煤与煤系气地质与勘探

单轴压缩破坏下分层型煤电阻率响应分析

胡千庭1,2,宋明洋1,2,李全贵1,2,吴燕清1,2,许洋铖1,2,张跃兵1,2,邓羿泽1,2

(1.重庆大学 煤矿灾害动力学与控制国家重点实验室,重庆 400044;2.重庆大学 资源与安全学院,重庆 400044)

摘 要:地层电阻率是地球物理勘探考察的重要参数,不同结构煤体受载破坏过程中电阻率变化特征存在差异。建立受载煤样电阻实时测试实验系统,对所压制未分层及不同厚度、不同强度的2 分层型煤试样进行了单轴压缩实验,得出试样破坏过程的力学强度及电阻率变化规律,研究分层界面影响下不同结构型煤的电阻率响应特征。实验结果表明:型煤单轴压缩破坏下的电阻率呈现阶段性变化,未分层试样在压密后存在“U”型变化过程,最低点接近试样应力应变曲线屈服点;不同强度分层试样破坏过程中电阻率曲线先增加后呈现“U”型,破坏后电阻率为初始状态的2~4 倍;不同厚度分层试样破坏过程中电阻率表现为先增后减,两分层厚度差异大的试样厚分层破坏更为剧烈,整体表现出的宏观电阻率值更大。分层试样弹性模量及抗压强度均较未分层试样小,峰值应力处的电阻率变化率为1~2,未分层试样则小于0.5;试样两分层厚度及强度越接近,压缩破坏产生的剥离部分越均匀,更容易产生区域“串-并联”现象,破坏后电阻率变化率越大。煤样本身或分层面空隙骨架的挤压破碎会导致煤层电阻率的增加。分层型煤试样破坏后表现出表面剥离,裂隙均匀连通的破坏形式,根据型煤受载破坏过程得出试样存在“纵向裂隙”和“纵向+横向裂隙”影响下电阻率变化数学模型。两分层及贯通界面的裂隙使试样呈“串-并联”形式连通电路,试样整体电阻率与裂隙电阻率及裂隙体积占比呈正相关。对分层型煤单轴压缩规律的描述反映了部分煤矿区地层物探过程中的电学各向异性特征。

关键词:电阻率;单轴压缩;型煤;各向异性;电法物探

地球物理勘探为矿井生产地质透明化提供技术支撑,能够指导煤炭精准智能开采并有效避免地质灾害发生[1]。其中,电法物探着重关注以电阻率为代表的地层电物理场特征,并以此反映地层信息[2]

煤层电阻率的影响因素研究较为丰富,尺度横跨微观孔隙至宏观裂隙,监测手段多样化。QI 等[3]研究煤的孔隙结构对电阻率影响得到2 者的多元函数关系。孟磊等[4]进行自然原煤试样及型煤试样在单轴压缩破坏过程中电阻率研究发现不同变质程度的煤受载电阻率变化趋势不同,加载速率增加,电阻率变化幅度减小。LYU 等[5]研究认为气体的吸附能力与电导率呈现幂函数的关系。LI 等[6]分析了煤样孔隙-裂缝结构特征及对电阻率各向异性的影响。SU等[7]根据电法探测煤层多套导水裂隙带的研究提出地层存在电性各向异性,对裂缝的综合参数进行表达,提出矿井张量电阻率探测方法。赵晨光等[8]基于电介质理论提出含水煤层复电阻率正交裂隙阻容模型,可预测煤样孔隙率。以上研究可为矿井电法物探的解释提供有力支撑。

完整煤岩样的电阻率及力学破坏特征的研究较为丰富,运用到电法物探手段中解释地质异常情况更加精准[9]。但煤层层理系统普遍存在[10],会对物探产生干扰,使用电法在煤层中探测依然存在多解性问题[11]。为此,相关研究关注到了煤体分层、各向异性等特点。目前,对煤体分层及含裂隙试样的研究着重于组合后的力学及破坏特征。如CHENG[12]针对裂隙长度对试样单轴压缩破坏特征的影响进行了研究,DOU 等[13]认为裂隙倾角与煤岩动力灾害存在相关性。张朝鹏等[14]研究煤岩单轴受压声发射的层理效应得出层理对试样能量释放与破裂过程存在较大影响。PAN 等[15]从能量演化角度对不同厚度组合煤岩试样进行单轴压缩实验研究,认为组合体破坏以煤为主,破坏方式为劈裂破坏转为剪切破坏。杨科等[16]综合分析煤岩组合体的力学、能量转化及破坏规律,阐述了煤岩界面对裂隙发育的影响。当下主要使用原煤进行分层界面对电阻率特征的影响研究,而型煤物性参数较原煤更为均一,使用分层型煤进行研究能够有效反映层理界面对整体力学及电阻率的影响,因此有必要考察分层型煤试样破坏过程电阻率如何变化,可为构造发育煤层受载电阻率响应提供参考。笔者采用型煤试样,研究未分层及不同强度和厚度分层型煤在受载过程中的电阻率特征,以期得到不同结构型煤破坏过程电阻率响应规律,表征地层电各向异性特征。

1 实验方案

1.1 试样制备

为探究分层试样单轴压缩过程中电阻率的变化特征,选用山西阳泉煤业集团新元矿煤样,采用自制模具压制所需型煤样品。对型煤进行测试分析是研究煤物性参数的重要手段[17],通过现有型煤及原煤的实验结果对比认为型煤可以代替原煤开展研究并在某些场合存在优越性[18]

将破碎后的煤样筛分,选取粒径为40~60 目煤粉,加入质量比为7%的水搅拌均匀填入图1(a)模具压制底面直径为50 mm 的不同厚度圆柱试样。选用70,100,130 kN 的成型压力控制型煤试样强度[19],用压力机向模具施压并稳定30 min,脱模成型[20],随后将试样放入鼓风干燥箱,在60 ℃温度下烘干24 h。测试并计算试样平均单轴抗压强度及10 kHz 频率下的电阻率,结果见表1。

图1 单轴压缩电阻率测试实验系统
Fig.1 Experimental system for resistivity test during uniaxial compression

表1 型煤试样强度与电阻率参数
Table 1 Strength and resistivity parameters of briquette samples

成型压力P/kN单轴抗压强度/MPa弹性模量E/MPa电阻率ρ/(Ω·m)70 0.26 12.7 316 100 0.33 13.3 302 130 0.36 13.7 112

本实验试样制备选用参数见表2,分别压制未分层、不同强度分层、不同厚度分层试样3 组,如图1(c)所示,每个编号制作3 个试样进行实验。

表2 分层型煤试样单轴压缩电阻率测试实验方案
Table 2 Experimental scheme for resistivity measurement of medium coal in uniaxial compression process

注:下标“u”代表两分层试样上分层参数;下标“d”代表两分层试样下分层参数。

试样分组 编号 厚度H/mm 成型压力P/kN未分层试样(WF)WF1 WF2 WF3 H=100 P=70 P=100 P=130分层试样不同强度(QF)不同厚度(HF)QF1 QF2 QF3 HF1 HF2 HF3 Hu=Hd=50 Hu=10,Hd=90 Hu=30,Hd=70 Hu=Hd=50 Pu=Pd=70 Pu=70,Pd=100 Pu=70,Pd=130 P=130

1.2 电阻率测试计算原理

测试过程中使用型号为UC2831 A 的LCR 数字电桥获取单轴压缩过程中煤样的实时电阻R。仪器测量频率选取10 kHz,采样率为10 Hz,电平选择1 V,内阻为30 Ω,仪器精度达到0.05%。数字电桥内部测量阻抗后输出电阻为

式中,为电路阻抗;U 为电压,V;I 为电流,A;R为试样电阻,Ω;θ 为相位角。

根据仪器测得电阻计算试样的电阻率为

式中,ρ 为电阻率,Ω·m;S 为试样横截面积,m2;L 为试样长度,m。

由式(3)计算得到的试样电阻率与其横截面积和长度相关。由于本实验中型煤试样横截面沿轴向呈现非均匀变化且轴向变形量对结果影响较小,因此在计算过程中忽略试样横截面积S 和长度L 的变化。

1.3 实验步骤

单轴压缩电阻率测试实验装置如图1(b)所示。将待测型煤试样放置在岛津AG-250 kN 岩石力学试验机上,轻轻压紧后测试顶端平整度;试样两端面涂抹导电膏,放置在试验机下压头电极板(8)上,接上部电极板;打开LCR 数字电桥测试仪(3)热机30 min,观察LCR 数字电桥示数稳定;降压头(9),待压头与电极板完全接触后启动试验机, 使用0.5 mm/min 的位移速率对试样进行加载,同步打开LCR 数字电桥控制终端(4)、高分辨率摄像系统(2);记录应力、应变、电阻以及宏观破裂图像。

2 实验结果及分析

2.1 未分层试样单轴压缩电阻率变化

不同成型压力的未分层型煤试样单轴压缩实验结果如图2所示。

图2 未分层型煤试样应力应变-电阻率变化
Fig.2 Change of stress-strain-resistivity of briquette

由图2可以看出,未分层型煤试样单轴压缩过程中应力应变及电阻率呈现阶段性变化。其中,单轴压缩过程均经历了压密(OA 段)—弹性变形(AB 段)—塑性强化(BC 段)—破坏(C 点之后)4 个阶段。根据应力应变曲线特征点将电阻率变化过程划分为电阻率快速改变(阶段Ⅰ)—快速下降(阶段Ⅱ)—平缓(阶段Ⅲ)—快速升高(阶段Ⅳ)4 个阶段,且阶段Ⅱ,Ⅲ,Ⅳ整体呈“U”型。

分析图2中各阶段电阻率变化情况,阶段Ⅰ存在较大差异,WF1 试样内部空隙骨架容易受力破坏,电阻率出现先增加(Ⅰ-1)后减小(Ⅰ-2)的过程,其初始电阻率为362 Ω·m,阶段Ⅰ结束时其电阻率基本降低至初始电阻率值; WF2 试样初始电阻率为286 Ω·m,随后先增加到初始电阻率的1.5 倍后小幅度减小;WF3 试样初始电阻率为112 Ω·m,电阻率在阶段Ⅰ降低幅度逐渐缓慢。WF3 试样成型压力较高,电阻率起始即在压密作用下减小,可能是由于颗粒间连接最为紧密,空隙骨架破碎空间较小。试样电阻率在阶段Ⅱ,Ⅲ,Ⅳ均呈现“U”形变化,且其最低点与试样应力应变曲线B 点位置重合。阶段Ⅱ试样进入弹性变形阶段电阻率下降较为缓慢;电介质的不连续间断会导致整体电阻率的升高,阶段Ⅲ试样的微裂隙发育,电阻率上升且变化幅度逐渐增加;阶段Ⅳ试样的裂隙逐渐发展最终扩展贯通至失去承载作用,电阻率随着型煤试样表面部分不连续剥离、裂隙发展而快速增加。强度越高的试样其初始电阻率值越小,电阻率曲线的峰值能够达到最低点值的1.7倍、1.5 倍和1.3 倍,变化幅度降低。

2.2 不同强度分层试样电阻率变化特征

不同强度分层型煤试样单轴压缩实验结果如图3所示。由图3可知,不同强度分层型煤试样单轴压缩破坏电阻率变化趋势与未分层试样变化的阶段性较为一致,可划分为4 个阶段。阶段Ⅰ电阻率呈现为先增后减,该阶段所达到的电阻率峰值分别为初始电阻率的3.35 倍、2.58 倍和2.56 倍,达到电阻率峰值后,电阻率的变化幅度减小;电阻率变化曲线在阶段Ⅱ,Ⅲ,Ⅳ呈现“U”形,阶段Ⅱ煤样处于弹性阶段,向试样屈服点B 发展的过程中电阻率逐渐下降,曲线“U”型部分最低点与B 点横向位置接近。阶段Ⅲ试样受载逐渐到达峰值应力,电阻率较为平稳且缓慢增长。不同强度分层型煤试样单轴压缩产生的破坏主要集中在较软的分层,破坏部分倾向于直接剥离试样表面导致电阻率升高,煤样的抗压强度可达到0.30,0.32,0.33 MPa。图3(c)阶段Ⅰ可明显看到电阻率在(Ⅰ-1)增加随后转为(Ⅰ-2)减小的变化过程。对比未分层试样电阻率变化情况可得,QF3 试样整体强度较小,内部空隙更大,在应力作用下分层界面空隙骨架破碎促使电阻率上升,随后较大空隙被压实导致电阻率下降,电阻率转为压密作用控制,所达到的强度与电阻率值均受较软分层及层面的影响。

图3 不同强度分层型煤试样应力应变-电阻率变化
Fig.3 Change of resistivity of stratified briquette with different strength

2.3 不同厚度分层试样电阻率变化特征

使用130 kN 压力成型不同厚度分层的型煤试样进行单轴压缩实验。考虑试样厚薄分层的上、下位置关系进行多组实验,数据表明分层位置并不影响电阻率的变化规律,实验结果如图4所示。

图4 不同厚度分层型煤试样应力应变-电阻率变化
Fig.4 Change of resistivity of stratified briquette with different thickness

不同厚度分层型煤试样受载过程中电阻率变化呈先增后减趋势,斜率逐渐减小。由图4可得,电阻率可分为迅速上升(阶段Ⅰ)—缓慢上升(阶段Ⅱ)—平稳(阶段Ⅲ)—缓慢下降(阶段Ⅳ)4 个阶段;在阶段Ⅰ,Ⅱ,Ⅲ中试样电阻率呈现增加的趋势;阶段Ⅰ电阻率上升较快,未分层试样前期呈现同样的变化,阶段Ⅱ电阻率上升幅度减小;阶段Ⅲ中电阻率基本保持不变,裂隙发育导致的电阻升高与压密作用逐渐抵消,此时试样电阻率达到初始电阻率的3.50 倍、2.35倍、2.33 倍,变化幅度降低。对比分析WF3 试样电阻率变化可证实空隙骨架挤压破碎会导致电阻率迅速升高。相较于QF1 试样,HF3 试样内部空隙较少,试样在应力作用下产生的压密作用有限,因此未在阶段Ⅱ产生下降趋势。阶段Ⅳ随着试样的破坏,破裂区域两层联通,破裂剥离部分仍然与原试样产生电路连接,并与未破裂区域试样产生“并联”,整体电阻率下降。煤样的电阻率除HF1 试样有部分突变升高后下降,其他试样呈现出缓慢下降的趋势。受载破坏过程中厚分层较薄分层先破裂,随着厚度逐渐接近,拉伸破坏区域更容易整体剥离试样表面,裂隙倾向于相互联通,两分层破坏程度逐渐相似。试样能够达到的峰值应力为0.39,0.37,0.34 MPa。

2.4 分层影响下型煤强度与电阻率特征

考虑界面影响下的试样强度及受载达到峰值抗压强度处的电阻率值,峰值应力处试样相较于初始状态的电阻率变化率能够反应试样的结构变化[21]。图5给出了相应试样的强度及电阻率特征。

图5 型煤试样强度及电阻率特征
Fig.5 Characteristics of strength and resistivity of briquette samples

型煤试样的强度特征如图5(a)所示,分层后试样抗压强度及弹性模量较未分层试样低,抗压强度仅能达到完整试样的70%~80%,厚度越接近其抗压强度越小;不同强度分层试样整体受强度较低分层的影响导致其抗压强度变化不明显。

型煤试样的电阻率特征如图5(b)所示,由于分层煤样相同条件下受载后破坏程度相较于完整煤样剧烈,试样的整体塑性增强,对试样的电阻率改变幅度大。未分层煤样电阻率随试样的强度增加而降低,普遍小于分层试样。分层试样峰值应力处电阻率相较于初始电阻率变化幅度较大,电阻率变化率在1~2,未分层试样电阻率变化率则在0.5 以下。两分层厚度或强度越接近,电阻率变化率越大。

3 分层试样受载破坏电阻率演化规律

结果表明,试样受载破坏过程与分层界面及本身空隙相关,未分层试样与不同结构分层试样表现出的电阻率变化呈现较大差异。若分层试样层与层之间或试样本身存在较大空隙,由煤颗粒组成空隙骨架在应力作用下将呈现挤压滑动,随后破碎重连,显现出骨架破碎产生的“扩容”以及空隙压实产生的“压密”两方面作用。“扩容”会导致试样电阻率升高,“压密”则导致试样电阻率降低,这一现象也在LI 等[22]针对原煤多级加载的电阻率监测实验中证实。随着空隙的增加或分层界面的存在,试样强度降低,受载初始阶段骨架破碎产生“扩容”现象占据主导。随着破坏程度的加深,层面附近将产生破碎带影响电路连通程度,电阻率上升。此时,试样两分层电阻呈现“串联”状态。实验过程中分层型煤试样表现出受载破坏表面剥离,分层裂隙均匀连通的破坏形式,当单轴压缩过程中两层破裂裂隙相连通,则产生电路“并联”。

单轴压缩产生与电极方向相同的纵向方向裂隙的破坏特征[23-24],造成煤-裂隙-煤3 者“串-并联”的效果,改变试样电阻率。根据型煤试样破坏形式将试样分为外侧剥离煤样、裂隙及内侧煤样3 部分,各部分之间“并联”,横向分层裂隙导致电阻的“串联”叠加形成通路。假设煤基质电阻率为常数,如图6(a)所示,其中R 表示电阻,破坏后外侧煤样均匀剥离并与内侧煤样以裂隙空间隔离,将其建立为纵向裂隙模型,模型中内外侧煤样与裂隙组成并联电路;将纵向裂隙模型沿轴向居中断开d2 距离,如图6(b)所示,可得上分层煤、横向裂隙、下分层煤3 部分组合下的串-并联电路,即纵向+横向裂隙模型。

根据欧姆定律及克拉耶夫公式推导纵向裂隙及横向裂隙存在时电阻率变化模型。则纵向裂隙模型电阻Rs 及纵向+横向裂隙模型电阻Rh 计算公式分别为

式中,Rs 为纵向裂隙模型电阻,Ω;Rh 为纵向+横向裂隙模型电阻,Ω;l 为试样总长,m;ρ 为测试环境状态下煤基质电阻率,Ω·m;ρf 为测试环境状态下裂隙电阻率,Ω·m;r 为试样半径,m;d1 为纵向裂隙宽度,m;d2 为横向裂隙宽度,m。

图6 电阻率变化模型及等效电路示意
Fig.6 Model of resistivity variation and equivalent circuit diagram

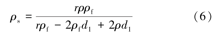
将式(4)代入式(3)可计算仅含有纵向裂隙模型电阻率,如图6(a)所示,计算结果为

式中,ρs 为纵向裂隙模型电阻率,Ω·m。

将式(5)代入式(3)可计算含有纵向+横向裂隙模型电阻率,如图6(b)所示,计算结果为

式中,ρh 为纵向+横向裂隙模型电阻率,Ω·m。

为简化结果,定义使用x=d1/r,y=d2/l 表示裂隙的相对大小,则式(6)和(7)可分别转换为

根据上述公式可知,分层试样受载破坏两分层以及分层界面破碎带呈“串-并联”形式相互连通电路,裂隙电阻率与煤层整体电阻率正相关。煤层电阻率的各向异性与裂隙占煤体比例存在相关性,这种现象在程久龙等[25]对地层裂隙带导致的煤层各向异性研究工作中得到验证,裂隙的存在导致瞬变电磁探测的误差,通过建立地层电阻率联立介质模型能够提高电法物探的工程应用精度;地层层间“串-并联”反映电各向异性特征,这一观点在CHESLEY 等[26]研究区域地层电阻率推断地壳裂缝的工作中得到体现,进一步证明电阻率各向异性能够反映地层层理裂隙特征。

以上分析在一定程度上解释了矿井采掘活动对煤层电阻率特征的影响过程,明确部分地层电阻率各向异性产生的原因及动态变化情况。采掘活动工作面部分煤体经历受载随后卸压的循环过程,该过程中煤体受到扰动作用产生微裂缝,随着裂缝的贯通、连接、扩展,层理发育煤层将产生层间“串-并联”等形式,这种电阻率的变化规律能够供工作面电法物探技术在时间尺度上进行对比。煤基质骨架及颗粒的不均匀排布也对煤的电阻率产生影响[27],界面压缩过程中不规则空隙骨架挤压破碎扩容会提高煤样整体的电阻率。煤体分层界面的空隙受载压实过程中产生骨架的破断重连,达到一定程度后,电阻率的变化随即受到压密作用的影响更容易连通供电电路,该区域整体特性将受到压密作用的控制,接着卸压后区域煤体之间产生空隙。整个变化过程与分层试样压缩破坏过程类似,模型的建立能够更为精确地描述煤层电阻率变化规律。

4 结 论

(1)未分层试样单轴压缩过程煤体电阻率呈阶段性变化,压密后存在“U”型过程,且其最低点与试样的屈服点对应性较好。不同强度分层试样压缩破坏电阻率随受载破坏先快速增加随后曲线呈现“U”形分布;不同厚度分层试样压缩破坏电阻率先增后减,表现出的宏观电阻率值也最大,两分层厚度越接近,能达到电阻率值越小;两分层厚度比为1 ∶9 的试样厚分层破坏最为剧烈,两分层厚度越接近,压缩产生的剥离部分越均匀,不同强度分层试样型煤破坏主要集中在软分层。

(2)分层试样弹性模量及抗压强度较未分层试样小,达到峰值应力处电阻率变化率为1~2,未分层试样电阻率变化率则在0.5 以下,两分层厚度越接近,达到峰值强度时的电阻越大,电阻率变化率越大。分层试样受载破坏后其电阻率能够达到试样初始电阻率的2~4 倍。

(3)煤样本身或层面空隙骨架的破碎会导致煤层电阻率的增加,煤层的“串-并联”综合作用能够部分表征电阻率各向异性特征。

参考文献(References):

[1] 彭苏萍.我国煤矿安全高效开采地质保障系统研究现状及展望[J].煤炭学报,2020,45(7):2331-2345.PENG Suping.Current status and prospects of research on geological assurance system for coal mine safe and high efficient mining[J].Journal of China Coal Society,2020,45(7):2331-2345.

[2] 底青云,朱日祥,薛国强,等.我国深地资源电磁探测新技术研究进展[J].地球物理学报,2019,62(6):2128-2138.DI Qingyun,ZHU Rixiang,XUE Guoqiang,et al.New development of the electromagnetic(EM)methods for deep exploration[J].Chinese Journal of Geophysics,2019,62(6):2128-2138.

[3] QI Tingye,FENG Guorui,LI Yanrong,et al.Effects of fine gangue on strength, resistivity, and microscopic properties of cemented coal gangue backfill for coal mining[J].Shock and Vibration,2015,2015:1-11.

[4] 孟磊,刘明举,王云刚.构造煤单轴压缩条件下电阻率变化规律的实验研究[J].煤炭学报,2010,35(12):2028-2032.MENG Lei,LIU Mingju,WANG Yungang.Study on the rules of electrical resistivity variation of tectonic coal in uniaxial compression experiment[J].Journal of China Coal Society,2010,35(12):2028-2032.

[5] LYU Chao,HAO Shuqing,SUN Qiang.Experiment study on the correlation between the CO2 adsorption capacity and electrical resistivity of coal with temperature effect[J].Greenhouse Gases-Science and Technology,2019,9(5):924-933.

[6] LI Xiangchun,AN Zhenxing,ZHANG Qi,et al.Analysis of resistivity anisotropy of loaded coal samples[J].Advances in Materials Science and Engineering,2020:9016583.

[7] SU Benyu,YUE Jianhua.Research of the electrical anisotropic characteristics of water-conducting fractured zones in coal seams[J].Applied Geophysics,2017,14(2):216-224.

[8] 赵晨光,雷东记,张玉贵.含水煤层复电阻正交裂隙阻容模型研究[J].煤炭学报,2020,45(10):3541-3547.ZHAO Chenguang,LEI Dongji,ZHANG Yugui.Orthogonal fracture resistance-capacitance model of complex resistance of containing water coal seam[J].Journal of China Coal Society,2020,45(10):3541-3547.

[9] 薛国强,潘冬明,于景邨.煤矿采空区地球物理探测应用综述[J].地球物理学进展,2018,33(5):2187-2192.XUE Guoqiang,PAN Dongming,YU Jingcun.Review the applications of geophysical methods for mapping coal-mine voids[J].Progress in Geophysics,2018,33(5):2187-2192.

[10] WANG Chenlong,ZHANG Changsuo,LI Ying,et al.Nu-merical investigation of the mechanical properties of coal masses with t-junctions cleat networks under uniaxial compression[J].International Journal of Coal Geology,2019,202:128-146.

[11] LI Shucai,LIU Bin,XU Xinji,et al.An overview of ahead geological prospecting in tunneling [ J].Tunnelling and Underground Space Technology,2017,63:69-94.

[12] CHENG Xiaoyu.Damage and failure characteristics of rock similar materials with pre-existing cracks[J].International Journal of Coal Science & Technology,2019,6(4):505-517.

[13] DOU Litong,YANG Ke,CHI Xiaolou.Fracture behavior and acoustic emission characteristics of sandstone samples with inclined precracks[J].International Journal of Coal Science & Technology,https:/ /doi.org/10.1007/s40789-020-00344-X.

[14] 张朝鹏,张茹,张泽天,等.单轴受压煤岩声发射特征的层理效应试验研究[J].岩石力学与工程学报,2015,34(4):770-778.ZHANG Chaopeng,ZHANG Ru,ZHANG Zetian,et al.Experimental research on effects of bedding plane on coal acoustic emission under uniaxial compression[J].Chinese Journal of Rock Mechanics and Engineering,2015,34(4):770-778.

[15] PAN Bao,YU Weijian,SHEN Wenbing.Experimental study on energy evolution and failure characteristics of rock-coal-rock combination with different height ratios[J].Geotechnical and Geological Engineering,2020.

[16] 杨科,刘文杰,窦礼同,等.煤岩组合体界面效应与渐进失稳特征试验[J].煤炭学报,2020,45(5):1691-1700.YANG Ke,LIU Wenjie,DOU Litong,et al.Experimental in vestigation into interface effect and progressive instability of coalrock combined specimen[J].Journal of China Coal Society,2020,45(5):1691-1700.

[17] 童继强,杨德义,李志军,等.构造煤物性参数测试的研究进展[J].地球物理学进展,2017,32(4):1650-1658.TONG Jiqiang,YANG Deyi,LI Zhijun,et al.Advances of physical property parameters test research in tectonic coal[J].Progress in Geophysics,2017,32(4):1650-1658.

[18] 贾恒义,王凯,王益博,等.围压循环加卸载作用下含瓦斯煤样渗透特性试验研究[J].煤炭学报,2020,45(5):1710-1718.JIA Hengyi,WANG Kai,WANG Yibo,et al.Permeability characteristics of gas-bearing coal specimens under cyclic loading-unloading of confining pressure[J].Journal of China Coal Society,2020,45(5):1710-1718.

[19] TEIXEIRA PALLA BRAGA Letícia,KUDASIK Mateusz.Permeability measurements of raw and briquette coal of various porosities at different temperatures[J].Materials Research Express,2019,6(10):105609.

[20] 孟磊.煤电性参数的实验研究[D].焦作:河南理工大学,2010.MENG Lei.Experimental study on the electrical parameters of coal[D].Jiaozuo:Henan Polytechnic University,2010.

[21] 朱亚飞,王恩元,刘贞堂,等.含瓦斯煤体单轴压缩电阻率变化规律实验研究[J].煤矿安全,2014,45(11):48-52.ZHU Yafei,WANG Enyuan,LIU Zhentang,et al.Experimental study on resistivity variation laws of coal containing gas under uniaxial compression[J].Safety in Coal Mines,2014,45(11):48-52.

[22] LI Xiangchun,ZHANG Qi.Study on damage evolution and resistivity variation regularities of coal mass under multi-stage loading[J].Applied Sciences,2019,9(19):4124.

[23] LÜ Huayong,TANG Yuesong,ZHANG Lingfei,et al.Analysis for mechanical characteristics and failure models of coal specimens with non-penetrating single crack[J].Geome chanics and Engineering,2019,17(4):355-365.

[24] PANG Longlong,YANG Yuzhong,WU Liyun,et al.Effect of particle sizes on the physical and mechanical properties of briquettes[J].Energies(Basel),2019,12(19):3618.

[25] 程久龙,黄少华,温来福,等.矿井全空间三维主轴各向异性介质瞬变电磁场响应特征研究[J].煤炭学报,2019,44(1):278-286.CHENG Jiulong, HUANG Shaohua, WEN Laifu, et al.Response characteristics of three-dimensional axial anisotropic media for transient electromagnetic method in underground whole-space[J].Journal of China Coal Society,2019,44(1):278-286.

[26] CHESLEY Christine,KEY Kerry,CONSTABLE Steven,et al.Crustal cracks and frozen flow in oceanic lithosphere inferred from electrical anisotropy[J].Geochemistry Geophysics Geosystems,2019,20(12):5979-5999.

[27] 刘云鹤,殷长春,蔡晶,等.电磁勘探中各向异性研究现状和展望[J].地球物理学报,2018,61(8):3468-3487.LIU Yunhe,YIN Changchun,CAI Jing,et al.Review on research of electrical anisotropy in electromagnetic prospecting[J].Chinese Journal of Geophysics,2018,61(8):3468-3487.

Analysis of resistivity response of stratified briquette during uniaxial compres-sion

HU Qianting1,2,SONG Mingyang1,2,LI Quangui1,2,WU Yanqing1,2,XU Yangcheng1,2,ZHANG Yuebing1,2,DENG Yize1,2

(1.State Key Laboratory of Coal Mine Disaster Dynamics and Control,Chongqing University,Chongqing 400044,China; 2.School of Resources and Safety Engineering,Chongqing University,Chongqing 400044,China)

Abstract:Resistivity is a key physical parameter in geophysical exploration,and the characteristics of resistivity variation with different coal structures are different during its failure.Real-time resistance test system for coal samples under compression was established.Uniaxial compression experiments were carried out on two-layered briquette samples with different thickness and strength.According to the mechanical strength and resistivity variation during the failure process,the resistivity response characteristics of different structural briquette under the influence of layered interface were studied.The results show that the resistivity of briquette under load failure presents a phased change,and the unstratified sample has a u-shaped change after compaction,and the lowest point coincides with the yield point of the stress-strain curve of the sample.In the process of failure,the resistivity of the stratified samples with different thickness first increased and then decreased.Stratified samples with a larger difference in thickness of the two layers were more severely damaged,and the overall macroscopic resistivity value was larger.Also,the resistivity curves of stratified samples with different strength first increased and then presented a “U” shape.After failure,the resistivity was 2-4 times of that at the initial state.The elastic modulus and compressive strength of the stratified sample are lower than those of the non-stratified sample,and the rate of resistivity change at the peak stress is 1-2,while that of the nonstratified sample is less than 0.5.The closer the thickness and strength of the two layers,the more uniform the peeling part generated by compression.The more apt the regional “series-parallel” phenomenon,the greater the resistivity change rate after failure.The squeezing and breaking of the coal sample body or the interlayer void skeleton will lead to an increase in the resistivity of the coal seam.After the failure of the stratified briquette,the surface is exfoliated and the cracks are uniformly connected.According to the failure process of the briquette under load,the mathematical model of resistivity change under the influence of “longitudinal cracks” and “longitudinal+lateral cracks” in the sample was obtained.The cracks in the two layers and through the interface of the two layers make the sample into a “seriesparallel” connected circuit,and the overall resistivity of the sample is positively correlated with the crack volume proportion.The description of uniaxial compression law of stratified briquette reflects the electrical anisotropy characteristics in strata geophysical exploration in some coal mines.

Key words:resistivity;uniaxial compression;briquette coal;anisotropy;geophysical exploration

中图分类号:P631

文献标志码:A

文章编号:0253-9993(2021)01-0211-09

收稿日期:2020-11-30

修回日期:2020-12-23

责任编辑:韩晋平

DOI:10.13225/j.cnki.jccs.2020.1870

基金项目:国家重点研发计划资助项目(2018YFC0807805);国家自然科学基金资助项目(52074049)

作者简介:胡千庭(1957—),男,江西吉安人,教授,博士生导师,博士。E-mail:huqtin@cqu.edu.cn

通讯作者:李全贵(1986—),男,河南民权人,副教授,博士生导师,博士。E-mail:liqg@cqu.edu.cn

引用格式:胡千庭,宋明洋,李全贵,等.单轴压缩破坏下分层型煤电阻率响应分析[J].煤炭学报,2021,46(1):211-219.

HU Qianting,SONG Mingyang,LI Quangui,et al.Analysis of resistivity response of stratified briquette during uniaxial compres-sion[J].Journal of China Coal Society,2021,46(1):211-219.

移动阅读