遗留煤柱群链式失稳的关键柱理论及其应用展望

冯国瑞1,2,白锦文1,2,史旭东1,2,戚庭野1,2,王朋飞1,2,郭 军1,2,王善勇3,康立勋1,2

(1.太原理工大学 矿业工程学院,山西 太原 030024;2.山西省绿色采矿工程技术研究中心,山西 太原 030024; 3.Priority Research Centre for Geotechnical Science & Engineering,the University of Newcastle,Callaghan,NSW 2308)

摘 要:遗留煤柱群链式失稳会引发覆岩垮落、地表塌陷、动载矿压、瓦斯外逸或水体下泄等灾害。揭示遗留煤柱群链式失稳的核心机理是精准防控的基本前提。从链式失稳的源头出发,提出了遗留煤柱群的最弱失稳致灾模式,界定了关键柱的基本概念,分析了关键柱的主要特征,研发了关键柱判别的技术方法,揭示了关键柱局部失稳的诱灾机理,形成了遗留煤柱群链式失稳的关键柱理论,并对其潜在的应用范围与领域进行了展望。研究结果表明:①遗留煤柱内在物理力学性质和外在环境因素等的差异性,导致采场遗留煤柱群呈现出最弱失稳致灾模式——遗留煤柱群体系中任一失稳致灾模式发生时,最弱失稳致灾模式必然已经发生,即遗留煤柱群体系发生链式失稳时,稳定性最弱的遗留煤柱必然发生了失稳。②关键柱是指采空区中最先可能发生局部失稳的遗留煤柱;“关键柱”之所以“关键”,是因为唯有采空区“关键柱”发生局部失稳,邻近区域稳定性稍强的遗留煤柱的失稳破坏才可能被活化,采场遗留煤柱群的链式失稳也才可能发生。③安全系数最小的遗留煤柱可以判别为煤柱群体系中的“关键柱”,在进行关键柱判别的时候需要遵循区域性、相对性、动态性和复合性等四大原则。④关键柱局部失稳的诱灾机理体现在:关键柱载荷的逐渐减小使得最邻近遗留煤柱承担的载荷线性增大,即关键柱的局部失稳会引发覆岩载荷向最邻近的遗留煤柱中转移与扩散,导致进一步的失稳破坏,并最终可能引发遗留煤柱群体系的“多米诺”链式失稳与破坏。⑤关键柱理论不仅可以应用于柱采区邻近煤层开采、强矿压控制、煤柱留设、充填开采、瓦斯抽采和水害防治等技术领域,还能推广应用于非煤矿山资源开采矿柱群的失稳防控等领域。遗留煤柱群链式失稳关键柱理论的提出有望促进我国煤炭资源绿色开采理论与技术的发展。

关键词:关键柱理论;链式失稳;遗留煤柱;最弱失稳致灾模式;判别方法

由于先期开采方法的落后,我国许多矿井中形成了大量的遗留煤柱,其在空间上密集分布、形态各异、相互影响、错综复杂且尺寸不一,以群落的形式组合形成遗留煤柱群(以下简称“遗留群柱”)[1-2]

遗留群柱留设的初衷是为了承担覆岩载荷,保障地下采场的长期稳定性[2]。然而,在覆岩应力、扰动载荷、自然风化和积水浸蚀等耦合影响下,局部位置(区域)遗留煤柱会发生由表及里的破裂,进而使得承载能力逐渐减弱,可能引发群柱体系的链式破坏或“多米诺骨牌”失稳,导致覆岩垮落、地表塌陷、动载矿压、瓦斯外逸或水体下泄等灾害[3-7]。遗留群柱失稳后就会改变其“发挥承载作用”的初衷,并转变为潜在的危害与隐患。因此,非常有必要系统研究遗留群柱链式失稳的核心机理,进而为遗留群柱链式失稳的科学防控提供理论支撑。

国内外研究学者在煤(矿)柱群的体系稳定性方面开展了广泛地研究。GRAY,KARFAKIS,PRICE 和TAYLOR 等认为浅埋废弃矿井地表的变形沉陷与老空区遗留煤柱群的破坏失稳密切相关,并制定了地表沉陷防治的技术措施[8-11]。CHEKAN G J 等基于应力拱的叠加理论分析了近距离煤层长壁开采和房式开采的扰动影响,并研究了遗留煤柱群的稳定性[12]。KAISER P K 和WANG S Y 等运用RFPA 数值软件分析了矿柱强度和加载系统的刚度等对矿柱群破坏力学特性和声发射行为的影响[13-14]。AL Heib M 等针对法国Senonian 矿区石膏矿废弃柱式老采空区引发的地表崩塌与沉陷等问题,运用经验公式评价了废弃采空区遗留矿柱群的载荷分布状况,通过FLAC3D 数值模拟的方法分别研究了采区水位分布、层间岩层完整性及其岩性对双层遗留矿柱塑性区分布的影响[15]。TONG 等评估了中国徐州废弃矿井中遗留煤柱群失稳对地表高速公路的影响,并制定了相应的防范措施[16]

国内研究学者也从不同的研究角度研究了遗留煤(矿)柱群的失稳机理。从现场实践的角度出发,张子春和靳钟铭等研究发现顶板大面积来压冒顶与刀柱式开采遗留煤柱群的面积存在一定的关系:①当采空区内煤柱群面积占采空面积的比例大于30%时,一般不易来压及冒落;②当煤柱群面积占采空面积的比例低于20%时,往往容易产生大面积来压及冒落[17-18]

运用数值模拟或相似模拟方法,柳宏儒等采用2D-σ 程序研究了多煤层条带开采煤柱群的稳定性,揭示了开采宽度、煤柱宽度和充填宽度对煤柱群稳定性的影响规律[19]。张淑坤等采用FLAC3D 数值软件对煤柱群-顶板结构荷载传递规律进行了模拟研究,发现局部煤柱承载力的衰减会使得荷载逐渐转移到周围煤柱之上,临近煤柱分担荷载最多,相隔煤柱受到的影响较小;如果相邻煤柱因转移荷载而压溃,则荷载将进一步向外转移扩散,影响煤柱顶板系统整体稳定性[20]。ZHOU 等采用相似材料制备了不同类型的矿柱试样,开展了单轴压缩实验,分析了单矿柱及双矿柱试样在单轴加载过程中荷载、变形与声发射信息的演变规律,并采用PFC2D 数值软件进行了模拟验证。在此基础上,分析了矿柱的安全系数、矿柱的破坏位置及覆岩的刚度对矿柱群连锁动态失稳的影响[21]。朱卫兵等开展了下伏近距离煤层开采对上层房式采空区遗留煤柱动态失稳影响的相似模拟试验,揭示了相应采动条件下工作面切顶压架的机理[22-23]

Voronoi 图形划分法可以按间距来划分相邻群柱。崔希民等运用Voronoi 图形划分法确定了不规则煤柱的从属面积,建立了基于载荷转移距离和煤柱有效宽度的不规则煤柱群稳定性评价方法[3,24-25]。MA 和王金安等提出了矿柱荷载的Voronoi 图形划分法,实现了矿柱失稳的动态计算与预测,提出了矿柱破坏和荷载转移的计算方法,模拟了采空区矿柱群多米诺失稳引发的坍塌,并提出了控制采空区大面积塌陷的对策[26-27]

重整化群理论通过对系统内部的基本组成单元进行一系列的自相似变换,可以获取宏观系统的特性描述。郭生茂等利用重整化群理论建立了矿山采空区群的一维和二维模型,在考虑应力重分布对稳定性影响的情况下,求解了矿山采空区群一维和二维状态下矿柱群的临界失稳概率[28]。张淑坤等运用重整化群理论深入研究了煤柱个体与相邻煤柱之间的荷载传递规律,分析了采空区煤柱群的稳定性,确定了煤柱群失稳的临界概率范围,探讨了荷载传递系数与煤柱群临界破坏概率之间的关系[29]。朱德福等研究了石圪节煤矿双层柱式采空区重叠遗留煤柱、部分重叠遗留煤柱和完全交错遗留煤柱群的整体稳定性,提出了基于重整化群理论的浅埋房式采空区煤柱群稳定性评价的方法,并验证了该方法的可靠性[30]

除此之外,许多学者还运用应变能熵值[31-32]、尖点突变理论[6,33]、层次分析法(AHP)[34]、综合指数法、模糊评价法[35]和Monte-Carlo 法[36]等理论与方法,分析了遗留煤(矿)柱群的稳定性。

上述研究成果可以深化认识煤(矿)柱群的失稳破坏机理。然而,现有研究并未从遗留煤柱群链式失稳的源头出发来揭示其失稳机理。清晰定位链式失稳的诱发位置是深入认知遗留煤柱群系统稳定性的基本出发点。笔者提出了遗留煤柱群的最弱失稳致灾模式,界定了关键柱的基本概念,分析了关键柱的主要特征,研发了关键柱判别的技术方法,揭示了关键柱局部失稳的诱灾机理,形成了遗留煤柱群链式失稳的关键柱理论,并对其潜在的应用范围与领域进行了展望。

1 遗留煤柱群的最弱失稳致灾模式

图1分别为大同矿区马脊梁煤矿402 盘区和挖金湾煤矿404 盘区遗留群柱链式失稳引发的地表塌陷示意图。表1统计了大同矿区侏罗纪老采空区遗留群柱链式失稳引发的联动影响。这充分说明:遗留煤柱群的链式失稳表现出明显的联动失稳致灾效应。究其原因,是与煤矿采空区不同区位遗留煤柱的内在物理力学性质和外在环境因素等差异性密切相关[37-38]

图1 遗留煤柱群失稳引发的地表塌陷
Fig.1 Surface collapsing induced by the instability of residual coal pillars

表1 大同矿区遗留群柱链式失稳引发的联动影响(不完全统计)
Table 1 Statistics of typical chain collapse disasters induced by instability of residual coal pillars in Datong mining area

煤矿 塌陷区域 开采方法与技术参数 联动影响挖金湾煤矿 青羊湾井14 号煤层402 盘区832 采区房柱式开采(回采遗留煤柱时发生失稳),埋深为38~55 m,平均采高为4 m,煤柱留设比例为25.7%采场巨大的冲击气流导致4 死11 伤, 地表垮塌面积约为249 104 m2,且造成1 人死亡,24 人受伤,地面上形成6 条环形裂缝,宽度为0.1~0.4 m,地表塌陷的深度为0.3~0.7 m挖金湾煤矿 青羊湾井14 号煤层404 盘区房柱式开采(回采遗留煤柱时发生失稳),煤房宽度为8~10 m,煤柱宽度为6~8 m,埋深为84~104 m,采高为4.0~4.3 m,煤柱留设比例为20.37%遗留群柱失稳造成18 人死亡和19 人受伤,井下支柱、通风管路和密闭墙被破坏,强烈的冲击波将井下通风井的防爆门摧毁,且井下主变电站永久报废,地表的塌陷面积约为163 000 m2,垮塌深度为0.5~1.0 m,地表裂缝宽度为0.3~1.0 m雁崖煤矿 11 号煤层301E 盘区短壁法开采,埋深平均为130 m,开采高度为6.0~7.0 m,煤柱留设比例为19.5%井下遗留群柱失稳区域的面积大约为17 490 m2,回风巷道中50 多个木棚被破坏,地表塌陷的面积为7 850 m2,形成了多条环形裂缝,最大沉陷深度为4.0 m马脊梁煤矿 2 号煤层402 盘区刀柱式开采,埋深为55.8~106.0 m, 开采高度为6.0~6.7 m,煤柱宽度5 m,柱采区域宽度为25 m,煤柱留设比例为19.4%井下失稳面积为151 280 m2,占整个盘区面积的82.83%,地面形成了一个椭圆形的沉降区,最大沉降深度为0.7 m,面积约79 103 m2,其周围形成13 条宏观裂缝,最大宽度为3.6 m,井下8207 和8209工作面均被摧毁,3 座2 m 厚的密闭墙被毁坏,质量为180 kg 的输送溜槽被吹飞16 m,在失稳盘区50 km 以外的地方,监测到里氏3.2 级的矿震,相应区域的地表窗户被破坏白洞煤矿 11 号煤层仓房式开采,埋深平均为80 m,平均采高为3.7 m,煤柱留设比例低于30%大规模的地表塌陷持续了160 s,地表沉降区域的长度和宽度分别为532 m 和310 m,面积约为529 104 m2,最大沉降量为1 m,且形成了34 条环形裂缝,3 996 m2 的地面建筑物发生了倒塌,29 794 m2的建筑物遭受破坏,6 个地震台站监测到里氏2.7 级矿震晋华宫煤矿 — 房柱式开采 邻近青磁窑煤矿遭受严重影响,且发生冒顶事故,造成8 人死亡,引发了较为严重的地面塌陷,监测到里氏3.9 级矿震黄土坡煤矿 2 号煤层短壁刀柱式开采和穿巷法开采,开采深度约为30~40 m,采高平均为3.2 m遗留群柱大规模失稳导致20 死40 余伤,地表工业广场发生塌陷,矿调度楼、机修厂、锅炉房、仓库和部分职工住宅房屋倒塌,地表形成了数十条环形裂缝,其宽度为0.5~0.6 m,地表垮塌面积约为289 104 m2,且最大沉陷深度为2.2 m忻州窑煤矿 11 号煤层 柱式老采空区,采深为30~100 m地表垮塌面积约为128 000 m2,地表最大塌陷深度为5 m,后续又分别发生了5 起不同规模的塌陷,地表裂缝的最大宽度为5 m

在内在物理力学性质方面,遗留煤柱的差异性主要表现在:

(1)尺寸的差异性。先期开采普遍采用刀柱式、房柱式、条带式、短壁式、巷采式、仓房式、跳采式或房式等落后的开采方法[39-40],导致不同层位(甚至同一层位的不同区域)遗留煤柱的宽度、长度和高度等存在较大的差异。

(2)形态的差异性。煤矿采空区不同区位遗留煤柱的形态主要有长条状、墩柱状、平行六面体状、刀把状和圆柱状等[41]

(3)强度的差异性。一方面,不同区位遗留煤柱内部的物质组分有所差异,导致强度迥异;另一方面,采动损伤、自然风化、积水浸蚀等对遗留煤柱的劣化效应不同[42],使得其强度表现出较大的差异。

(4)不连续结构面的差异性。遗留煤柱中包含有节理、割理和断层等不连续面。采空区不同区位遗留煤柱中不连续面的数量、角度和贯通程度等均有差异[43]。

在外在环境因素方面,遗留煤柱的差异性主要表现在:

(1)覆盖层载荷的差异性。一方面,水平地貌条件下不同层位遗留煤柱由于埋深的不同,承担的覆岩载荷必然有所区别[37-38];另一方面,冲沟发育地貌条件下同一层位不同位置遗留煤柱承担的载荷也有巨大的差异[44-45]。此外,煤矿采空区遗留煤柱所承担的地表建筑载荷和堆积物载荷等也有许多不同[46],进而导致覆盖层载荷的多样性。

(2)扰动载荷的差异性。一方面,相同层位邻近采掘活动会引发强弱不一的扰动载荷;另一方面,邻近近距离煤层开采方法、推进速率及层间距等的不同会导致扰动载荷的差异性[6-7,47]

(3)自然风化程度的差异性。煤矿采空区不同区位遗留煤柱的外露面有所差异,即遗留煤柱所经受的自然风化面积不同;同时,邻近煤层开采通风的影响会有差异,使得遗留煤柱所经历的自然风化程度也不尽相同[48]

(4)积水浸蚀程度的差异性。一方面,煤矿采空区不同区位的积水情况不同,有的区位中会分布有积水,有的区位无任何积水,这就使得不同区位遗留煤柱受积水浸蚀的劣化程度有所差异。另一方面,采空区积水水位的高度和水质等都会有所差异,使得不同区位遗留煤柱受积水浸蚀的程度表现出明显的多样性[49]

(5)煤岩界面的差异性。采空区不同层位遗留煤柱围岩的岩性有所差异,在煤岩交界面附近产生的摩擦力也有所区别:正作用摩擦力会限制煤层顶底板区域发生横向扩张,进而形成三轴应力状态,可以提高遗留煤柱的强度;负作用摩擦力会使得煤层顶底板岩层发生拉伸破坏,形成张性应力状态,进而降低遗留煤柱的强度[50]

上述差异导致采空区遗留群柱的破坏呈现出多样化的失稳致灾模式,比如:强度主控型失稳致灾模式、模量主控型失稳致灾模式、尺寸主控型失稳致灾模式、结构面主控型失稳致灾模式和外在载荷主控型失稳致灾模式等。

虽然采空区遗留群柱拥有众多的失稳致灾模式,但是其链式失稳通常最先发生在稳定性最弱的遗留煤柱中,即稳定性最弱遗留煤柱的局部失稳是采场遗留群柱链式失稳的源头。基于此,笔者提出了遗留群柱的“最弱失稳致灾模式”,它是指:遗留群柱体系中局部失稳最早出现的失稳致灾模式,或者遗留群柱体系中稳定性最弱遗留煤柱的失稳致灾模式。

“最弱失稳致灾模式”的核心原理是:采空区稳定性最弱的遗留煤柱决定着遗留群柱体系的整体承载能力和链式破坏的发展方向。最弱失稳致灾模式的发生是遗留群柱链式失稳发生的基本前提。该模式认为:采空区遗留群柱体系中任一失稳致灾模式发生时,最弱失稳致灾模式必然已经发生,即遗留群柱体系发生链式失稳时,稳定性最弱的遗留煤柱必然发生了失稳。同时,最弱失稳致灾模式发生时,采场遗留群柱体系并不一定会发生整体失稳。最弱失稳致灾模式不发生时,采场遗留群柱体系的整体稳定性一定非常良好。因此,认清遗留群柱的最弱失稳致灾模式,是揭示煤矿采空区遗留群柱链式失稳机理最基本的出发点。

2 关键柱的基本概念与特征

基于遗留群柱的最弱失稳致灾模式,笔者将采空区中最先可能发生局部失稳的遗留煤柱称为“关键柱”。此时,关键柱邻近区域稳定性稍强的遗留煤柱可以称为“次关键柱”。

“关键柱”之所以“关键”,是因为唯有采空区“关键柱”发生局部失稳,邻近区域稳定性稍强的遗留煤柱的失稳破坏才可能被活化,采场遗留群柱的链式失稳(多米诺骨牌失稳)也才可能发生。换言之,如果采空区“关键柱”不发生局部失稳,邻近范围稳定性稍强的遗留煤柱一定不会发生破坏,采场遗留群柱的链式失稳也更不可能发生。

采空区遗留群柱中的“关键柱”通常具有以下特征:①几何特征:其他条件一定时,宽高比相对最小的遗留煤柱通常为采空区遗留群柱中的“关键柱”;②强度特征:其他条件一定时,单轴抗压强度最小的遗留煤柱通常为采空区遗留群柱中的“关键柱”;③不连续结构面特征:其他条件一定时,含不连续结构面最多的遗留煤柱通常为采空区遗留群柱中的“关键柱”;④承载特征:其他条件一定时,承担外在载荷最多的遗留煤柱通常为采空区遗留群柱中的“关键柱”;⑤失稳特征:“关键柱”的局部失稳可能会引发邻近区域部分或全部遗留煤柱的失稳破坏,即可能引发采空区大范围遗留群柱的链式破坏。“关键柱”不发生局部失稳,采空区大规模遗留群柱的“多米诺骨牌”失稳一定不会出现。

3 关键柱的判别方法与原则

“关键柱”是采空区遗留群柱中的最薄弱环节。“关键柱”局部失稳是遗留群柱体系链式失稳的“导火索”。因此,在遗留群柱的长期稳定性防控方面,必须尽早掐断这一导火索,进而将“关键柱局部失稳”扼杀在摇篮之中。这就要求我们从采空区众多的遗留群柱中精准定位并判别出哪一个遗留煤柱为“关键柱”,以便采取相应的稳定性强化措施,进而保障采场的长期稳定。因此,关键柱的判别是遗留群柱失稳防控最核心的问题之一。笔者提出了关键柱判别的新方法,包含6 个步骤:

步骤1:充分利用矿井原有地质技术资料,借助补充勘探等技术手段,调研圈定研究范围内采空区遗留群柱的分布层位、位置、形态及尺寸等,绘制出遗留煤柱群分布的剖面图,并依次编号。

步骤2:基于步骤1 获取的遗留煤柱的几何参数,钻孔取芯确定相应遗留煤柱试样的单轴抗压强度,运用表 2 呈现的遗留煤柱强度计算公式[37-38,51-54],分别求得不同公式情形下遗留煤柱的强度,并确定其最小值min{σpi}(i=1,2,…,m)。

表2 遗留煤柱强度计算的主要公式[37-38,51-54]
Table 2 Main formulas for calculating the strength of residua coal pillar[37-38,51-54]

注:w 为遗留煤柱的宽度;h 为遗留煤柱的高度;n 为遗留煤柱的形态因子,当宽高比大于5 时,n=1.4,当宽高比小于5 时,n=1;σc 为立方体遗留煤柱试样的单轴抗压强度;D 为立方体遗留煤柱试样的边长,也可以是圆柱体试样的直径。

代表人物年份 遗留煤柱强度计算公式OBERT-DWVAL,WANG 1967 σp = σc 0.778 + 0.222 w h( )BIENIAWSKI-HAIRTON 1969 1975 σp = σc 0.64 + 0.36 w h( )n HOLLAND 1973 σp = σc wh SALAMON-MUNRO 1976 σp = 7.2 w0.46 h0.66 HUSTRULID 1976 σp = σc D 0.9,(h ≥0.9 m);σp = σc D h ,(h < 0.9 m)NSWU 1996 σp = 8.6 w0.51 h0.84, w h < 3( )σp =8.6 w 2w l + w( )w-1 3h[ ]0.51 h0.84, 3 ≤ w h < 5( )σp =27.63 2w l + w( )w-1 3h[ ]0.51{0.29[(w/5h)2.5 - 1] + 1}w0.22h0.11, 5 ≤ w h < 6( )σp =27.63 2w l + w( )0.51{0.29[(w/5h)2.5 - 1] + 1}w0.22h0.11, w h > 6( )

步骤3:分别获取柱采区域的宽度、采出率、覆岩厚度、平均体积力等参数,计算出圈定范围内各个遗留煤柱承载的载荷Spi(i=1,2,…,m)。

步骤4:根据步骤2 和3 中所述的遗留煤柱自身的强度和承担的载荷,运用式(1),分别计算采空区不同区位遗留煤柱稳定性的安全系数。

步骤5:依次比较采空区各个遗留煤柱稳定性的安全系数,确定其最小值min{Fp1,Fp2,…,Fpi}。

步骤6:将步骤5 中安全系数最小的遗留煤柱判定为采空区遗留群柱中的“关键柱”。

需要指出,在判别采空区遗留群柱中“关键柱”的时候,应该遵循4 个原则:

(1)区域性判别原则。采空区遗留群柱中关键柱的位置与圈定的研究区位密切相关。在特定层位上,采区范围内关键柱的位置与盘区范围内关键柱的位置不一定相同。在不同层位上,双层复合采空区中关键柱的位置与3 层复合采空区中关键柱的位置也不一定相同。因此,在判别关键柱位置时,一定要遵循区域性原则。

(2)相对性判别原则。遗留群柱中的“关键柱”是相对邻近“次关键柱”而言的。在不同开采时期和载荷条件下,“关键柱”并不是一成不变的,即其位置可能会发生调整,进而演变为“次关键柱”。换而言之,遗留群柱中“关键柱”是一个相对的概念。因此,在判别采空区遗留群柱中的关键柱时,需要遵循相对性的基本原则。

(3)动态性判别原则。关键柱局部失稳后,邻近区域遗留群柱可能会继续保持稳定,也可能会发生局部或全部的失稳。当关键柱局部失稳能带动邻近区域遗留群柱的全部失稳时,认为该关键柱为遗留群柱体系中唯一的“薄弱环节”。当关键柱局部失稳未能带动邻近区域遗留群柱的全部失稳时,就需要在未发生失稳破坏的“次关键柱”中重新识别定位新的“关键柱”,并进一步分析其引发“链式失稳”的可能性。这就要求我们在判别遗留群柱中的关键柱时,一定要遵循动态性的基本原则。

(4)复合性判别原则。群柱体系中最早可能有两个或多个遗留煤柱发生同步局部失稳,即这些遗留煤柱的安全系数均最小且非常接近。也就是说,遗留群柱中可能存在多个关键柱,进而形成“复合关键柱”。在同一层位上,复合关键柱不仅可能是相邻遗留煤柱的组合,还可能是间隔遗留煤柱的组合。在不同层位上,复合关键柱不仅可能是重叠式遗留煤柱的组合,还可能是错位式遗留煤柱的组合。复合关键柱的同步局部失稳更容易引发邻近区域遗留煤柱的失稳,更可能带动整个群柱体系的链式破坏,所造成的失稳影响程度也更强烈。这就要求我们在判别遗留群柱的关键柱时,一定要关注其复合效应,进而实现复合关键柱位置的精准识别。

4 关键柱局部失稳的诱灾机理

关键柱的局部失稳可能会引发邻近遗留群柱的链式破坏与失稳。那么,深藏在该现象背后的本质机理是什么呢? 笔者认为:关键柱局部失稳引发的载荷转移是邻近遗留群柱链式破坏的本质原因。

选定复合采空区遗留群柱为研究对象(图2),运用结构力学的基础理论,构建遗留群柱-覆岩结构体系的力学模型,分析上位/下位采空区关键柱与邻近遗留煤柱的载荷关系,并探讨相应区域关键柱局部失稳诱发的载荷响应特征[55]

图2 复合采空区遗留群柱-覆岩结构体系示意
Fig.2 System of residual coal pillars and overburden structure in the compound mining area

4.1 遗留群柱-覆岩结构体系力学模型

假设图2中上位采空区的关键柱为遗留煤柱C,下位采空区的关键柱为遗留煤柱C′。此时,上位遗留群柱主要承受上覆岩层产生的载荷,下位遗留群柱不仅承受层间岩层产生的载荷,还承受上位遗留煤柱所传递下来的载荷。

4.1.1 上位遗留群柱-覆岩结构体系力学模型

根据上位遗留煤柱的承载特性,本文将上位“遗留群柱-覆岩”的耦合承载体系简化为如图3所示的多跨连续梁力学模型。图中共包含5 个支座,从左往右依次编号为:A,B,C,D 和E,分别代表上位采空区中的遗留煤柱,其中C 支座代表上位关键柱。各支座的垂直中心线与遗留煤柱的垂直中心线重合,相邻支座的间距l 相等,且与邻近遗留煤柱垂直中心线的间距相同。支座上方的梁表示上位遗留群柱的顶板岩层,承受的覆岩载荷为q1

图3中上位“遗留群柱-覆岩”承载体系的力学模型为超静定结构模型。运用力法的基本原理与思路,把相应超静定结构模型中多余约束解除,并将上述结构模型转化为静定结构模型,如图4所示。图中X1,X2X3 分别为代替B,C 和D 支座中多余约束的未知力矩。

图3 上位“遗留群柱-覆岩”承载体系的超静定力学模型
Fig.3 Statically static mechanical model of upper“residual pillar-overburden” bearing system

4.1.2 下位遗留群柱-覆岩结构体系力学模型

图4 上位“遗留群柱-覆岩”承载体系的静定力学模型
Fig.4 Static mechanical model of upper “residual pillar-overburden” bearing system

根据下位遗留煤柱的承载特性,本文将下位“遗留群柱-覆岩”的耦合承载体系简化为如图5所示的多跨连续梁力学模型[55]。图中也包含5 个支座,从左往右依次编号为:A′,B′,C′,D′和E′,分别代表下位采空区中遗留煤柱,其中C′支座代表下位关键柱。各支座的垂直中心线与遗留煤柱的垂直中心线重合,相邻支座的间距l 相等,且与邻近遗留煤柱垂直中心线的间距相同。支座上方的梁表示下位遗留群柱的顶板岩层。支座上方的梁不仅承受层间岩层产生的载荷q2,还承受上位支座(遗留煤柱)所传递下来的载荷F

图5 下位“遗留群柱-覆岩”承载体系的超静定力学模型
Fig.5 Statically static mechanical model of bottom “residual pillar-overburden” bearing system

本文分别用FA,FB,FC,FDFE 表示上位采空区A,B,C,D 和E 支座所承担的载荷。由于上位支座产生的载荷在层间岩层中传递时会产生一定的衰减(衰减系数为k),因此本文将上位支座所传递下来的载荷分别表示为kFA,kFB,kFC,kFDkFE(需要指出,这里仅指载荷的大小,不含方向)。

图5中下位“遗留群柱-覆岩”承载体系的力学模型为超静定结构模型。本文运用力法的基本原理与思路,把相应超静定结构模型中多余的约束解除,并将图5中的结构模型转化为静定结构模型,如图6所示。图中X′1,X′2X′3分别为代替B′,C′和D′支座中多余约束的未知力矩。

图6 下位“遗留群柱-覆岩”承载体系的静定力学模型
Fig.6 Static mechanical model of bottom “residual pillar-overburden” bearing system

4.2 关键柱与邻近遗留煤柱的载荷关系

4.2.1 上位关键柱与邻近煤柱的载荷关系

为了分析上位关键柱与邻近遗留群柱载荷之间的相互关系,本文将图4中力学模型中的关键柱C用支反力F1 来代替,如图7所示。

图7 上位“遗留群柱-覆岩”承载体系的简化力学模型
Fig.7 Simplified mechanical model of upper “residual pillar-overburden” bearing system

利用力法求解,可以列出上位“遗留群柱-覆岩”承载体系结构模型的典型方程组:

式中,δij 为单位多余未知力矩在=1 独立作用时所引起的沿Xi 方向的位移,m;ΔnP 为上位基本结构在载荷作用下沿着Xn 方向的位移,m;X1X3 分别为代替上位连续梁模型B 支座和D 支座中多余约束的未知力矩,N·m。

分别作只有X1,X3,q1F1 作用时上位结构模型的弯矩图,如图8所示。

利用图乘法,分别求解列出方程组(2)系数δ11,δ13,Δ1P,δ31,δ33Δ3P 的值。

式中,E 为梁的弹性模量;I 为梁的截面惯性矩。

将式(3),(4)和(5)代入方程组(2)中,可以求解得到:上位采空区结构模型下方B 支座和D 支座处的弯矩为

由此,可以列出B 支座左侧的弯矩平衡方程:

将式(7)代入式(6)中,可以求解得到支座A 处的承载力FA

图8 上位结构模型的弯矩
Fig.8 Bending moment diagram of upper structure model

由于A 支座和E 支座到关键支座C 的水平距离相等,根据上位结构模型的对称性,可以得到支座E处的承载力FE

然后,列出上位结构模型整体承载力的平衡方程:

将式(9)代入式(10)中,并根据上位连续梁的对称性,可以求解得到支座B 和D 处的承载力FBFD :

综上,上位采空区中关键柱C 与邻近煤柱的载荷关系为

由此可知:

(1)上位关键柱C 邻近遗留煤柱的受力特性与上覆岩层产生的载荷q1、关键柱载荷的大小F1 和梁的跨度l 密切相关。

(2)由于邻近遗留煤柱B 和D 到关键柱C 的水平距离相等,二者承担的载荷呈现出明显的对称等效特性。同理,遗留煤柱A 和E 所承担的载荷也表现出对称等效特性。

(3)当上覆岩层的载荷q1 和梁的跨度l 一定时,邻近遗留煤柱B 和D 承担的载荷与上位关键柱C 的载荷F1 呈现负相关的关系,负相关系数为-11/16。

(4)当上覆岩层的载荷q1 和梁的跨度l 一定时,邻近遗留煤柱A 和E 承担的载荷与上位关键柱C 的载荷F1 呈现出正相关的关系,正相关系数为3/16。

4.2.2 下位关键柱与邻近煤柱的载荷关系

为了分析下位关键柱与邻近遗留群柱之间的载荷关系,本文将图6中下位“遗留群柱-覆岩”结构模型中的关键柱C′用支反力F2 代替,如图9所示。

图9 下位“遗留群柱-覆岩”承载体系的简化力学模型
Fig.9 Simplified mechanical model of bottom “residual pillar-overburden” bearing system

利用力法求解,可以列出下位“遗留群柱-覆岩”承载结构模型的典型方程组:

式中,δi′j′为单位多余未知力矩在=1 独立作用时所引起的沿Xi′方向的位移,m;Δn′P 为基本体系在载荷作用下沿着Xn′方向的位移,m;X1X3分别为代替下位结构模型B′支座和D′支座中多余约束的未知力矩,N·m。

分别作出只有X1,X3,q2F2 作用时下位结构模型的弯矩图,如图10所示。

图10 下位结构模型的弯矩
Fig.10 Bending moment diagram of bottom structure model

利用图乘法,分别求解列出方程组(13)中系数δ11,δ13,Δ1′P,δ31,δ33Δ3′P 的值:

将式(14)~(16)代入式(13)中,可以求解得到下位连续梁B′支座和D′支座处的弯矩为

基于此,可以列出B′支座左侧的弯矩平衡方程:

将式(17)代入式(18)中,可以求解得到支座A′的承载力FA′

此时,根据下位结构模型的对称性,可以得到支座E′处的承载力FE′:

然后,列出下位结构模型整体承载力的平衡方程:

将式(20)代入式(21)中,并根据下位结构模型的对称性,可以求解得到B′支座和D′支座的承载力FB′FD′:

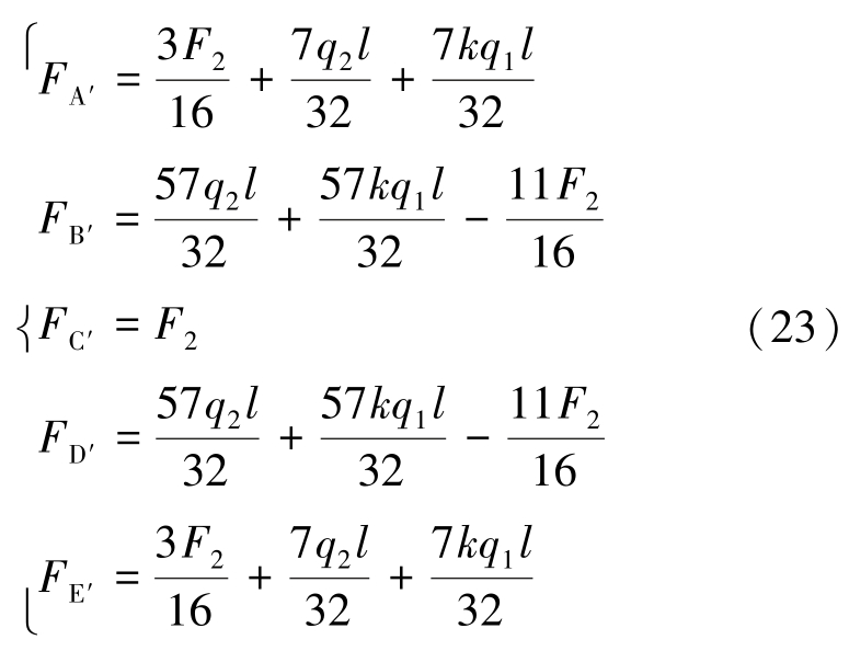
综上,下位采空区中关键柱C′与邻近煤柱的载荷关系为

由此可知:

(1)下位采空区关键柱C′邻近遗留煤柱的受力特性与上位采空区覆岩载荷q1、层间岩层载荷q2、关键柱C′载荷的大小F2、上覆遗留煤柱载荷在层间岩层中的衰减系数k 和梁的跨度l 密切相关。

(2)由于邻近遗留煤柱B′和D′支到关键柱C′的水平距离相等,二者承担的载荷呈现出明显的对称等效特性。同理,遗留煤柱A′和E′所承担的载荷也表现出明显的对称等效特性。

(3)当上位采空区覆岩载荷q1、层间岩层载荷q2、上覆遗留煤柱载荷在层间岩层中的衰减系数k 和梁的跨度l 一定时,邻近遗留煤柱B′和D′承担的载荷随着下位关键柱C′载荷F2 呈现负相关关系,负相关系数为-11/16。

(4)当上位采空区覆岩载荷q1、层间岩层载荷q2、上覆遗留煤柱载荷在层间岩层中的衰减系数k 和梁的跨度l 一定时,邻近遗留煤柱A′和E′承担的载荷随着下位关键柱C′载荷F2 呈现正相关关系,正相关系数为3/16。

4.3 关键柱局部失稳的载荷响应特征

上位关键柱C 在局部失稳过程中,自身所承担的载荷F1 会逐渐减小。根据式(12)中上位关键柱与邻近煤柱的载荷关系,遗留煤柱B 和D 承担的载荷会随着F1 的减小逐渐增大,即关键柱C 局部失稳会引发载荷向邻近遗留煤柱B 和D 中转移。当上位关键柱C 完全失稳时,其所承担的载荷F1 减小至0。此时,上位关键柱邻近的遗留煤柱B 和D 承担的载荷达到最大。如果遗留煤柱B 和D 承担的载荷达到其自身极限强度,就会引发进一步的失稳破坏。在此之后,覆岩的载荷会转移扩散到遗留煤柱A 和E 中,进而可能会引发整个上位群柱体系的链式失稳。

同样地,根据式(23)可知:遗留煤柱B′和D′承担的载荷随着下位关键柱C′载荷F2 的减小会逐渐增大,即关键柱C′局部失稳会引发载荷向邻近遗留煤柱B′和D′中转移。当下位关键柱C′完全失稳时,其所承担的载荷F2 减小至0。此时,下位关键柱邻近的遗留煤柱B′和D′承担的载荷达到最大。当遗留煤柱B′和D′承担的载荷超过其自身极限强度时,就会引发进一步的失稳破坏。在此之后,上位遗留煤柱传递的载荷和层间岩层产生的载荷会扩散到邻近遗留煤柱A′和E′中,进而可能会引发整个下位群柱体系的链式失稳。

综上,无论对于上位遗留群柱还是下位遗留群柱,关键柱的局部失稳都会引发覆岩载荷向最邻近的遗留煤柱中转移与扩散,引发进一步的失稳破坏,并最终可能引发遗留群柱体系的多米诺链式失稳。这便是关键柱局部失稳的诱灾机理。

5 关键柱理论的应用展望

5.1 柱采区邻近煤层开采

柱式采空区上覆蹬空煤层分布广泛,具有良好的开采价值。柱式采空区“遗留群柱-控制层”结构体系的稳定性是蹬空煤层安全高效开采的核心保障[1,40]。在这个耦合承载体系中,层间岩层中的控制层主要依靠下伏采空区中的遗留群柱所支撑。当下伏采空区中遗留群柱发生局部或整体失稳时,层间岩层中控制层结构的稳定性也会受到影响,进一步威胁蹬空煤层的安全开采。因此,非常有必要在蹬空煤层开采之前,运用关键柱理论识别出下伏采空区遗留群柱中最先可能发生局部失稳的煤柱,进而采取相应的失稳防控措施,来保障遗留群柱体系的整体稳定性,进一步强化层间岩层中控制层的稳定性,并实现上覆蹬空煤层的安全开采。

柱式采空区的下方通常分布有许多的可采煤层,其与上覆柱式采空区的层间距较小,会引发显著的采掘扰动影响[6-7],主要表现在以下2 个方面:①随着下伏煤体的逐渐采出,上覆柱式采空区中遗留煤柱会失去支撑而发生失稳;②下伏煤层开采形成的超前支承压力逐渐演变,会在柱式采空区遗留煤柱中形成应力集中区,进而诱发超前失稳等事故[44]。因此,在开展柱式采空区下伏煤层开采时,必须运用关键柱理论动态关注上覆单层或多层采空区中遗留群柱的稳定性,采取针对性的防控措施,避免“关键柱”超前局部失稳而诱发上覆采空区遗留群柱的链式失稳,并保障下伏煤层的安全开采。

复合柱式采动影响下中层遗煤开采也会运用到关键柱理论。一方面,复合柱式采空区重叠式遗留群柱本来就形成了叠加应力集中区;另一方面,中层遗煤开采时工作面前方形成的支承压力,会进一步形成扰动影响。此时,复合柱式采空区中“关键柱”发生局部失稳的概率会增大,遗留群柱体系的整体稳定性会受到威胁,并进一步对中层遗煤的安全开采造成影响[2,56-57]。如果运用关键柱理论判别出复合采空区遗留群柱中最先可能发生局部失稳的煤柱,并采取针对性的失稳防控技术措施,可以保障中层遗煤的安全开采。

5.2 采场强矿压控制

采场强矿压控制是煤炭资源安全开采的基本保障。目前,在开采过程中遇到强矿压时,主要选用钻孔卸压法、深孔爆破法、低温液氮预裂法、等离子体预裂法、微波加热预裂法、水力压裂法及地面压裂法等,来削弱采场强矿压,进而保障安全开采[58]

上述消减方法有的作用于采场厚硬难垮顶板中,有的作用于采场遗留煤柱中[59]。针对后者,目前的处理方式并没有区分遗留群柱的差异性。然而,该方法并不完全合理,其原因是:当强矿压消减技术的作用对象为遗留群柱中的关键柱时,预裂钻孔在形成过程中会对遗留煤柱产生震动损伤与破坏作用,进而劣化其强度;一旦关键柱发生失稳破坏,就会影响邻近遗留群柱体系的整体稳定性,并威胁安全生产。

因此,需要运用关键柱理论判别出强矿压分布区遗留群柱中最可能先发生失稳的煤柱,然后规避开“关键柱”来实施预裂等技术措施,进而消减采场强矿压。

5.3 煤柱留设

对于“三下”优质煤炭资源的开采而言,柱式开采仍是安全高效开采的方法之一。这就会在采场空间中形成尺寸不一、形态多样和密集分布的遗留群柱[60]。此时,遗留煤柱的尺寸必须科学设计与合理留设,否则将会埋下失稳隐患的“种子”。因此,在柱式开采设计时,需要规避采场空间中形成关键柱,并使得采场空间中留设的煤柱群均衡承载且长期稳定。

5.4 充填开采

充填开采可以有效控制覆岩运动与地表沉陷。近年来,为了解决充填材料来源不足和成本较高等技术难题,许多研究学者开发了部分充填、巷旁充填、条带充填、墩柱充填、局部充填、短壁充填、带状充填、间隔充填、柱旁充填、结构充填、功能充填和骨架式充填等技术方法,并在许多煤矿应用推广[61-65]。上述充填开采技术方法难免在采空区中留设有不同尺寸和形态的充填柱,且以群柱的形式分布。此时,采空区中充填群柱尺寸的合理设计是一个值得关注的科学问题。同时,在覆岩载荷、扰动载荷、矿井水浸蚀、硫酸盐腐蚀和氯盐腐蚀等耦合作用下,采空区中遗留充填群柱的强度会逐渐变弱,其稳定性也会变差[66]。也就是说,采空区中遗留充填群柱的失稳防控成为充填开采中又一个亟需关注的技术难题。

因此,非常有必要将关键柱理论运用于充填开采中:一方面,用于指导采空区充填群柱尺寸的优化设计——需要遵循“规避留设/形成关键柱”的基本原则,保证采空区中充填群柱的安全系数均衡;另一方面,用于指导采空区遗留充填群柱的失稳防控——需要运用关键柱的判别技术方法与流程,识别出采空区遗留充填群柱中的“关键柱”,进而采取内置钢筋、掺和纤维、对拉锚索和外置锚网等防控技术措施,避免关键柱发生局部失稳,并保障充填采场的长期稳定性。

5.5 瓦斯抽采

地面钻井穿透遗留煤柱抽采多层老空区瓦斯的方法可以提高煤矿老空区中残留瓦斯的抽采效率,并取得了良好的效果[67-68]。然而,该技术在布置老空区中的穿柱钻井时,并未区分遗留煤柱的稳定性差异。如果老空区中某遗留煤柱的稳定性安全系数最小,再采取上述方法将其压裂,会加速其局部失稳,并可能产生联动破坏。

因此,在布置老空区中穿柱抽采钻孔前,首先运用关键柱理论判别出老空区遗留群柱中最可能先发生失稳破坏的煤柱,然后规避开“关键柱”,进而避免钻井震动和压裂作业等引发关键柱的局部失稳,并提高瓦斯的抽采效率。

5.6 水害防治

隔水控制层是地下开采中防止水害发生的重要屏障,其通常由采空区中遗留群柱的支撑来保障长期稳定性。一旦局部或全部区域煤柱发生失稳,隔水控制层就会受到损伤破坏,进而形成多条积水渗流通道,可能引发突水水害等事故[69]。因此,维持地下采空区中遗留群柱体系的整体稳定性是煤矿水害防治的基本前提。这就要求我们:运用关键柱理论,识别出采空区中最可能先发生失稳的煤柱,然后采取柱旁充填等技术措施强化“关键柱”的稳定性,使其与邻近遗留煤柱实现均衡承载,进而保障采场隔水控制层结构的长期稳定性,并避免水害的发生。

关键柱理论还可以用于指导煤矿地下水库中煤柱坝体和人工坝体的失稳防控,二者是维持地下水库长期稳定性的核心承载体[70-72]。借助关键柱理论,可以指导煤柱坝体和人工坝体的科学设计,进而保障煤矿地下水库的长期稳定性。

总之,关键柱理论在煤矿地下开采中潜在应用的领域与范围较广,其还能推广应用于非煤矿山资源开采矿柱群的链式失稳防控等领域。

6 结 论

(1)遗留煤柱内在物理力学性质和外在环境因素等的差异性,导致采场遗留群柱呈现出最弱失稳致灾模式。采空区遗留群柱体系中任一失稳致灾模式发生时,最弱失稳致灾模式必然已经发生。同时,最弱失稳致灾模式发生时,采场遗留群柱体系并不一定会发生链式失稳。最弱失稳致灾模式不发生时,采场遗留群柱体系的整体稳定性一定非常良好。

(2)基于遗留群柱的最弱失稳致灾模式,界定了关键柱的基本概念:采空区中最先可能发生局部失稳的遗留煤柱。“关键柱”之所以“关键”,是因为唯有采空区“关键柱”发生局部失稳,邻近区域稳定性稍强遗留煤柱的失稳破坏才可能被活化,采场遗留煤柱群的链式失稳也才可能发生。

(3)提出了遗留群柱中关键柱判别的技术方法——安全系数最小的遗留煤柱可以判别为煤柱群体系中的“关键柱”;在进行关键柱判别的时候需要遵循区域性、相对性、动态性和复合性等四大原则。

(4)根据关键柱与邻近遗留煤柱的载荷关系,发现关键柱载荷的逐渐减小会引发最邻近遗留煤柱承担的载荷线性增大,即关键柱的局部失稳会促使覆岩载荷向最邻近的遗留煤柱中转移与扩散,导致进一步的失稳破坏,并最终可能引发遗留群柱体系的“多米诺”链式失稳。

(5)关键柱理论不仅可以用于柱采区邻近煤层开采、强矿压控制、煤柱留设、充填开采、瓦斯抽采和水害防治等技术领域,还能推广应用于非煤矿山矿柱群的链式失稳防控等领域。

参考文献(References):

[1] 冯国瑞,张玉江,戚庭野,等.中国遗煤开采现状及研究进展[J].煤炭学报,2020,45(1):151-159.FENG Guorui,ZHANG Yujiang,QI Tingye,et al.Status and research progress for residual coal mining in China[J].Journal of China Coal Society,2020,45(1):151-159.

[2] 白锦文.复合残采区遗留群柱失稳致灾机理与防控研究[D].太原:太原理工大学,2019:1-4.BAI Jinwen.Research on the instability mechanism and prevention of residual coal pillars in the composite remining areas[D].Taiyuan:Taiyuan University of Technology,2019:1-4.

[3] CUI Ximin,GAO Yongge,YUAN Debao.Sudden surface collapse disasters caused by shallow partial mining in Datong coalfield,China[J].Natural Hazards,2014,74(2):911-929.

[4] 于斌,霍丙杰.多层叠加煤柱覆岩结构特征及对下伏煤层矿压显现影响[J].岩石力学与工程学报,2017,36(S1):3374-3381.YU Bin,HUO Bingjie.Structure characteristics of multi-layer superimposed coal pillar and its influence on strata behavior for underlying coal seam[J].Chinese Journal of Rock Mechanics and Engineering,2017,36(S1):3374-3381.

[5] 朱志洁,张宏伟,兰天伟,等.重叠煤柱作用下综放采场围岩应力演化规律研究[J].煤炭科学技术,2017,45(3):26-31.ZHU Zhijie,ZHANG Hongwei,LAN Tianwei,et al.Study on surrounding rock stress evolution law of fully-mechanized top coal caving mining face under role of overlapping coal pillars[J].Coal Science and Technology,2017,45(3):26-31.

[6] 王方田.浅埋房式采空区下近距离煤层长壁开采覆岩运动规律及控制[D].徐州:中国矿业大学,2012:5-9.WANG Fangtian.Overlying strata movement laws and ground control of the longwall face mining in the shallow depth seam in proximity beneath a room mining goaf[D].Xuzhou:China University of Mining and Technology,2012:5-9.

[7] 白庆升,屠世浩,王方田,等.浅埋近距离房式煤柱下采动应力演化及致灾机制[J].岩石力学与工程学报,2012,31(S2):3772-3778.BAI Qingsheng,TU Shihao,WANG Fangtian,et al.Stress evolution and induced accidents mechanism in the shallow coal seam in proximity underlying the room mining residual pillars[J].Chinese Journal of Rock Mechanics and Engineering,2012,31(S2):3772 -3778.

[8] GRAY R E.Coal mine subsidence and structure-Mine induced subsidence:Effects on engineered structures[A].The Geotechnical Engineering Division of the American Society of Civil Engineers[C].Nashville:Geotechnical Special Publication,1988:69-86.

[9] KARFAKIS M G.Comprehensive rock engineering:Principles,practice,& projects [M].Oxford:Pergamon Press,1993:451-476.

[10] PRICE D G.Strategies to assess the hazards presented by abandoned room and pillar mines [ J].International Association of Hydrological Sciences,Publication,1995(234):101-106.

[11] TAYLOR J,FOWELL R,WADE L.Effects of abandoned shallow bord-and-pillar coal workings on surface development[J].Mining Technology,2000,109(3):140-145.

[12] CHEKAN G J,MATETIC R J.Interactions between multiple seam longwall and room and pillar operations[R].Bureau of Mines,Pittsburgh,1990.

[13] KAISER P K,TANG C A.Numerical simulation of damage accumulation and seismic energy release during brittle rock failure-Part II:Rib pillar collapse[J].International Journal of Rock Mechanics and Mining Sciences,1998,35(2):123-134.

[14] WANG S Y,SLOAN S W,HUANG M L,et al.Numerical study of failure mechanism of serial and parallel rock pillars[J].Rock Mechanics and Rock Engineering,2011,44(2):179-198.

[15] AL Heib M,DUVAL C,THEOLEYRE F,et al.Analysis of the historical collapse of an abandoned underground chalk mine in,1961 in Clamart(Paris,France)[J].Bulletin of Engineering Geology and the Environment,2015,74(3):1001-1018.

[16] TONG L Y,LEO L,AMATYA B,et al.Risk assessment and remediation strategies for highway construction in abandoned coal mine region:lessons learned from Xuzhou,China[J].Bulletin of Engineering Geology and the Environment,2016,75(3):1045-1066.

[17] 张子春.大同煤矿坚硬顶板大面积来压及其冒落特征的探讨[J].冶金安全,1977(2):23-25.ZHANG Zichun.Discussion on large-area rock burst and its caving characteristics of hard roof in Datong coal mine[J].Metallurgical Safety,1977(2):23-25.

[18] 靳钟铭,徐林生.煤矿坚硬顶板控制[M].北京:煤炭工业出版社,1994:5-11.

[19] 柳宏儒.条带充填法煤柱稳定性影响因素数值模拟试验研究[D].沈阳:东北大学,2008:6-9.LIU Hongru.Numerical simulation on coal pillar stability and its influencing factors in condition of strip-filling mining[D].Shenyang:Northeast University,2008:6-9.

[20] 张淑坤,王来贵.局部薄弱煤柱影响下临近煤柱应力分布规律研究[J].广西大学学报(自然科学版),2017,42(1):359-364.ZHANG Shunkun,WANG Laigui.Study on adjacent stress distribution of coal pillars under influence of local weak coal pillars[J].Journal of Guangxi University(Nat Sci Ed),2017,42(1):359-364.

[21] ZHOU Zilong,CHEN Lu,ZHAO Yuan,et al.Experimental and numerical investigation on the bearing and failure mechanism of multiple pillars under overburden[J].Rock Mechanics and Rock Engineering,2017,50(4):995-1010.

[22] 朱卫兵,许家林,陈璐,等.浅埋近距离煤层开采房式煤柱群动态失稳致灾机制[J].煤炭学报,2019,44(2):358-366.ZHU Weibing,XU Jialin,CHEN Lu,et al.Mechanism of disaster induced by dynamic instability of coal pillar group in room-and-pillar mining of shallow and close coal seams[J].Journal of China Coal Society,2019,44(2):358-366.

[23] ZHU Weibing,CHEN Lu,ZHOU Zilong,et al.Failure propagation of pillars and roof in a room and pillar mine induced by longwall mining in the lower seam[J].Rock Mechanics and Rock Engineering,2019,52(4):1193-1209.

[24] 彭小沾,崔希民,王家臣,等.基于Voronoi 图的不规则煤柱稳定性分析[J].煤炭学报,2008,33(9):966-970.PENG Xiaozhan,CUI Ximin,WANG Jiachen,et al.Stability analysis of irregular coal pillars based on Voronoi diagram[J].Journal of China Coal Society,2008,33(9):966-970.

[25] 崔希民,逯颖,张兵.基于载荷转移距离和有效宽度的煤柱稳定性评价方法[J].煤炭学报,2017,42(11):2792-2798.CUI Ximin,LU Ying,ZHANG Bing.Pillar stability evaluation based on load transfer distance and pillar effective width[J].Journal of China Coal Society,2017,42(11):2792-2798.

[26] MA Haitao,WANG Jin’an,WANG Yunhai.Study on mechanics and domino effect of large-scale goaf cave-in[J].Safety Science,2012,50(4):689-694.

[27] 王金安,尚新春,刘红,等.采空区坚硬顶板破断机理与灾变塌陷研究[J].煤炭学报,2008,33(8):850-855.WANG Jin’an,SHANG Xinchun,LIU Hong,et al.Study on fracture mechanism and catastrophic collapse of strong roof strata above the mined area[J].Journal of China Coal Society,2008,33(8):850-855.

[28] 郭生茂,刘涛,程刚,等.基于RG 法的空区群矿柱临界破坏条件研究[J].金属矿山,2014,43(8):125-128.GUO Shengmao,LIU Tao,CHENG Gang,et al.Pillar critical failure condition of mined-out zone groups based on RG method[J].Metal Mine,2014,43(8):125-128.

[29] 张淑坤,张向东,孙琦,等.基于重整化群理论的采空区煤柱群临界失稳概率研究[J].中国安全生产科学技术,2016,12(5):104-108.ZHANG Shukun,ZHANG Xiangdong,SUN Qi,et al.Study on critical instability probability of coal pillar group in goaf based on renormalization group theory[J].Journal of Safety Science and Technology,2016,12(5):104-108.

[30] 朱德福,屠世浩,王方田,等.浅埋房式采空区煤柱群稳定性评价[J].煤炭学报,2018,43(2):390-397.ZHU Defu,TU Shihao,WANG Fangtian,et al.Stability evaluation on pillar system of room and pillar mining in goaf at shallow depth seam[J].Journal of China Coal Society,2018,43(2):390-397.

[31] 王中秋.采空区矿柱-顶板体系变形特征及其稳定性分析[D].秦皇岛:燕山大学,2012:13-19.WANG Zhongqiu.Analysis of deformation characteristic and the stability of the roof-pillar system of mined-out areas[D].Qinhuangdao:Yanshan University,2012:13-19.

[32] 屠世浩,窦凤金,万志军,等.浅埋房柱式采空区下近距离煤层综采顶板控制技术[J].煤炭学报,2011,36(3):366-370.TU Shihao,DOU Fengjin,WAN Zhijun,et al.Strata control technology of the fully mechanized face in shallow coal seam close to the above room-and-pillar gob [J].Journal of China Coal Society,2011,36(3):366-370.

[33] 安百富,齐文跃,兰立信,等.西部矿区覆岩-煤柱群失稳临界时间节点研究[J].煤炭学报,2017,42(2):397-403.AN Baifu,QI Wenyue,LAN Lixin,et al.Critical failure time of roof and standing pillars in China western mining area[J].Journal of China Coal Society,2017,42(2):397-403.

[34] 龚新华.缓倾斜薄矿体点柱群稳定性分析及回采方案优化研究[D].昆明:昆明理工大学,2014:8-12.GONG Xinhua.Study on stability analysis of point pillar groups of slowly inclined thin orebody and optimization of mining scheme[D].Kunming:Kunming University of Science and Technology,2014:8-12.

[35] 王同旭,马磊,马文强.煤柱群稳定性综合指数法与模糊评价法综合分析[J].山东科技大学学报(自然科学版),2015,34(4):72-78.WANG Tongxu, MA Lei, MA Wenqiang.Compressive analysis of comprehensive index and fuzzy evaluation of coal pillar’s stability.[ J ].Journal of Shandong University of Science and Technology(Natural Science),2015,34(4):72-78.

[36] 周子龙,王亦凡,柯昌涛.“多米诺骨牌”破坏现象下的矿柱群系统可靠度评价[J].黄金科学技术,2018,26(6):729-735.ZHOU Zilong,WANG Yifan,KE Changtao.Reliability evaluation of pillars system based on domino failure effect[J].Gold Science and Technology,2018,26(6):729-735.

[37] PENG Syd S.煤矿围岩控制[M].北京:科学出版社,2014:124-130.

[38] 彭赐灯.矿山压力与岩层控制研究热点最新进展评述[J].中国矿业大学学报,2015,44(1):1-8.PENG Syd S.Topical areas of research need in ground control:A state of the art review on coal mine ground control[J].Journal of China University of Mining & Technology,2015,44(1):1-8.

[39] 陈绍杰,张俊文,尹大伟,等.充填墙提升煤柱性能机理与数值模拟研究[J].采矿与安全工程学报,2017,34(2):268-275.CHEN Shaojie,ZHANG Junwen,YIN Dawei,et al.Mechanism and numerical simulation of filling walls improving performance of coal pillar[J].Journal of Mining & Safety Engineering,2017,34(2):268-275.

[40] 姜耀东,杨英明,马振乾,等.大面积巷式采空区覆岩破坏机理及上行开采可行性分析[J].煤炭学报,2016,41(4):801-807.JIANG Yaodong,YANG Yingming,MA Zhenqian,et al.Breakage mechanism of roof strata above widespread mined-out area with roadway mining method and feasibility analysis of upward mining[J].Journal of China Coal Society,2016,41(4):801-807.

[41] 王家臣,刘峰,王蕾.煤炭科学开采与开采科学[J].煤炭学报,2016,41(11):2651-2660.WANG Jiachen,LIU Feng,WANG Lei.Sustainable coal mining and mining sciences[J].Journal of China Coal Society,2016,41(11):2651-2660.

[42] 陈田,姚强岭,杜茂,等.浸水次数对煤样裂隙发育损伤的实验研究[J].岩石力学与工程学报,2016,35(S2):3756-3762.CHEN Tian,YAO Qiangling,DU Mao,et al.Experimental research of effect of water intrusion times on crack propagation in coal[J].Chinese Journal of Rock Mechanics and Engineering, 2016,35(S2):3756-3762.

[43] PRASSETYO S H,IRNAWAN M A,SIMANGUNSONG G M,et al.New coal pillar strength formulae considering the effect of interface friction[J].International Journal of Rock Mechanics and Mining Sciences,2019,123:104102.

[44] 朱德福,屠世浩,屠洪盛,等.冲沟地貌间隔式煤柱下采动应力传播规律研究[J].采矿与安全工程学报,2018,35(4):701-707.ZHU Defu,TU Shihao,TU Hongsheng,et al.Analysis of stress propagation mechanism in the interval coal pillars under the gully landform[J].Journal of Mining & Safety Engineering,2018,35(4):701-707.

[45] 王旭锋,张东升,张炜,等.沙土质型冲沟发育区浅埋煤层长壁开采支护阻力的确定[J].煤炭学报,2013,38(2):194-198.WANG Xufeng,ZHANG Dongsheng,ZHANG Wei,et al.Support resistance determination for shallow coal seam longwall mining in sand-soil gullies overlaying mining area[J].Journal of China Coal Society,2013,38(2):194-198.

[46] 朱兴军.建筑物荷载作用下老采空区地表移动变形规律研究[D].淮南:安徽理工大学,2014:12-15.ZHU Xingjun.Study on the law of old goaf surface movement under the building load[D].Huainan:Anhui University of Science and Technology,2014:12-15.

[47] 霍丙杰,范张磊,谢伟,等.浅埋近距离房式采空区下应力场分析及动压机理研究[J].煤炭科学技术,2019,47(1):179-186.HUO Bingjie,FAN Zhanglei,XIE Wei,et al.Stress field analysis and study on dynamic mechanism under goaf of shallow depth and closed distance room and pillar mining[J].Coal Science and Technology,2019,47(1):179-186.

[48] 张辛亥,席光,陈晓坤,等.近距离煤层群开采自燃危险区域划分及自燃预测[J].煤炭学报,2005,30(6):733-736.ZHANG Xinhai,XI Guang,CHEN Xiaokun,et al.Determining spontaneous combustion danger zones and predicting spontaneous combustion during mining near-neighbored coal seams[J].Journal of China Coal Society,2005,30(6):733-736.

[49] 姚强岭,郝琪,陈翔宇,等.煤矿地下水库煤柱坝体宽度设计[J].煤炭学报,2019,44(3):891-899.YAO Qiangling,HAO Qi,CHEN Xiangyu,et al.Design on the width of coal pillar dam in coal mine groundwater reservoir[J].Journal of China Coal Society,2019,44(3):891-899.

[50] 程园新,韩楠楠,丁恩杰,等.基于有效介质理论的煤岩界面识别方法研究[J].煤炭科学技术,2017,45(10):123-128.CHENG Yuanxin,HAN Nannan,DING Enjie,et al.Study on recognition method of coal and rock interface based on effective medium theory[J].Coal Science and Technology,2017,45(10):123-128.

[51] ESTERHUIZEN G S,DOLINAR D R,ELLENBERGER J L.Pillar strength in underground stone mines in the United States[J].International Journal of Rock Mechanics and Mining Sciences,2011,48(1):42-50.

[52] MARTIN C D,MAYBEE W G.The strength of hard-rock pillars[J].International Journal of Rock Mechanics and Mining Sciences,2000,37(8):1239-1246.

[53] MALEKI Hamid.Coal pillar mechanics of violent failure in US Mines[J].International Journal of Mining Science and Technology,2017,27(3):387-392.

[54] GALVIN J M.Ground engineering-principles and practices for underground coal mining[M].Switzerland:Springer,2016:121-179.

[55] 李廉锟.结构力学[M].北京:高等教育出版社,2004:50-55.

[56] 白锦文,冯国瑞,章敏,等.上下柱式开采对中部残煤采场岩层应力分布时空演化的影响[J].煤炭学报,2016,41(8):1896-1904.BAI Jinwen,FENG Guorui,ZHANG Min,et al.Influence of upperbottom pillar mining on temporal and spatial evolution of stress in rock strata around middle residual coal seam[J].Journal of China Coal Society,2016,41(8):1896-1904.

[57] 白锦文.复合刀柱式残采区中部整层弃煤开采岩层控制基础理论研究[D].太原:太原理工大学,2016:75-80.BAI Jinwen.The basic theoretical research of rock strata’s control in mining middle abandoned coal seam with composite pillar residual areas[D].Taiyuan:Taiyuan University of Technology,2016:75-80.

[58] 窦林名,白金正,李许伟,等.基于动静载叠加原理的冲击矿压灾害防治技术研究[J].煤炭科学技术,2018,46(10):1-8.DOU Linming,BAI Jinzheng,LI Xuwei,et al.Study on prevention and control technology of rockburst disaster based on theory of dynamic and static combined load[J].Coal Science and Technology,2018,46(10):1-8.

[59] 高瑞,于斌,孟祥斌.工作面过煤柱强矿压显现机理及地面压裂控制研究[J].采矿与安全工程学报,2018,35(2):324-331.GAO Rui,YU Bin,MENG Xiangbin.Study on the mechanism of strong strata behavior influenced by overlying coal pillar and control technology of ground fracturing[J].Journal of Mining & Safety Engineering,2018,35(2):324-331.

[60] 谭毅,郭文兵,白二虎,等.条带式Wongawilli 开采煤柱失稳覆岩破坏分析[J].煤炭学报,2017,42(7):1656-1662.TAN Yi,GUO Wenbing,BAI Erhu,et al.Overburden failure induced by instability of coal pillar in strip Wongawilli mining[J].Journal of China Coal Society,2017,42(7):1656-1662.

[61] 谭毅,郭文兵,白二虎,等.条带式Wongawilli 煤柱特征及作用机理分析[J].煤炭学报,2019,44(4):1003-1010.TAN Yi,GUO Wenbing,BAI Erhu,et al.Coal pillar characteristics and its mechanism of Strip Wongawilli mining[J].Journal of China Coal Society,2019,44(4):1003-1010.

[62] 冯国瑞,杜献杰,郭育霞,等.结构充填开采基础理论与地下空间利用构想[J].煤炭学报,2019,44(1):74-84.FENG Guorui,DU Xianjie,GUO Yuxia,et al.Basic theory of constructional backfill mining and the underground space utilization concept[J].Journal of China Coal Society,2019,44(1):74-84.

[63] 白二虎,郭文兵,谭毅,等.“条采留巷充填法”绿色协调开采技术[J].煤炭学报,2018,43(S1):21-27.BAI Erhu,GUO Wenbing,TAN Yi,et al.Green coordinated mining technology of strip mining roadway backfilling method[J].Journal of China Coal Society,2018,43(S1):21-27.

[64] 许家林,尤琪,朱卫兵,等.条带充填控制开采沉陷的理论研究[J].煤炭学报,2007,32(2):119-122.XU Jialin,YOU Qi,ZHU Weibing,et al.Theoretical study of stripfilling to control mining subsidence[J].Journal of China Coal Society,2007,32(2):119-122.

[65] 许家林,轩大洋,朱卫兵,等.部分充填采煤技术的研究与实践[J].煤炭学报,2015,40(6):1303-1312.XU Jialin,XUAN Dayang,ZHU Weibing,et al.Study and application of coal mining with partial backfilling[J].Journal of China Coal Society,2015,40(6):1303-1312.

[66] 孙琦,李喜林,卫星,等.矿井水腐蚀对充填膏体强度影响的试验研究[J].硅酸盐通报,2015,34(5):1246-1251.SUN Qi,LI Xilin,WEI Xing,et al.Experimental study on the influence of mine water corrosion over filling paste strength[J].Butlletin of the Chinese Ceramic Society,2015,34(5):1246-1251.

[67] 冯国瑞,李振,张钰亭,等.一种提高地面钻井抽采老空区煤层气抽采量的系统及方法[P].中国:CN105114038A,2015-12-02.

[68] 李振.老空区破碎煤岩体变形与渗流特性研究及在煤层气抽采中的应用[D].太原:太原理工大学,2018:25-27.LI Zhen.Research on the Deformation and seepage characteristics of crushed coal and rock and its application in abandoned coal mine gob methane extraction[D].Taiyuan:Taiyuan University of Technology,2018:25-27.

[69] 冯国瑞,白锦文,杨文博,等.复合采动损伤对层间隔水控制层稳定性的影响[J].煤炭学报,2019,44(3):777-785.FENG Guorui,BAI Jinwen,YANG Wenbo,et al.Influence of multiple mining damage on the stability of water-resisting control strata[J].Journal of China Coal Society,2019,44(3):777-785.

[70] 姚强岭,刘亚鹏,陈田,等.地下水库人工坝体强度损伤演化特征试验研究[J].煤炭学报,2018,43(4):1111-1117.YAO Qiangling,LIU Yapeng,CHEN Tian,et al.Experimental study of damage evolution of artificial dam strength of underground reservoir[J].Journal of China Coal Society,2018,43(4):1111-1117.

[71] YAO Qiangling,CHEN Tian,JU Minghe,et al.Effects of water intrusion on mechanical properties of and crack propagation in coal[J].Rock Mechanics and Rock Engineering,2016,49 (12):4699-4709.

[72] 顾大钊,颜永国,张勇,等.煤矿地下水库煤柱动力响应与稳定性分析[J].煤炭学报,2016,41(7):1589-1597.GU Dazhao,YAN Yongguo,ZHANG Yong,et al.Experimental study and numerical simulation for dynamic response of coal pillars in coal mine underground reservoir[J].Journal of China Coal Society,2016,41(7):1589-1597.

Key pillar theory in the chain failure of residual coal pillars and its application prospect

FENG Guorui1,2,BAI Jinwen1,2,SHI Xudong1,2,QI Tingye1,2,WANG Pengfei1,2,GUO Jun1,2,WANG Shanyong3,KANG Lixun1,2

(1.College of Mining Technology,Taiyuan University of Technology,Taiyuan 030024,China;2.Research Center of Green Mining Engineering Technology inShanxi Province,Taiyuan 030024,China;3.Priority Research Centre for Geotechnical Science & Engineering,the University of Newcastle,Callaghan 2308,Australia)

Abstract:Chain instability of residual coal pillars can lead to the dynamic disaster,such as the overburden caving,surface collapse,dynamic shock,gas leaking and water releasing.Revealing the chain failure mechanism of residual coal pillars is the basic prerequisite for its accurate control.Starting from the chain instability source,the weakest failure model of residual coal pillars was firstly proposed.The basic concept of key pillar was defined and its characteristics was analyzed.The determining method of key pillar was developed and the chain failure of residual coal pillars was revealed.Then,the key pillar theory in the instability of residual coal pillars was formed.At last,the potential application scope and field of key pillar theory was discussed.Results show that ①the differences in the internal physicalmechanical properties and external environmental factors have led to the weakest instability model of residual coal pillars.When any form of instability models appears in the residual coal pillar system,the weakest instability model must have occurred.That is,the coal pillar with the weakest stability factor fails inevitably when the chain instability of pillar system occurs.②The key pillar refers to the pillar that the local instability occurs earliest in the pillar system.Only the local failure of key pillar appears,the collapse of adjacent coal pillars with stronger stability can be activated.And the chain failure of residual pillar system can occur.③The pillar with the smallest safety factor can be determined as the key pillar in the pillar system.Four principles of regionality,relativity,dynamics,and compound should be followed in determining the position of key pillar.④Linear increase of load for the nearest adjacent coal pillar is triggered by the gradual reduction of load for key pillar.That is,the local instability of key pillar will cause the shift of overburden stress,which will transfer to the nearest coal pillars and lead to further instability and damage.Eventually,the chain failure and destruction of residual pillar system may also be caused.⑤The key pillar theory can be used in the fields,such as the adjacent seams mining in the pillar areas,the strong pressure behavior controlling,the coal pillar designing,the backfilling mining,the gas extraction and the water disaster prevention.It can also be applied to the controlling of rock pillars in the non-coal resources mining.The key pillar theory in the instability of residual coal pillars is expected to promote the development of the theories and technologies of Chinese green mining.

Key words:key pillar theory;chain failure;residual coal pillars;weakest instability model;determination method

中图分类号:TD823

文献标志码:A

文章编号:0253-9993(2021)01-0164-16

收稿日期:2020-05-28

修回日期:2020-07-04

责任编辑:钱小静

DOI:10.13225/j.cnki.jccs.2020.0927

基金项目:国家杰出青年科学基金资助项目(51925402);国家自然科学联合基金重点资助项目(U1710258);国家自然科学基金青年科学基金资助项目(52004171)

作者简介:冯国瑞(1976—),男,山西阳城人,教授,博士生导师。Tel:0351-6010177,E-mail:fguorui@163.com

通讯作者:白锦文(1990—),男,山西柳林人,副研究员,博士。E-mail:baijinwen629@sina.com

引用格式:冯国瑞,白锦文,史旭东,等.遗留煤柱群链式失稳的关键柱理论及其应用展望[J].煤炭学报,2021,46(1):164-179.

FENG Guorui,BAI Jinwen,SHI Xudong,et al.Key pillar theory in the chain failure of residual coal pillars and its application prospect[J].Journal of China Coal Society,2021,46(1):164-179.

移动阅读