高度的1/3~1/2,最上层梯式柱旁充填体的垂高h3为采空区“关键柱”高度的1/6~1/4。多级梯式柱旁充填体的腰角自下而上依次递减,其中最下层梯式柱旁充填体的腰角α为45°~75°,最上层梯式柱旁充填体的腰角γ为15°~30°。
图9 多级梯式柱旁充填体
Fig.9 Multi-stage ladder backfilling body along the pillar
多级梯式柱旁充填体需要借助充填模板来构筑形成。此类充填模板由斜向模板和横向模板连接组成。多级梯式充填模具的层数为3~5层,每层由相互连接的斜向模板与水平模板组成,斜向模板和水平模板的数量按充填模具的层数来确定。多级梯式充填模具的材料由木质三合板钉制或者由钢质材料焊接形成,各层斜向模具的垂高与各级充填体的高度相等。
需要指出,上述四大类型充填体的构筑除了借助充填模板之外,还可以借助相应形态的充填包或充填挡墙来构筑形成。
本节拟运用FLAC3D 5.0数值模拟软件来分析关键柱柱旁充填失稳防控的效果。具体地,选取西山煤电集团白家庄煤矿38503柱式采空区为研究对象。通过先期技术资料和现场调研勘探,发现该采空区中遗留煤柱的高度为3.8 m,宽度为4~10 m。该采空区的埋深为188.25 m,直接顶为石灰岩,厚度为3.8 m,底板岩层为砂岩,厚度为5 m。
数值模拟选用莫尔-库伦准则进行计算,模型的尺寸为185 m×60 m×23.3 m(长×宽×高)。计算过程中数值模型的上部界面施加了4.0 MPa的补偿载荷,下部界面在垂直方向上为固定界面,左右界面采用水平约束。数值模型中柱采区域的宽度为30 m,边界煤柱的宽度为20 m,柱采遗留煤柱的宽度从左到右依次设置为10,5和10 m。数值模型中煤岩体的物理力学参数见表1。
表1 38503柱式采空区煤岩物理力学参数
Table 1 Physical and mechanical parameters of coal and rock in the 38503 residual mining area
序号岩性厚度/m密度/(g·cm-3)抗拉强度/MPa内摩擦角/(°)黏聚力/MPa单轴抗压强度/MPa泊松比弹性模量/GPa体积模量/GPa剪切模量/GPa1石灰岩7.52.714.035.05.54102.400.225.953.542.442钙质页岩3.22.722.141.50.63107.100.184.862.532.063直接顶3.82.714.035.06.40102.400.225.953.542.4448号煤层3.81.310.541.56.614.400.310.320.190.085砂岩5.02.612.635.06.4070.400.141.950.900.86
根据关键柱的判别方法与技术流程[3,5],38503柱式采空区中央区域宽度为5 m的遗留煤柱为关键柱。数值模拟的结果表明:关键柱的左右边缘区域发生了塑性破坏,极有可能发生局部失稳。笔者运用柱旁双侧部分充填的方式来强化关键柱的稳定性。具体地,在数值计算过程中,分别在关键柱的左右两侧布置宽度为0.5,1.0,1.5,2.0,2.5和3.0 m的柱旁充填体,其物理力学参数见表2。
表2 柱旁充填体物理力学参数
Table 2 Physical and mechanical parameters of backfilling body along the key pillar
高度/m密度/(g·cm-3)抗拉强度/MPa内摩擦角/(°)黏聚力/MPa单轴抗压强度/MPa泊松比体积模量/GPa剪切模量/GPa3.82.710.56270.57.540.241.050.10
需要指出,笔者拟通过分析“关键柱-充填体”耦合体系的垂直应力分布和塑性区分布特征,来评价关键柱柱旁充填防控的效果。
根据FLAC3D 5.0数值模拟实验结果,图10呈现出不同柱旁充填体宽度情形下采空区“关键柱-充填体”的垂直应力分布情况。由此可知:
(1)柱旁充填之前(柱旁充填体宽度为0时),关键柱中垂直应力基本呈现“钟形”分布。关键柱中心区域垂直应力的最大值高达8.66 MPa,左右两侧各有宽度为2 m的卸压范围,表明关键柱边缘区域的煤体发生了屈服破坏。
(2)柱旁充填之后,关键柱内垂直应力的分布形态有所改变。当柱旁充填体的宽度为0.5,1.0和1.5 m时,关键柱内部的垂直应力呈现“下凹式钟形”分布;然而,关键柱内部“应力分布钟”的形态有所差异,随着柱旁充填体宽度的增大,钟高逐渐减小,钟顶的宽度逐渐增大。当柱旁充填体的宽度为2.0,2.5,3.0 m时,关键柱内部的垂直应力分布基本呈现直线分布。
图10 不同充填体宽度情形下“关键柱-充填体”的垂 直应力分布
Fig.10 Vertical stress distribution of “key pillar-backfilling body” under different backfilling width
(3)柱旁充填之后,随着柱旁充填体宽度的增大,关键柱的最大垂直应力会逐渐减小。具体地,当柱旁充填体宽度分别为0.5,1.0,1.5,2.0,2.5,3.0 m时,关键柱内部垂直应力的最大值分别为8.53,8.39,8.01,7.76,7.68,7.56 MPa。与柱旁充填之前相比,关键柱内部的最大应力集中系数分别减少了1.5%,4.3%,7.5%,10.4%,11.3%和12.7%。
综上,柱旁充填可以减缓关键柱内部的应力集中程度,进而解除关键柱发生局部失稳的“警报”,并避免邻近遗留煤柱群发生链式连锁失稳。柱旁充填体的宽度越大,关键柱的应力集中程度衰减得越多。
根据FLAC3D5.0数值模拟实验结果,图11呈现出不同柱旁充填体宽度情形下“关键柱-充填体”的塑性区分布情况,进而来反映“关键柱-充填体”耦合体系的稳定状况。从图11可以看出:
(1)柱旁充填之前,塑性区几乎贯穿整个关键柱,面积占比达到80%(只有顶端和底端区域小面积的煤体未发生破坏),且以剪切破坏为主,如图11(a)所示。
(2)当柱旁充填体的宽度为0.5,1.0,1.5,2.0 m时,关键柱左右两侧的塑性区分布形态对称,最大宽度分别为2.0,1.5,1.0,0.5 m,如图11(b)~(e)所示。此时,关键柱内部发生塑性破坏的面积占比分别为50%,40%,20%,6.7%,且仍主要是剪切破坏。最终,关键柱中央区域形成了“哑铃状”分布的弹性核区,其最小宽度分别为1,2,3,4 m。需要指出,当柱旁充填体的宽度为0.5,1.0,1.5 m时,关键柱左右两侧的柱旁充填体均发生了塑性破坏。当柱旁充填体的宽度为2.0 m时,关键柱左侧柱旁充填体的右上角和右下角区域未发生塑性破坏,关键柱右侧柱旁充填体的左上角和左下角区域未发生塑性破坏。
(3)当柱旁充填体的宽度为2.5,3.0 m时,关键柱左右两侧的柱旁充填体发生塑性破坏的最大宽度均为2.0 m。左侧柱旁充填体的右上角和右下角区域未发生塑性破坏,右侧柱旁充填体的左上角和左下角区域未发生塑性破坏。此时,关键柱内部未发生任何形式的塑性破坏,如图11(f)~(g)所示。
图11 不同充填宽度情形下“关键柱-柱旁充填体” 塑性区分布
Fig.11 Plastic zone distribution of “key pillar-backfilling body” under different backfilling width
也就是说,柱旁充填可以抑制关键柱内部塑性区的扩展与延伸。随着柱旁充填体宽度的增大,关键柱内部的塑性区宽度逐渐减小,其中央区域弹性核区的宽度也逐渐增大,进而使得关键柱的承载能力逐步提升,并减小发生局部失稳的概率。
综上,“关键柱-柱旁充填体”的应力分布与塑性区分布特征表明关键柱柱旁充填岩层控制的效果良好。
柱旁岩层控制基础理论不仅可以用于采空区遗留煤柱群链式失稳的防控,还有望在优质遗留煤炭资源复采和地下空间维护与利用等技术领域应用推广。
(1)柱式采空区蹬空煤层在许多矿区广泛赋存。上行采动影响下,柱式采空区遗留煤柱群的动态稳定性是制约蹬空煤层安全开采的重要影响因素[45-46]。此时,柱旁充填可以构建采空区“遗留煤柱群-柱旁充填体”的耦合承载体系,实现采空区单一承载元件向复合承载元件的升级,强化遗留煤柱群的稳定性,进而避免遗留煤柱群链式失稳对蹬空煤层连续性、完整性和稳定性的损伤破坏,保障蹬空煤层的安全高效开采。
(2)柱式采空区下伏煤层开采时动载矿压频发,这与柱式采空区遗留煤柱群的动态稳定性密切相关[47-50]。柱旁充填可以减缓遗留煤柱群应力集中的影响,实现下伏煤层开采顶板岩层应力的均衡化,能够减轻下伏煤层开采过程中的异常矿压显现。
(3)复合柱采区中层遗煤开采也受到遗留煤柱群(尤其是重叠式遗留煤柱群)的影响。上位采空区或下位采空区遗留煤柱群的链式失稳都会诱发中层遗煤顶板岩层或底板岩层的联动失稳,进而影响安全生产[51-52]。柱旁充填可以强化复合采空区遗留煤柱群的稳定性,减缓遗留煤柱群产生的应力集中程度,并避免产生围岩的联动破坏。
(4)遗留煤柱群是采空区优质的资源,储量可观,开采价值良好[53]。遗留煤柱群复采以后,需要由新生支撑体来保障覆岩稳定性。柱旁充填不仅可以利用遗留煤柱两侧的充填体来支撑覆岩,还能在充填体中布置复采巷道,来保障遗留煤柱群的安全复采。
(5)遗留优质煤炭资源复采难免会遇到工作面过空巷(区)矿压显现的技术难题[54-55]。在勘探查明空巷(区)位置的基础上,实施柱旁充填技术工艺可以将采场矿山压力转移到柱旁充填体中,避免空巷(区)由于集中应力产生冒顶事故,并保障工作面顺利推进。
(6)地下采动空间维护与利用是采矿工程领域重要的攻坚方向之一[27,56-58]。在地下采动空间维护方面,当采场遗留煤柱的承载能力不足时,柱旁充填可以实现采动空间中遗留煤柱承载能力的提升,并能分担采场部分载荷,进而实现采动空间长期稳定性的维护。此时,采动空间中原生遗留煤柱与新生柱旁充填体组成的耦合承载体,能够形成体积可观的地下空间,可以为地下储水、储气和储物等提供新思路与新途径。
总之,关键柱柱旁充填岩层控制基础理论在煤矿地下开采中具有广泛的应用领域,应用潜力较好。同时,房柱式开采仍是非煤矿山资源开采最主要的方法之一。相应地,地下采场中会形成大量密集分布的矿柱群。此时,矿柱群的链式失稳及其防控成为非煤矿山开采值得关注的问题[59]。因此,关键柱柱旁充填岩层控制基础理论还能推广应用于非煤矿山资源开采技术领域。
(1)基于煤炭资源科学开采理念和遗留煤柱群链式失稳的关键柱理论,提出了关键柱柱旁充填岩层控制技术方法。该方法属于部分充填开采的范畴,可以解决全部充填开采所面临的原材料供给不足和充填成本较高的瓶颈难题。关键柱柱旁充填技术方法直接保护的对象是采空区煤柱群体系中的关键柱,能够避免遗留煤柱群链式失稳联动致灾效应的产生,可以实现采场岩层移动的有效控制,并保障煤炭资源的安全高效绿色开采。
(2)关键柱柱旁充填岩层控制的核心机理主要体现在4个方面:① 采空区中形成了“关键柱-柱旁充填体”的耦合承载结构,可以缓减关键柱中的应力集中程度;② 采空区新生的充填体不仅约束关键柱的横向变形,还能对关键柱产生一定的侧向约束力;③ 柱旁充填通过增加遗留煤柱的围压,使得关键柱的受力响应由“应变软化”转变为“应变强化”,进而承担更多的覆岩载荷或扰动载荷;④ 柱旁充填可以减小关键柱的外露面,进而减弱积水浸蚀和自然风化对“关键柱”强度的长期劣化作用。
(3)关键柱柱旁充填体的材料可以选取返井固废充填材料和原位固废充填材料,柱旁充填体的极限抗压强度应大于或等于其分担的载荷,柱旁充填后“关键柱-柱旁充填体”耦合承载体中屈服区的宽度不能扩展与延伸至“关键柱”的原始弹性核区内,柱旁充填体的形态主要包括矩式、梯式、台阶式和多级梯式四大类。
(4)“关键柱-柱旁充填体”的应力分布和塑性区分布特征表明关键柱柱旁充填的效果良好——柱旁充填能够减轻关键柱的应力集中程度,减小关键柱内部的塑性区宽度,并增大其中央区域弹性核区的宽度。
(5)除了应用于采空区遗留煤柱群链式失稳的防控之外,关键柱柱旁岩层控制基础理论还能应用于柱式采空区邻近煤层开采、遗留煤柱群复采、遗煤复采工作面过空巷(区)强矿压防治和地下空间维护与利用等技术领域,更能在非煤矿山资源开采技术领域推广。
需要指出,关键柱柱旁充填后,遗留煤柱外露面有所减少,不再直接受到积水浸蚀和自然风化等产生的劣化影响。此时,遗留煤柱群的长期稳定性与柱旁充填体的强度等密切相关。覆岩载荷、扰动载荷、矿井水浸蚀、硫酸盐腐蚀和氯盐腐蚀等因素都会使得柱旁充填体的强度劣化,使得其逐渐失去支撑覆岩载荷的作用,并进一步影响遗留煤柱群的长期稳定性。因此,关键柱柱旁充填后煤柱群的长期稳定性也是亟需关注的一个科学问题,仍值得深入分析。
[1] 王家臣,刘峰,王蕾.煤炭科学开采与开采科学[J].煤炭学报,2016,41(11):2651-2660.
WANG Jiachen,LIU Feng,WANG Lei.Sustainable coal mining and mining sciences[J].Journal of China Coal Society,2016,41(11):2651-2660.
[2] 朱卫兵,许家林,陈璐,等.浅埋近距离煤层开采房式煤柱群动态失稳致灾机制[J].煤炭学报,2019,44(2):358-366.
ZHU Weibing,XU Jialin,CHEN Lu,et al.Mechanism of disaster induced by dynamic instability of coal pillar group in room-and-pillar mining of shallow and close coal seams[J].Journal of China Coal Society,2019,44(2):358-366.
[3] 白锦文.复合残采区遗留群柱失稳致灾机理与防控研究[D].太原:太原理工大学,2019.
BAI Jinwen.Research on the instability mechanism and prevention of residual coal pillars in the composite re-mining areas[D].Taiyuan:Taiyuan University of Technology,2019.
[4] CUI Ximin,GAO Yongge,YUAN Debao.Sudden surface collapse dis-asters caused by shallow partial mining in Datong coalfield,China[J].Natural hazards,2014,74(2):911-929.
[5] 冯国瑞,白锦文,史旭东,等.遗留煤柱群链式失稳的关键柱理论及其应用展望[J].煤炭学报,2021,46(1):164-179.
FENG Guorui,BAI Jinwen,SHI Xudong,et al.Key pillar theory in the chain failure of residual coal pillars and its application prospect[J].Journal of China Coal Society[J].2021,46(1):164-179.
[6] 冯国瑞,侯水云,梁春豪,等.复杂条件下遗煤开采岩层控制理论与关键技术研究[J].煤炭科学技术,2020,48(1):144-149.
FENG Guorui,HOU Shuiyun,LIANG Chunhao,et al.Basic theories and key technologies of rock strata control for residual coal resources mining under complex conditions[J].Coal Science and Technology,2020,48(1):144-149.
[7] 朱德福.浅部非充分垮落采空区承载特征与重复采动致灾机理研究[D].徐州:中国矿业大学,2018.
ZHU Defu.Study on the bearing characteristics of shallow insufficient collapsed gob and hazard induced mechanism in lower seam mining[D].Xuzhou:China University of Mining and Technology,2018.
[8] 王金安,尚新春,刘红,等.采空区坚硬顶板破断机理与灾变塌陷研究[J].煤炭学报,2008,33(8):850-855.
WANG Jin’an,SHANG Xinchun,LIU Hong,et al.Study on fracture mechanism and catastrophic collapse of strong roof strata above the mined area[J].Journal of China Coal Society,2008,33(8):850-855.
[9] 安百富,张吉雄,李猛,等.充填回收房式煤柱采场煤柱稳定性分析[J].采矿与安全工程学报,2016,33(2):238-243.
AN Baifu,ZHANG Jixiong,LI Meng,et al.Stability of pillars in backfilling mining working face to recover room mining standing pillars[J].Journal of Mining & Safety Engineering,2016,33(2):238-243.
[10] 许家林,轩大洋,朱卫兵,等.部分充填采煤技术的研究与实践[J].煤炭学报,2015,40(6):1303-1312.
XU Jialin,XUAN Dayang,ZHU Weibing,et al.Study and application of coal mining with partial backfilling[J].Journal of China Coal Society,2015,40(6):1303-1312.
[11] 许家林,轩大洋,朱卫兵,等.基于关键层控制的部分充填采煤技术[J].采矿与岩层控制工程学报,2019,1(2):69-76.
XU Jialin,XUAN Dayang,ZHU Weibing,et al.Partial backfilling coal mining technology based on key strata control[J].Journal of Mining and Strata Control Engineering,2019,1(2):69-76.
[12] 许家林,朱卫兵,李兴尚,等.控制煤矿开采沉陷的部分充填开采技术研究[J].采矿与安全工程学报,2006,3(1):6-11.
XU Jialin,ZHU Weibing,LI Xingshang,et al.Study of the technology of partial-filling to control coal mining subsidence[J].Journal of Mining & Safety Engineering,2006,3(1):6-11.
[13] ZHU Weibing,XU Jingmin,XU Jialin,et al.Pier-column backfill mining technology for controlling surface subsidence[J].International Journal of Rock Mechanics & Mining Sciences,2017,96,58-65.
[14] 黄庆享,赖锦琪.条带充填保水开采隔水岩组力学模型研究[J].采矿与安全工程学报,2016,33(4):592-596.
HUANG Qingxiang,LAI Jinqi.Study on mechanical model of aquifuge beam supported by filling strip in the water preserved mining[J].Journal of Mining & Safety Engineering,2016,33(4):592-596.
[15] 胡振琪,邵芳,多玲花,等.黄河泥沙间隔条带式充填采煤沉陷地复垦技术及实践[J].煤炭学报,2017,42(3):557-566.
HU Zhenqi,SHAO Fang,DUO Linghua,et al.Technique of reclaiming subsided land with Yellow River sediments in the form of spaced strips[J].Journal of China Coal Society,2017,42(3):557-566.
[16] 孙建,王连国,赵光明.神东特殊保水开采煤层条带充填覆岩隔水层稳定性判据[J].中国矿业大学学报,2018,47(5):957-968.
SUN Jian,WANG Lianguo,ZHAO Guangming.Stability criterion of overburden water-resistant strata supported by filling strip in Shendong lspecial water-preserved mining area[J].Journal of China University of Mining & Technology,2018,47(5):957-968.
[17] 马立强,许玉军,张东升,等.壁式连采连充保水采煤条件下隔水层与地表变形特征[J].采矿与安全工程学报,2019,36(1):30-36.
MA Liqiang,XU Yujun,ZHANG Dongsheng,et al.Characteristics of aquiclude and surface deformation in continuous mining and filling with wall system[J].Journal of Mining & Safety Engineering,2019,36(1):30-36.
[18] 马立强,张东升,金志远,等.近距煤层高效保水开采理论与方法[J].煤炭学报,2019,44(3):727-738.
MA Liqiang,ZHANG Dongsheng,JIN Zhiyuan,et al.Theories and methods of efficiency water conservation mining in short-distance coal seams[J].Journal of China Coal Society,2019,44(3):727-738.
[19] 张吉雄,缪协兴,茅献彪,等.建筑物下条带开采煤柱矸石置换开采的研究[J].岩石力学与工程学报,2007,26(S1):2687-2693.
ZHANG Jixiong,MIAO Xiexing,MAO Xianbiao,et al.Research on waste substitution extraction of strip extraction coal-pillar mining[J].Chinese Journal of Rock Mechanics and Engineering,2007,26(S1):2687-2693.
[20] 余伟健,王卫军.矸石充填整体置换“三下”煤柱引起的岩层移动与二次稳定理论[J].岩石力学与工程学报,2011,30(1):105-112.
YU Weijian,WANG Weijun.Strata movement induced by coal-pillar under three circumstances exchanged by gangue backfill and quadratic stability law[J].Chinese Journal of Rock Mechanics and Engineering,2011,30(1):105-112.
[21] 郭惟嘉,江宁,王海龙,等.膏体置换煤柱充填体承载特性及工作面支护强度研究[J].采矿与安全工程学报,2016,33(4):585-591.
GUO Weijia,JIANG Ning,WANG Hailong,et al.Bearing characteristics of filling body and supporting intensity of working face during coal pillar mined with paste backfill[J].Journal of Mining & Safety Engineering,2016,33(4):585-591.
[22] 陈绍杰,张俊文,尹大伟,等.充填墙提升煤柱性能机理与数值模拟研究[J].采矿与安全工程学报,2017,34(2):268-275.
CHEN Shaojie,ZHANG Junwen,YIN Dawei,et al.Mechanism and numerical simulation of filling walls improving performance of coal pillar[J].Journal of Mining & Safety Engineering,2017,34(2):268-275.
[23] 张新国,江宁,江兴元,等.膏体充填开采条带煤柱充填体稳定性监测研究[J].煤炭科学技术,2013,41(2):13-15.
ZHANG Xinguo,JIANG Ning,JIANG Xingyuan,et al.Study on backfill body stablity site monitoring during strip coal pillar backfill mining with pastes[J].Coal Science and Technology,2013,41(2):13-15.
[24] 孙希奎,赵庆民,施现院.条带残留煤柱膏体充填综采技术研究与应用[J].采矿与安全工程学报,2017,34(4):650-654.
SUN Xikui,ZHAO Qingmin,SHI Xianyuan.Research and application on the technology of paste backfilling fully mechanized in residual strip pillar[J].Journal of Mining & Safety Engineering,2017,34(4):650-654.
[25] 郭俊廷,戴华阳,李佳琦,等.“采-充-留”协调开采地表移动预测方法[J].煤矿开采,2016,21(2):45-48.
GUO Junting,DAI Huayang,LI Jiaqi,et al.Forecast method of surface movement with mining coordinately mixed with backfilling and keeping[J].Coal Mining Technology,2016,21(2):45-48.
[26] 白二虎,郭文兵,谭毅,等.浅埋厚煤层条带充填保水开采分析研究[J].地下空间与工程学报,2019,15(4):1225-1231.
BAI Erhu,GUO Wenbing,TAN Yi,et al.analysis on strip-filling in water preserved mining under shallow buried thick coal seam[J].Chinese Journal of Underground Space and Engineering,2019,15(4):1225-1231.
[27] 杜献杰.煤矿结构充填开采“充填体-直接顶”复合承载结构稳定性研究[D].太原:太原理工大学,2019.
DU Xianjie.Research on the stability of “backfill body-immediate roof” combined bearing structure in contructional backfill coal mining[D].Taiyuan:Taiyuan University of Technology,2019.
[28] 邱华富,刘浪,孙伟博,等.采空区充填体强度分布规律试验研究[J].中南大学学报(自然科学版),2018,49(10):2584-2592.
QIU Huafu,LIU Lang,SUN Weibo,et al.Experimental study on strength distribution of backfill in goaf[J].Journal of Central South University (Science and Technology),2018,49(10):2584-2592.
[29] 冯国瑞,白锦文,李振,等.一种柱旁双侧部分充填上行复采蹬空煤层的方法[P].中国专利:CN104832175A,2015-08-12.
[30] 冯国瑞,白锦文,戚庭野,等.一种柱旁单侧部分充填上行复采蹬空煤层的方法[P].中国专利:CN104790952A,2015-07-22.
[31] PENG Syd S.煤矿围岩控制[M].北京:科学出版社,2014.
[32] 崔希民,逯颖,张兵.基于载荷转移距离和有效宽度的煤柱稳定性评价方法[J].煤炭学报,2017,42(11):2792-2798.
CUI Ximin,LU Ying,ZHANG Bing.Pillar stability evaluation based on load transfer distance and pillar effective width[J].Journal of China Coal Society,2017,42(11):2792-2798.
[33] CHEKAN G J,MATETIC R J.Loading characteristics of pillars in multiple-seam mining operations.Report of Investigations/1988[R].Bureau of Mines,Pittsburgh,PA (USA).Pittsburgh Research Center,1988.
[34] POULSEN B A.Coal pillar load calculation by pressure arch theory and near field extraction ratio[J].International Journal of Rock Mechanics and Mining Sciences,2010,47(7):1158-1165.
[35] 蔡美峰.岩石力学与工程[M].北京:科学出版社,2002.
[36] 刘洋,柴学周,李竞生.相邻工作面防水煤岩柱优化研究[J].煤炭学报,2009,34(2):239-242.
LIU Yang,CHAI Xuezhou,LI Jingsheng.Optmization study on water proofing coal and rock pillar beweent wo working faces[J].Journal of China Coal Society,2009,34(2):239-242.
[37] 顾大钊,张勇,曹志国,等.我国煤炭开采水资源保护利用技术研究进展[J].煤炭科学技术,2016,44(1):1-7.
GU Dazhao,ZHANG Yong,CAO Zhiguo,et al.Technical progress of water resource protection and utilization by coal mining in China[J].Coal Science and Technology,2016,44(1):1-7.
[38] YAO Q,CHEN T,JU M,et al.Effects of water intrusion on mechanical properties of and crack propagation in coal[J].Rock Mechanics and Rock Engineering,2016,49(12):4699-4709.
[39] 戚庭野,冯国瑞,郭育霞,等.煤矿膏体充填材料性能随龄期变化的试验研究[J].采矿与安全工程学报,2015,32(1):42-48.
QI Tingye,FENG Guorui,GUO Yuxia,et al.Experimental study on the changes of coal paste backfilling material performance during hydration process[J].Journal of Mining & Safety Engineering,2015,32(1):42-48.
[40] 冯国瑞,贾学强,郭育霞,等.矸石-废弃混凝土胶结充填材料配比的试验研究[J].采矿与安全工程学报,2016,33(6):1072-1079.
FENG Guorui,JIA Xueqiang,GUO Yuxia,et al.Study on mixture ratio of gangue-waste concrete cemented paste backfill[J].Journal of Mining & Safety Engineering,2016,33(6):1072-1079.
[41] 王方田.浅埋房式采空区下近距离煤层长壁开采覆岩运动规律及控制[D].徐州:中国矿业大学,2012.
WANG Fangtian.Overlying strata movement laws and ground control of the longwall face mining in the shallow depth seam in proximity beneath a room mining goaf[D].Xuzhou:China University of Mining and Technology,2012.
[42] 冯国瑞,白锦文,郭军,等.一种梯式构造充填复采残采区遗留煤柱群的方法[P].中国专利:CN106014412A,2016-10-12.
[43] 冯国瑞,白锦文,戚庭野,等.一种台阶式构造充填复采残采区遗留煤柱群的方法[P].中国专利:CN106121645A,2016-11-16.
[44] 冯国瑞,白锦文,戚庭野,等.一种多级梯式构造充填复采残采区遗留煤柱群的方法[P].中国专利:CN106150502A,2016-11-23.
[45] 冯国瑞,张绪言,李建军,等.刀柱采空区上方遗弃煤层上行开采可行性判定[J].煤炭学报,2009,34(6):726-730.
FENG Guorui,ZHANG Xuyan,LI Jianjun,et al.Feasibility on the upward mining of the left-over coa l above goaf with pillar supporting method[J].Journal of China Coal Society,2009,34(6):726-730.
[46] 姜耀东,杨英明,马振乾,等.大面积巷式采空区覆岩破坏机理及上行开采可行性分析[J].煤炭学报,2016,41(4):801-807.
JIANG Yaodong,YANG Yingming,MA Zhenqian,et al.Breakage mechanism of roof strata above widespread mined-out area with roadway mining method and feasibility analysis of upward mining[J].Journal of China Coal Society,2016,41(4):801-807.
[47] 白庆升,屠世浩,王方田,等.浅埋近距离房式煤柱下采动应力演化及致灾机制[J].岩石力学与工程学报,2012,31(S2):3772-3778.
BAI Qingsheng,TU Shihao,WANG Fangtian,et al.Stress evolution and induced accidents mechanism in the shallow coal seam in proximity underlying the room mining residual pillars[J].Chinese Journal of Rock Mechanics and Engineering,2012,31(S2):3772-3778.
[48] 王方田,屠世浩,李召鑫,等.浅埋煤层房式开采遗留煤柱突变失稳机理研究[J].采矿与安全工程学报,2012,29(6):770-775.
WANG Fangtian,TU Shihao,LI Zhaoxin,et al.Mutation instability mechanism of the room mining residual pillars in the shallow depth seam[J].Journal of Mining & Safety Engineering,2012,29(6):770-775.
[49] 朱德福,屠世浩,屠洪盛,等.冲沟地貌间隔式煤柱下采动应力传播规律研究[J].采矿与安全工程学报,2018,35(4):701-707.
ZHU Defu,TU Shihao,TU Hongsheng,et al.Analysis of stress propagation mechanism in the interval coal pillars under the gully landform[J].Journal of Mining & Safety Engineering,2018,35(4):701-707.
[50] 霍丙杰,范张磊,谢伟,等.浅埋近距离房式采空区下应力场分析及动压机理研究[J].煤炭科学技术,2019,47(1):179-186.
HUO Bingjie,FAN Zhanglei,XIE Wei,et al.Stress field analysis and study on dynamic mechanism under goaf of shallow depth and closed distance room and pillar mining[J].Coal Science and Technology,2019,47(1):179-186.
[51] 白锦文,冯国瑞,章敏,等.上下柱式开采对中部残煤采场岩层应力分布时空演化的影响[J].煤炭学报,2016,41(8):1896-1904.
BAI Jinwen,FENG Guorui,ZHANG Min,et al.Influence of upper-bottom pillar mining on temporal and spatial evolution of stress in rock strata around middle residual coal seam[J].Journal of China Coal Society,2016,41(8):1896-1904.
[52] 白锦文.复合刀柱式残采区中部整层弃煤开采岩层控制基础理论研究[D].太原:太原理工大学,2016.
BAI Jinwen.The basic theoretical research of rock strata’s control in mining middle abandoned coal seam with composite pillar residual areas[D].Taiyuan:Taiyuan University of Technology,2016.
[53] 安百富,张吉雄,李猛,等.充填回收房式煤柱采场煤柱稳定性分析[J].采矿与安全工程学报,2016,33(2):238-243.
AN Baifu,ZHANG Jixiong,LI Meng,et al.Stability of pillars in backfilling mining working face to recover room mining standing pillars[J].Journal of Mining & Safety Engineering,2016,33(2):238-243.
[54] 刘畅,张俊文,杨增强,等.工作面过空巷基本顶超前破断机制及控制技术[J].岩土力学,2018,39(4):1411-1421.
LIU Chang,ZHANG Junwen,YANG Zengqiang,et al.Mechanism of advance fracture of main roof and its control technology when workface crossing abandoned roadway[J].Rock and Soil Mechanics,2018,39(4):1411-1421.
[55] 刘畅,弓培林,王开,等.复采工作面过空巷顶板稳定性[J].煤炭学报,2015,40(2):314-322.
LIU Chang,GONG Peilin,WANG Kai,et al.Roof stability for repeated mining workface passing through abandoned parallel gateway[J].Journal of China Coal Society,2015,40(2):314-322.
[56] 陈田,姚强岭,杜茂,等.浸水次数对煤样裂隙发育损伤的实验研究[J].岩石力学与工程学报,2016,35(S2):3756-3762.
CHEN Tian,YAO Qiangling,DU Mao,et al.Experimental research of effect of water intrusion times on crack propagation in coal[J].Chinese Journal of Rock Mechanics and Engineering,2016,35(S2):3756-3762.
[57] 姚强岭,刘亚鹏,陈田,等.地下水库人工坝体强度损伤演化特征试验研究[J].煤炭学报,2018,43(4):1111-1117.
YAO Qiangling,LIU Yapeng,CHEN Tian,et al.Experimental study of damage evolution of artificial dam strength of underground reservoir[J].Journal of China Coal Society,2018,43(4):1111-1117.
[58] 袁亮,姜耀东,王凯,等.我国关闭/废弃矿井资源精准开发利用的科学思考[J].煤炭学报,2018,43(1):14-20.
YUAN Liang,JIANG Yaodong,WANG Kai,et al.Precision exploitation and utilization of closed/abandoned mine resources in China[J].Journal of China Coal Society,2018,43(1):14-20.
[59] 周子龙,王亦凡,柯昌涛.“多米诺骨牌”破坏现象下的矿柱群系统可靠度评价[J].黄金科学技术,2018,26(6):729-735.
ZHOU Zilong,WANG Yifan,KE Changtao.Reliability evaluation of pillars system based on domino failure effect[J].Gold Science and Technology,2018,26(6):729-735.