目前,我国煤矿开采深度正以8~12 m/a的速度增加,近200处矿井开采深度超过800 m,47处矿井开采深度超过1 000 m。我国学者在深部开采工作面矿压显现方面进行了大量研究,文献[1-2]认为深部矿压显现强烈是深部超大采高综采技术面临的主要问题之一,煤与瓦斯突出和冲击地压发生概率增大。深部开采还造成巷道变形严重、高地温、煤层自燃发火、矿震、突水等问题[3-5]。深井工作面的覆岩破断规律与浅部煤层有本质差异,具有强采动、高应力和复杂地质条件的特点,研发出高可靠性的液压支架,分析支架的承载能力及适应性至关重要,也是深井智能化开采的基本保障[6]。文献[7]构建了液压支架“三因素指标体系”适应性评价指标。文献[8]分析了支架与围岩耦合关系,采用AHP构建了液压支架与围岩的适应性评价指标。文献[9]分析了四柱放顶煤支架的适应性,认为顶煤破碎、采空区充填不满是造成前后排立柱受力不均的主要原因。文献[10]对比分析了两柱支架和四柱支架的优缺点和适应性。文献[11]对比分析了两柱掩护式和四柱支撑掩护式支架的力学特性,得出四柱支撑掩护式支架的前端比压明显小于两柱掩护式支架,对软底板有更好的适应性。文献[12] 认为四柱支撑掩护式支架具有更好的端面控顶效果。文献[13-14]分析了平衡千斤顶对两柱掩护式支架适应性的影响。文献[15]对顶梁外载荷作用位置进行了理论研究,得出支撑掩护式支架顶梁长度确定原则。文献[16]对比分析了4种架型的适应性,得出四柱支撑掩护式对外载荷的适应性较强,认为如果后排立柱能够承受一定的拉力,将会增大四柱支架的适应性,并按前后排立柱分别达到最大工作阻力绘制了支架外载荷区间,称为平衡区,只要外载荷合力的大小和位置落在平衡区内,支架就能保持稳定,这其中忽略了水平载荷和立柱水平分力。文献[17-18]依据支架力平衡区优化了两柱掩护式液压支架的平衡千斤顶定位尺寸。文献[19]在力平衡区基础上认为立柱作用力的变动区间为初撑力至工作阻力,修正了力平衡区。然而,这与实际情况不符合,因为拉架后升立柱时仍有可能存在支架不接顶,此时立柱压力远远达不到初撑力,仅为部件和顶梁浮煤和浮矸的重量产生的压力。文献[20]分析了支架双区承载条件下的承载特性。文献[21]分析了四柱放顶煤液压支架前后排立柱受力不均衡的规律,认为前后排柱受力不均衡主要取决于顶煤软硬程度,同时受放煤量和煤层倾角的影响。笔者在对口孜东矿121302工作面正在使用的ZZ13000/27/60D型四柱支撑掩护式液压支架进行压力观测时发现,该套支架的前排立柱工作阻力明显大于后排立柱,且后排立柱经常出现受拉现象。
以上文献对液压支架的适应性进行了比较系统的分析,但都认为支架所能平衡的外载荷沿顶梁长度能够全覆盖,没有考虑与一定外载荷对应的底座合力是否超出了底座长度范围。其次,对于四柱支撑掩护式液压支架,没有深入研究前后排立柱不同工作阻力分配比例对支架承载能力的影响。因此,研究支架的承载能力并重新定义支架的承载区间,以及如何科学分配前后排立柱的工作阻力,使支架达到最优的适应性,具有重要的研究意义。
笔者以口孜东矿为背景,分析了千米深井大采高工作面的矿压显现规律,对四柱大采高液压支架进行了力学分析,推导出支架极限外载荷大小和分布区间的解析表达式,重新定义了支架承载区间,定量分析了前后排立柱不同工作阻力分配比例以及不同摩擦因数对外载荷适应性的影响。
口孜东矿埋深达1 000 m,121302工作面采用倾斜长壁采煤法开采,俯采平均倾角约12°,最大21°。顶底板岩性如下:
基本顶:细砂岩,灰白色,致密,块状,中粒结构,平均厚度为4.1 m,普氏硬度系数5.8~11.7。
直接顶:泥岩、砂质泥岩及细砂岩组成的复合岩层,平均厚度10.4 m,以泥岩为主,灰色、深灰色,局部富含少量炭质,性脆,易碎,易垮落,泥岩普氏硬度系数3.0~3.9。
直接底:泥岩,深灰色,致密,块状,砂泥质结构,平均厚度5.5 m,普氏硬度系数3.1~4.1。
基本底:砂质泥岩,深灰色,砂泥质结构,局部含细砂质或细砂岩条带,水平层理,见植物碎片,平均厚度2.7 m,普氏硬度系数4.7~7.3。
口孜东矿的直接顶属破碎顶板,直接底属较为松软底板,其中121302工作面正在使用的架型为ZZ13000/27/60D四柱支撑掩护式,立柱缸径为φ360/φ270 mm(一级缸缸径/二级缸缸径)、柱径为φ340/φ230 mm,安全阀调定压力为33 MPa,泵站压力为28 MPa。通过对工作面上部、中部、下部液压支架的压力监测数据进行分析,发现工作面顶板来压时强度不大,但来压持续时间较长,周期来压步距较大,如图1所示。其中:9号支架的周期来压步距为15~34 m,平均20.75 m,来压时液压支架的循环末阻力为10 373~12 959 kN,平均约为11 536 kN;40号液压支架的周期来压步距为10~35 m,平均16.5 m,来压时液压支架的循环末阻力为10 118~13 683 kN,平均约为11 920 kN;90号液压支架的周期来压步距为8~37 m,平均19.75 m,来压时液压支架的循环末阻力为9 609~13 974 kN,平均约为12 937 kN;130号液压支架的周期来压步距为9~39 m,平均22.8 m,来压时液压支架的循环末阻力为10 769~13 473 kN,平均约为12 819 kN;160号液压支架的周期来压步距为10~41 m,平均22.38 m,来压时液压支架的循环末阻力为11 663~13 838 kN,平均约为13 095 kN;191号液压支架的周期来压步距为10~27 m,平均20.63 m,来压时液压支架的循环末阻力为9 290~14 511 kN,平均约为12 484 kN。
图1 部分支架工作阻力及来压步距分析
Fig.1 Analysis of working resistance and weighting distance of some hydraulic supports
通过对工作面上部11号、中部80号、下部187号支架压力数据进行分析,发现在2018-01-03—01-09期间的支架一直处于俯采状态,工作面支架平均整架工作阻力分别在4 945,5 470,5 965 kN,即使在来压期间整架工作阻力很少超过设计工作阻力13 000 kN,说明支架在支护强度方面能够满足工作面支护需要,如图2所示。
图2 支架压力监测数据
Fig.2 Pressure monitoring data of hydraulic support
通过对比前后排立柱相同工作阻力区间发生频率可以看出(图3):上部支架处于低阻力区间(额定工作阻力的0~40%),即工作阻力在0~5 200 kN区间内所占的比例约为64%,正常阻力区(额定工作阻力的40%~80%)即工作阻力在5 200~10 400 kN区间内所占比例约为31%,处于高阻力区间(额定工作阻力的80%以上)即工作阻力在10 400~13 000 kN区间的比例约为5%。
中部支架处于低阻力区(额定工作阻力的0~40%)所占的比例约为67%,正常阻力区(额定工作阻力的40%~80%)所占比例约为25%,处于高阻力区(额定工作阻力的80%以上)的比例约为8%。大部分处于低阻力及正常阻力区。
下部支架处于低阻力区(额定工作阻力的0~40%)所占的比例约为76%,正常阻力区(额定工作阻力的40%~80%)所占比例约为22%,处于高阻力区(额定工作阻力的80%以上)的比例约为2%。大部分处于低阻力及正常阻力区。
图3 支架压力分布直方图
Fig.3 Pressure distribution histogram of hydraulic support
通过对比工作面上部、中部、下部支架前后立柱相同工作阻力区间发生频率可以看出,前排立柱整体工作阻力明显大于后排立柱,后排立柱很少接近甚至没有达到额定工作阻力,如图4所示。而且,支架经常出现后排立柱受拉现象,图5是采集的2018-03-14一段时间内的前后排立柱工作阻力情况,在此期间,后排立柱一直承受拉力。
图6是采集的2018-01-05工作面来压期间的上部、中部和下部支架前排立柱工作阻力占整架工作阻力的比例。可以看出,前排立柱工作阻力占整架工作阻力的比例在0.55~0.65,来压前期,中部和下部支架的前后排立柱工作阻力比例差异较大,随后趋于稳定;上部支架的前后排立柱工作阻力一直比较稳定。原因是工作面不同区段的顶梁外载荷合力及位置变化剧烈程度不一样,但随时间变化都趋于稳定。
由以上分析可知,千米深井的口孜东矿顶板来压强度不大、来压持续时间较长、周期来压步距较大;支架前排立柱受力明显大于后排立柱;后排立柱存在受拉情形;前排立柱工作阻力占整架工作阻力的比例大致在0.55~0.65之间。下面以此为基础分析四柱支撑掩护式支架的适应性。
图4 支架前后立柱工作阻力分布直方图
Fig.4 Working resistance distribution histogram of front and rear legs of hydraulic support
图5 80号支架某一时间段的前后立柱工作阻力
Fig.5 Working resistance of front and rear legs of No.80 hydraulic support for a certain period of time
图6 前柱工作阻力占整架工作阻力的比例
Fig.6 Ratio of working resistance of front legs to that of the whole hydraulic support
俯采工作面沿顶板岩层的分力指向煤壁侧,顶板岩层受压力作用,使顶板裂隙有闭合趋势,有利于顶板保持连续性和稳定性。俯采工作面对支架最大的影响是采空区的冒落矸石作用在掩护梁上,由文献[16]的式(12)可知,掩护梁上的外载荷会降低支架的承载能力,但只有短托梁、小工作阻力的插腿式掩护支架,掩护梁上的外载荷才起重要作用。这种影响可以通过增大立柱工作阻力、延长顶梁后部的长度等手段来改善支架承载能力。此外,由于掩护梁上的外载荷很难准确确定,其对于支架外载荷的分区没有绝对意义上的影响。同时,为了能够进行量化分析,建立支架力学模型时忽略掩护梁上的外载荷。由此,建立的四柱支撑掩护式支架的杆系力学模型如图7所示。整个支架对底座合力作用点取力矩有
Qd3-Qfh=0
(1)
取顶梁和掩护梁为分离体,对O1点取力矩有
Q(xQ+d1)-Qfd2-P1d4-P2d5=0
(2)
取顶梁分离体,对O2点取力矩有
QxQ-Qfl3-P1d6-P2d7=0
(3)
由图7可得d3和xQ,xN的关系式为
d3=xQ-{l6-[xN+l4cos(π-θ2)-l5cos θ1]}
(4)
式中,P1为前排立柱力;P2为后排立柱力;Q为顶梁合力;N为底座合力;θ1为后连杆与水平线夹角;θ2为掩护梁与水平线夹角;xQ为顶梁合力作用点位置;xN为底座合力作用点位置;f为摩擦因数;h为支架高度;l1为顶掩铰接点至前排立柱上铰点的水平距离;l2为顶掩铰接点至后排立柱上铰点的水平距离;l3为顶掩铰接点至顶梁上表面的垂直距离;l4为掩护梁长度;l5为后连杆长度;l6为底座前端至后连杆与底座铰点的水平距离;l7为顶梁长度;l8为底座后端至后连杆与底座铰点的水平距离;l9为顶梁向后部伸出顶掩铰接点的长度;d1为顶掩铰接点至前后连杆瞬心的水平距离;d2为前后连杆瞬心至顶梁上表面的垂直距离;d3为顶梁合力与底座合力的水平距离;d4为前后连杆瞬心至前排立柱的垂直距离;d5为前后连杆瞬心至后排立柱的垂直距离;d6为顶掩铰接点至前排立柱的垂直距离;d7为顶掩铰接点至后排立柱的垂直距离。
图7 支架力学模型
Fig.7 Mechanical model of hydraulic support
由式(1)可知,支架结构参数确定后,支架每一确定的高度,Q和N之间的水平距离d3也随之确定,为d3=fh,再结合式(4)可求得xN为
xN=l6-l4cos(π-θ2)+l5cos θ1-xQ+fh
(5)
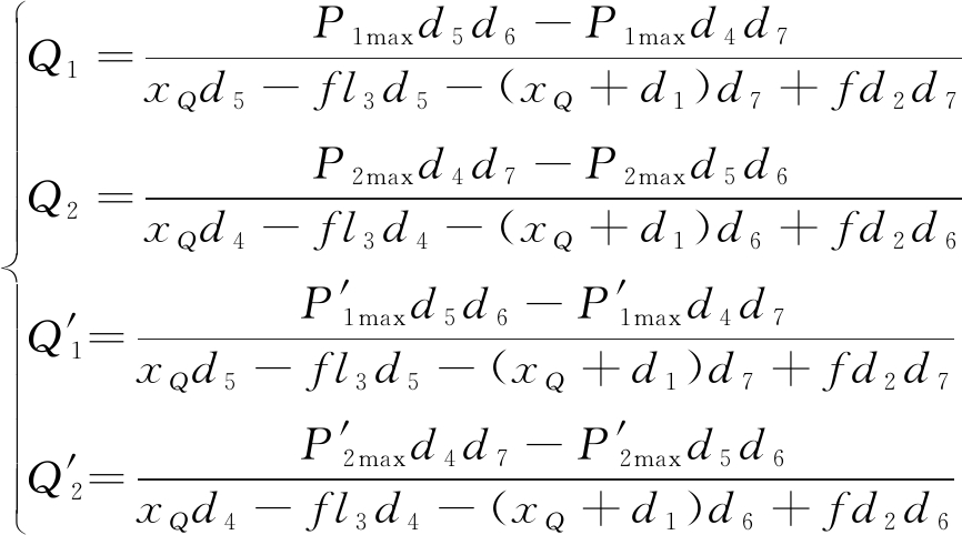
文献[16]提出了四柱支架的力平衡区,该平衡区有3条双曲线构成,分别为前排立柱达到最大工作阻力、后排立柱达到最大工作阻力、后排立柱承载一定拉力,得出支架沿顶梁长度方向的3个平衡区和一个无承载能力区:① 顶梁前端至前排立柱铰点;② 前排立柱铰点至前后排立柱均达到最大工作阻力时的作用点;③ 前后排立柱均达到最大工作阻力时的作用点至后排立柱铰点;④ 后排立柱铰点至顶梁后端,此区间内顶梁无承载能力。这其中忽略4个重要因素:① 忽略了水平载荷和立柱水平分力的影响;② 力学模型忽略了超过顶掩铰接点之后的一段顶梁长度,超过后连杆与底座铰接点之后的一段底座长度;③ 没有考虑前排立柱承受拉力的可能;④ 没有考虑底座合力作用点的位置是否超出了底座长度范围。其中,因素④最为关键,当支架外载荷对应的底座合力作用点超出了底座长度范围时,支架不能处于稳定状态,也就是说,支架能够承受的外载荷不一定完全覆盖顶梁长度。下面导出支架处于前后排立柱承受拉、压极限载荷时的外载荷大小和分布区间表达式。式(2),(3)分别消去P1,P2得

(6)
其中,Q1为前排立柱达到最大工作阻力时的外载荷合力;Q2为后排立柱达到最大工作阻力时的外载荷合力;Q′1为前排立柱达到最大拉力时的外载荷合力;Q′2为后排立柱达到最大拉力时的外载荷合力;P1max为前排立柱工作阻力;P2max为后排立柱工作阻力;P′1max为前排立柱最大拉力;P′2max为后排立柱最大拉力。《GB 25974.1—2010煤矿用液压支架第1部分:通用技术条件》第5.9.3.7条规定了立柱连接件的试验方法,支架在试验台内撑紧,以1.5倍收缩单根立柱。立柱导向套和连接件的强度也是基于此设计的,因此,立柱所能承受的最大拉力按照泵站额定压力的1.5倍计算。由式(6)可知,支架所能承受的极限外载荷划分为4种情形:① 前排立柱达到最大拉力;② 后排立柱达到最大工作阻力;③ 前排立柱达到最大工作阻力;④ 后排立柱达到最大拉力。同时,还需要考虑每种情形的约束条件,即,立柱不能超过最大的工作阻力和拉力、外载荷合力大于0、顶梁合力和底座合力作用点不能超出其长度范围,具体如下:
(1)前排立柱达到最大拉力时,外载荷大小及约束条件为

(7)
(2)后排立柱达到最大工作阻力时,外载荷大小及约束条件为

(8)
(3)前排立柱达到最大工作阻力时,外载荷大小及约束条件为

(9)
(4)后排立柱达到最大拉力时,外载荷大小及约束条件为

(10)
支架极限外载荷作用区间可由底座尺寸求得,当底座合力作用点达到最前端A点时,可得支架外载荷的前端极限距离为
xQ=l6-l4cos(π-θ2)+l5cos θ1+fh
(11)
当底座合力作用点达到最后端B点时,可得支架外载荷的后端极限距离为
xQ=fh-l8-l4cos(π-θ2)+l5cos θ1
(12)
如果-xQ>l9,则式(12)调整为
xQ=-l9
(13)
即,支架极限外载荷区间为
fh-l8-l4cos(π-θ2)+l5cos θ1≤xQ≤
l6-l4cos(π-θ2)+l5cos θ1+fh
或
-l9≤xQ≤l6-l4cos(π-θ2)+l5cos θ1+fh
(14)
式(14)确定了支架极限外载荷的整个区间,还需要确定外载荷的3个转折点,由式(7)~(9),结合式(2)和(3)可分别求出对应的P2,P1,P′2。式(7)求得的P2达到P2max时对应的xQ为前排立柱达到最大拉力时的极限作用位置;式(8)求得的P1达到P1max时对应的xQ为后排立柱达到最大工作阻力时的极限作用位置;式(9)求得的P′2达到P′2max时对应的xQ为前排立柱达到最大工作阻力时的极限作用位置。
至此,完全确定了支架外载荷的大小和区间划分。下面以实例进行说明,图8为口孜东ZZ18000/33/72D型四柱支撑掩护式电液控液压支架7 000 mm高度时绘制的支架极限外载荷承载区间。由图8可知,沿顶梁长度方向(顶掩铰接点为坐标原点),共分5个区段,即,Ⅰ区—前排立柱达到最大拉力;Ⅱ区—后排立柱达到最大工作阻力;Ⅲ区—前排立柱达到最大工作阻力;Ⅳ区—后排立柱达到最大拉力;Ⅴ区—无承载能力。由此可知,支架所能承受的极限外载荷并不是完全覆盖顶梁长度,而是从顶梁后部开始到顶梁前部某一位置,该位置取决于支架高度、摩擦因数以及顶梁前端至底座前端的水平距离。需要强调的是,如果顶掩铰接点后部的顶梁长度太长,有可能造成顶梁后部一定区间无承载能力。此外,顶梁前端至底座前端的水平距离是由三机配套决定的,刮板输送机和采煤机一旦确定,二者的距离也随之确定。
图8 极限外载荷曲线
Fig.8 Limit external load curve
图9为支架极限外载荷沿顶梁长度变化时对应的前后排立柱受力变化曲线。对于破碎顶板,容易出现顶梁前端冒空的工况条件,会造成外载荷的合力靠近支架顶梁后部,此时会使前排立柱处于受拉状态。
图9 前后排立柱载荷变化曲线
Fig.9 Load change curves of front and rear legs
需要说明的是,支架受四连杆机构的约束,从高位向低位运动时,顶梁是按双纽线变化的,这将导致支架的极限外载荷区间随支架高度发生变化,图10为支架全高度范围内的极限外载荷区间变化曲线,曲线后部不变,随支架高度降低而单调减小,前部由A点变为B点。
图10 极限外载荷区间随高度变化曲线
Fig.10 Variation curve of limit external load region with height
由式(7)~(10)可知,影响支架适应性的因素体现在2个方面:① 使支架保持稳定所能承担的外载荷的大小,其与前后排立柱的最大工作阻力和最大拉力有关;② 使支架保持稳定所能承担的外载荷的作用区间,其与支架高度和摩擦因数有关。下面通过实例进行详细的分析。
以口孜东矿140502工作面的ZZ18000/33/72D型四柱支撑掩护式电液控制液压支架为例,该支架中心距1 750 mm,泵站额定压力37.5 MPa,底座长度为l6=3 570 mm,顶梁长度为l7=4 570 mm,支架高度取7 000 mm。
两柱掩护式液压支架可以通过增大平衡千斤顶的额定推、拉力来提高支架承载能力,而四柱支架没有平衡千斤顶,其工作阻力完全由前后排4根立柱决定,在相同工作阻力的前提下,前后排立柱的工作阻力分配比例不同,支架对外载荷的适应性也不同,主要从以下6个因素考虑对前后排立柱工作阻力进行分配:① 工作阻力相同,均需达到18 000 kN;② 摩擦因数取0.2;③ 由于目前的安全阀公称压力为50 MPa,所以安全阀调定压力不易过高,一般在40 MPa左右;④ 由于支架中心距1 750 mm时能够布置的最大立柱缸径为φ420 mm,因此立柱最大缸径采用φ420 mm;⑤ 前后排立柱工作阻力分配比例按5∶5,6∶4,7∶3,3∶7,4∶6五种情况,同时使前后排立柱安全阀的调定压力保持一致,便于互换;⑥ 采用常用的立柱规格系列φ420,φ400,φ380,φ280 mm。
基于以上6个因素得到的前后排立柱缸径5种组合,见表1,详细的立柱参数如下:
(1)前后排立柱工作阻力分配比例7∶3。前排立柱缸径为φ420 mm/φ290 mm,柱径为φ390 mm/φ260 mm,后排立柱缸径为φ280 mm/φ200 mm,柱径为φ260 mm/φ185 mm。则前排立柱工作阻力P1max=12 461 kN,后排立柱工作阻力P2max=5 539 kN,前排立柱最大拉力P′1max=2 147 kN,后排立柱最大拉力P′2max=954 kN。
(2)前后排立柱工作阻力分配比例6∶4。前排立柱缸径为φ400 mm/φ290 mm,柱径为φ380 mm/φ260 mm,后排立柱缸径为φ320 mm/φ230 mm,柱径为φ290 mm/φ210 mm。则前排立柱工作阻力P1max=10 975.5 kN,后排立柱工作阻力P2max=7 019.5 kN,前排立柱最大拉力P′1max=1 378 kN,后排立柱最大拉力P′2max=1 617 kN。
表1 前后排立柱不同缸径组合
Table 1 Different cylinder diameter combinations of front and rear legs
前后排立柱工作阻力分配比例立柱缸径/mm前排后排立柱安全阀调定压力/MPa前排后排7∶342028044.9744.976∶440032043.6743.675∶538038039.6839.684∶632040043.6743.673∶728042044.9744.97
(3)前后排立柱工作阻力分配比例5∶5。前后排立柱缸径为φ380 mm/φ360 mm,柱径为φ270 mm/φ230 mm。则前后排立柱工作阻力P1max=P2max=9 000 kN,前后排立柱最大拉力P′1max=P′2max=1 308 kN。
(4)前后排立柱工作阻力比例4∶6。前排立柱缸径为φ320 mm/φ230 mm,柱径为φ290 mm/φ210 mm,后排立柱缸径为φ400 mm/φ290 mm,柱径为φ380 mm/φ260 mm。则前排立柱工作阻力P1max=7 019.5 kN,后排立柱工作阻力P2max=10 975.5 kN,前排立柱最大拉力P′1max=1 617 kN,后排立柱最大拉力P′2max=1 378 kN。
(5)前后排立柱工作阻力分配比例3∶7。前排立柱缸径为φ280 mm/φ200 mm,柱径为φ260 mm/φ185 mm,后排立柱缸径为φ420 mm/φ290 mm,柱径为φ390 mm/φ260 mm。则前排立柱工作阻力P1max=5 539 kN,后排立柱工作阻力P2max=12 461 kN,前排立柱最大拉力P′1max=954 kN,后排立柱最大拉力P′2max=2 147 kN。
将上述参数代入式(7)~(10),采用MATLAB绘制的极限外载荷曲线如图11所示。由于前后排立柱的载荷曲线较多,分开绘制,图12所示。
由图11可知,无论前后排立柱工作阻力分配比例如何,支架极限外载荷的区间没有变化。支架最大外载荷随后排立柱工作阻力增大而向顶梁后部移动。前后排立柱工作阻力分配比例为7∶3或3∶7时,虽然提高了支架前端或后端的承载能力,但支架整体承载能力下降,即,四柱支架的前后排立柱工作阻力不能相差太大。与前后排立柱工作阻力平均分配5∶5相比,分配比例为6∶4或4∶6时,支架整体承载能力变化不大,只是承载能力较大的范围靠近较大的立柱附近。
图11 前后排立柱不同工作阻力时的极限外载荷曲线
Fig.11 Limit external load curves of front and rear legs with different working resistance
图12 前后排立柱不同工作阻力时的前后排立柱载荷变化曲线
Fig.12 Load change curves of front and rear legs with different working resistance
由图12可知,外载荷从顶梁后部向顶梁前端移动时,前排立柱均由受拉变为受压,后排立柱由受压变为受拉。前后排立柱工作阻力分配比例为7∶3时,外载荷分布区间变为4个,前排立柱承受的拉力较小,达不到最大值。由于前后排立柱均存在受拉的工况,为了保护导向套和立柱连接件,立柱的上腔最好也加装安全阀。此外,后排立柱的连接件强度要大于前排立柱,增大中缸的环形面积以提高后柱的受拉能力也有助于提高支架承载能力。
结合前面分析的口孜东矿的矿压和支架受力特点,口孜东矿140508工作面的四柱支撑掩护式支架前后排立柱采用6∶4的比例较为合适。
摩擦因数分别取-0.2,0,0.1,0.3,前后排立柱工作阻力分配比例为6∶4时,得到的支架极限外载荷大小和区间如图13所示,外载荷区间随支架高度变化的曲线如图14所示。
图13 不同摩擦因数时的极限外载荷曲线
Fig.13 Limit external load curves with different friction coefficients
图14 不同摩擦因数时的外载荷区间随高度变化曲线
Fig.14 Variation curves of limit external load region with height under different friction coefficients 1,5—摩擦因数0.3;2,6—摩擦因数0.2;3,7—摩擦因数0; 4,8—摩擦因数-0.2
图14中,摩擦因数为0.3时,支架外载荷变化曲线对应曲线1(表示前端)和曲线5(表示后端);摩擦因数为0.2时,支架外载荷变化曲线对应曲线2(表示前端)和曲线6(表示后端);摩擦因数为0时,支架外载荷变化曲线对应曲线3(表示前端)和曲线7(表示后端);摩擦因数为-0.2时,支架外载荷变化曲线对应曲线4(表示前端)和曲线8(表示后端,和曲线7重合)。由图13,14可知,摩擦因数取负时,支架极限外载荷区间最小,支架仅在后排立柱附近有承载能力,随支架高度降低,支架极限外载荷区间增大;摩擦因数取非负时,摩擦因数越大,支架前端的承载能力越大,随支架高度降低,支架极限外载荷区间减小。
(1)千米深井的口孜东矿顶板来压强度不大、来压持续时间较长、周期来压步距较大;支架前排立柱受力明显大于后排立柱;后排立柱存在受拉情形。
(2)顶板一定的外载荷合力作用于支架,便可以求得支架对应的顶梁合力和底座合力,三者为一一对应关系,支架所能够平衡的外载荷合力必须满足与其对应的顶梁合力在顶梁长度范围内、底座合力在底座长度范围内,否则,支架将不能保持稳定状态。
(3)推导出支架极限外载荷大小和分布区间的解析表达式。支架极限外载荷区间不是完全覆盖顶梁长度,根据前后排立柱的最大工作阻力和最大拉力分为5个区域:① 前排立柱达到最大拉力区;② 后排立柱达到最大工作阻力区;③ 前排立柱达到最大工作阻力区;④ 后排立柱达到最大拉力区;⑤ 无承载能力区。无承载能力区的位置取决于支架高度、摩擦因数以及顶梁前端至底座前端的水平距离。
(4)四柱支撑掩护式支架的前后排立柱工作阻力不能相差太大,太大反而会降低支架的适应性。顶底板松软和较大的俯采角度的工作面,支架前后排立柱工作阻力分配比例6∶4时最为合理。为了保护导向套和立柱连接件,立柱的上腔最好也加装安全阀。后排立柱的连接件强度要大于前排立柱,可以通过增大中缸的环形面积以提高后柱的受拉能力来提高支架承载能力。
(5)摩擦因数取负时,支架极限外载荷区间最小,支架仅在后排立柱附近有承载能力,随支架高度降低,支架极限外载荷区间增大;摩擦因数取非负时,支架前端的承载能力越大,随支架高度降低,支架极限外载荷区间减小。
[1] 李化敏,付凯.煤矿深部开采面临的主要技术问题及对策[J].采矿与安全工程学报,2006,23(4):468-471.
LI Huamin,FU Kai.Some major technical problems and countermeasures for deep mining[J].Journal of Mining and Safety Engineering,2006,23(4):468-471.
[2] 惠本利.深部矿井厚煤层超大采高综采技术研究展望[J].煤炭科学技术,2014,42(4):1-4.
HUI Benli.Mechanized coal mining technology with ultra high cutting height of thick seam in deep mine[J].Coal Science and Technology,2014,42(4):1-4.
[3] 何满潮,徐敏.HEMS深井降温系统研发及热害控制对策[J].岩石力学与工程学报,2008,27(7):1353-1361.
HE Manchao,XU Min.Research and development of HEMS cooling system and heat-harm control in deep mine[J].Chinese Journal of Rock Mechanics and Engineering,2008,27(7):1353-1361.
[4] 魏思祥.高瓦斯千米深井安全高效绿色开采技术研究[J].煤炭科学技术,2017,45(8):85-89.
WEI Sixiang.Study on safety and high efficient and green mining technology in high gassy coal mine with depth of 1 000 m[J].Coal Science and Technology,2017,45(8):85-89.
[5] 刘强,高明忠,王满,等.千米深井采动工作面矿压显现规律及覆岩位移特征研究[J].岩石力学与工程学报,2019,38(S1):3070-3079.
LIU Qiang,GAO Mingzhong,WANG Man,et al.Study on rock pressure behavior law and overburden displacement characteristics of mining face at 1 000 m depth[J].Chinese Journal of Rock Mechanics and Engineering,2019,38(S1):3070-3079.
[6] 康红普,王国法,姜鹏飞,等.煤矿千米深井围岩控制及智能开采技术构想[J].煤炭学报,2018,43(7):1789-1800.
KANG Hongpu,WANG Guofa,JIANG Pengfei,et al.Conception for strata control and intelligent mining technology in deep coal mines with depth more than 1 000 m[J].Journal of China Coal Society,2018,43(7):1789-1800.
[7] 张金虎.大采高综采异常矿压影响因素及支架适应性研究[J].煤炭科学技术,2019,47(12):234-241.
ZHANG Jinhu.Study on factors affecting abnormal mine pressure of large mining height fully-mechanized mining and support adaptability[J].Coal Science and Technology,2019,47(12):234-241.
[8] 王国法,庞义辉.基于支架与围岩耦合关系的支架适应性评价方法[J].煤炭学报,2016,41(6):1348-1353.
WANG Guofa,PANG Yihui.Shield-roof adaptability evaluation method based on coupling of parameters between shield and roof strata[J].Journal of China Coal Society,2016,41(6):1348-1353.
[9] 张金虎,王国法,杨正凯,等.高韧性较薄直接顶特厚煤层四柱综放支架适应性和优化研究[J].采矿与安全工程学报,2018,35(6):1164-1169.
ZHANG Jinhu,WANG Guofa,YANG Zhengkai,et al.Adaptability analysis and optimization study of four-leg shield caving support in ultra thick seam with high toughness and thinner immediate roof[J].Journal of Mining and Safety Engineering,2018,35(6):1164-1169.
[10] 樊伟.两柱与四柱支撑掩护式放顶煤支架选型探讨[J].煤炭工程,2018,50(S1):19-22.
FAN Wei.Discussion on type selection of two-legged and four-legged top-coal caving hydraulic powered support[J].Coal Engineering,2018,50(S1):19-22.
[11] 庞义辉,王国法.大采高液压支架结构优化设计及适应性分析[J].煤炭学报,2017,42(10):2518-2527.
PANG Yihui,WANG Guofa.Hydraulic support with large mining height structural optimal design and adaptability analysis[J].Journal of China Coal Society,2017,42(10):2518-2527.
[12] 杨培举,刘长友,金太.两柱掩护式综放支架的承载规律及工艺研究[J].采矿与安全工程学报,2010,27(4):512-516.
YANG Peiju,LIU Changyou,JIN Tai.Research on the load variation laws and technologic effect of two-leg sublevel caving shield support[J].Journal of Mining and Safety Engineering,2010,27(4):512-516.
[13] 张震,闫少宏,尹希文,等.基于平衡千斤顶受力分析下的两柱综放支架适应性研究[J].煤矿开采,2012,17(1):65-67.
ZHANG Zhen,YAN Shaohong YIN Xiwen,et al.Research on adaptability of two-prop full-mechanized caving powered support based on force analysis of balance jack[J].Coal Mining Technology,2012,17(1):65-67.
[14] 钱鸣高,刘双跃.两柱支掩式支架适应性研究[J].中国矿业学院学报,1985(3):6-16.
QIAN Minggao,LIU Shuangyue.A study of the interaction between 2-leg shield support and roof strata[J].Journal of China University of Mining Technology,1985(3):6-16.
[15] 徐亚军.液压支架顶梁外载作用位置理论研究与应用[J].煤炭科学技术,2015,43(7):102-106.
XU Yajun.Theoretical study and application on external load function location of canopy in hydraulic powered support[J].Coal Science and Technology,2015,43(7):102-106.
[16] 周永昌.掩护式液压支架力学特性的初步分析[J].煤炭学报,1981(1):1-17.
ZHOU Yongchang.Preliminary analysis of mechanical characteristics of shield supports[J].Journal of China Coal Society,1981(1):1-17.
[17] 王国彪.二柱掩护式支架承载能力区理论的研究[J].阜新矿业学院学报(自然科学版),1993(4):46-49.
WANG Guobiao.Study of two-leg shield supporting ability areas theory[J].Journal of Fuxin Mining Institute (Natural Science),1993(4):46-49.
[18] 王国彪,高荣.掩护式支架平衡千斤顶定位尺寸的模拟分析与优化设计[J].煤炭学报,1994(2):195-201.
WANG Guobiao,GAO Rong.Simulation and optimum design of locating dimensions of shield support balance ram[J].Journal of China Coal Society,1994(2):195-201.
[19] 徐亚军,王国法,刘业献.两柱掩护式液压支架承载特性及其适应性研究[J].煤炭学报,2016,41(8):2113-2120.
XU Yajun,WANG Guofa,LIU Yexian.Supporting property and adaptability of 2-leg powered support[J].Journal of China Coal Society,2016,41(8):2113-2120.
[20] 孟昭胜,曾庆良,万丽荣,等.掩护式液压支架顶梁承载特性及其适应性研究[J].煤炭学报,2018,43(4):1162-1170.
MENG Zhaosheng,ZENG Qingliang,WAN Lirong,et al.Supporting performance and canopy adaptability of shield support[J].Journal of China Coal Society,2018,43(4):1162-1170.
[21] 何风强,李宏,王东攀.四柱放顶煤液压支架立柱受力不均衡规律及机理研究[J].煤矿开采,2012,17(6):35-37.
HE Fengqiang,LI Hong,WANG Dongpan.Research on unbalanced force rule and mechanism of 4-prop caving powered support[J].Coal Mining Technology,2012,17(6):35-37.