煤的燃烧、气化等过程通常可以分为原煤热解和焦炭反应2个阶段,其中绝大部分化学能在焦炭反应中释放或转化,焦炭反应的时间尺度也比热解时间尺度高几个量级,然而煤焦反应性又受热解条件影响很大。煤焦反应性包括氧化性气氛下燃烧反应性[1-2]、CO2或H2O气氛下气化反应性[3-4],以及对NOx的还原性等[5-6]。研究认为,热解程度越深,即热解终温越高、停留时间越长,煤焦反应性越低,存在“热失活”现象。这与热解过程中焦炭的孔隙结构、碳基质排列、元素组成、矿物杂质的化学形式和含量变化、热解气氛等因素密切相关[7-9]。SENNECA等发现随着热解温度升高、热解时间延长,焦炭逐渐发生石墨化,其燃烧反应性也越低,同时还观察到热失活发展过程与气氛中氧气含量有关[7]。朱晓玲等同样发现褐煤煤焦CO2气化和燃烧反应的活化能均随热处理温度的升高而增大,且矿物质对此2种反应的催化作用也随之减弱[2]。
目前文献中主要围绕热解温度、热解速率等热处理参数对焦炭反应性的影响开展实验研究,得到一些定性的结论,但对不同热解条件下煤焦反应性改变,特别是“热失活”现象的解释比较分散,并缺乏相应的建模分析。另外,文献中多采用惰性气氛下管式炉制焦以进行后续研究[10-12],也有利用马弗炉[13]、平焰燃烧器[14]、流化床[15]、热天平[16]等手段制焦。已有少数学者发现不同制焦方法下获得的焦炭反应性存在差异,如在1 000 ℃下,类流化床、固定床、类气流床下所制得褐煤焦的C—H2O/C—CO2初始本征气化反应速率依次降低[17]。然而,现阶段关于不同制焦方法对煤焦燃烧反应性影响的研究还比较缺乏。
笔者分别采用马弗炉(Muffle)、管式炉(Tube furnece)和鼓泡床(Bubbling fluidized bed,BFB)3种装置,在不同热解温度下恒温制焦。使用热重分析方法(TGA)测量煤焦在空气气氛下的燃烧反应性,并对各焦炭样品进行了孔结构测量和工业分析,以探究不同热解条件对煤焦结构和燃烧反应性的影响。同时,借助化学渗透析出模型(Chemical Percolation Devolatilization,简称CPD模型),对各热解条件下煤焦碳结构变化进行了定性分析和比较,以探究热处理程度与“热失活”现象的内在关系。
实验选用蒙东褐煤,其元素和工业分析数据见表1。另外选用高纯石墨作为对照组(纯度>99.02%),以与煤焦的反应性进行对比。为避免热重分析实验中气体扩散作用差异的影响,原煤和石墨颗粒均筛选为100~180 μm。
本研究分别使用马弗炉、管式炉和鼓泡床3种装置对原煤进行热解,如图1所示,以探究不同制焦方法对焦炭反应性的影响。
表1 煤样分析
Table 1 Analysis of coal sample
%
工业分析MarAarVarFCar元素分析 CarHarNarSarOar9.128.621.940.446.13.50.61.011.1
图1 小型管式炉/鼓泡流化床制焦实验台示意
Fig.1 Schematic diagram of small-scale tube furnace or bubbling fluidized bed 1—转子流量计;2—电加热炉;3—石英玻璃渣(预热区); 4—石英烧结板;5—恒温实验段;6—温度计;7—过滤器; 8—金属吊篮;9—鼓泡床床料;10—给料斗;11—球阀; 12—实验段顶部出口;13—带撞击板小型玻璃储箱;14—水槽
(1)马弗炉:模拟国家标准《煤的工业分析方法》(GB/T 212—2008)中挥发分测定的过程。当马弗炉升至指定热解终温后,将带有一定量煤样的带盖瓷坩埚放入炉内,恒温热解1 h后,取出坩埚,带盖在空气中冷却至室温。
(2)管式炉:管式炉制焦装置如图1(a)所示。Ar气通过转子流量计控制和计量,经石英玻璃碎片预热后进入恒温实验段,以保持炉内惰性气氛。当炉温升至指定热解终温时(如图1所示,除加热炉控制器显示预设温度和当前温度外,还利用热电偶测量热解区实际温度进行温度校正),将载有一定量煤样的金属吊篮放入炉内,在恒温区热解1 h后,取出并迅速置于Ar气氛中冷却至室温。
(3)鼓泡床:鼓泡床制焦装置如图1(b)所示。实验前预先在玻璃管内自然堆积约6 cm高的石英砂床料,石英砂粒径筛选为200~355 μm。Ar气经预热后通过烧结板进入恒温实验段,使床料流化,流速介于床料最小流化风速和煤焦颗粒夹带速度之间。待炉温升至指定热解终温后,依次打开给料斗下方的两个球阀a/b,使得煤样在一定量的冷Ar气输送下进入鼓泡床内(后依次关闭球阀b/a,避免样品倒吹入料斗内)。恒温热解1 h后,用橡胶塞堵住实验管顶部气体出口,同时拔出玻璃储箱出口胶塞(用石英棉替代)。逐渐增大底部Ar气流量,使焦炭颗粒能够被Ar气气流夹带出实验段,进入水槽中的玻璃储箱内冷却和分离(注意保持石英砂床料颗粒不被夹带出)。待大部分焦样被分离后,取走玻璃储箱内焦炭颗粒并保存。
制备好的焦样分别放入10 mL带盖玻璃瓶内,置于干燥皿中保存。进行热重分析实验前还需置于105 ℃恒温真空干燥箱内干燥2 h以上,以排除焦炭中水分、吸附气体等的干扰。
利用低温N2吸附法对各样品的孔隙结构进行测定。根据IUPAC的分类标准,定义孔径r <2 nm为微孔,r =2~50 nm为介孔(过渡孔),r > 50 nm为大孔(认为r > 252.6 nm的孔属于外部空隙,不计算在内),微孔、介孔和大孔对应的孔表面积与总表面积之比分别记为α1,α2和α3,孔隙参数均根据密度函数模型(Density Functional Theory,简称DFT)计算,以粗略表征煤焦孔径分布情况。另外还对各实验样品进行了工业分析。
煤焦和石墨的燃烧反应性实验在Mettler-Toledo TGA/DSC1/1600HT同步热分析仪上进行。样品用量均为8.2 ~ 8.8 mg,反应在21% O2/N2气氛下进行,气体流量为100 mL/min。采用程序升温法(TPR)测量,以β =20 ℃/min升温速率从室温加热到850 ℃(石墨样品加热至1 150 ℃)。
样品任一时刻t的碳转化率X为
![]()
(1)
式中,m0和m(t)分别为样品的初始质量和任一时刻t的质量;mash为燃烧完全后剩余的灰分质量。
煤焦燃烧反应动力学模型采用Arrhenius形式:
![]()
(2)
式中,A为反应频率因子,s-1;E为反应活化能,kJ/mol;n为反应级数;R(=8 314)为理想气体常数,kJ/(mol·K);T为反应温度,K。
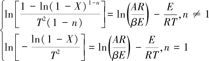
为简单起见,本文采用单个加热速率法获得“动力学三因子”:A,E和n[18],推导后有

(3)
对于所有煤焦和石墨样品,忽略反应机理的差异,则反应级数n相同。对某一n值,可利用实验数据对式(3)进行拟合,从而得到活化能E、频率因子A和n。值得注意的是,不少研究者发现[7,14-15],煤焦在初始反应区(X<15%~20%)的反应速率常数kC会快速上升,而当X>80%~90%时,kC会急剧下降,这两个区间的反应规律与中间稳定反应区有较大差异,本文计算动力学参数时,X取20%~80%。
需要说明的是,本文TGA实验中使用了较小颗粒粒径、较大气体流量和较少堆积样品量,主要是为了减弱气体外扩散的影响。另外,本文实验煤焦在较低温度(600 ℃)下已基本反应完全,可近似认为处于化学动力学作用区[1]。然而,料层扩散、颗粒孔隙扩散等的影响仍然存在,获得的动力学参数中包含了一定的气体扩散阻力作用。但另一方面,本文的最终目的并非准确获取各焦样的真实动力学数据,而是定性比较各自的表观燃烧反应性。因此,保证各实验中扩散作用一致的前提下,仍能够表示不同制焦方法获取焦样的性质差异。
煤焦燃烧反应性还可用着火温度衡量。煤焦着火温度Ti定义为TG曲线上开始失重点切线与最大反应速率点切线的交点所对应的温度。
制焦本质上是燃料热解过程,可以用热解模型来描述。其中,FLETCHER等开发的化学渗透析出模型,即CPD模型,能够较好的模拟煤炭热解过程[19-20]。不同于一般的经验析出速率模型如单步模型,CPD模型是建立在分析煤颗粒结构快速加热析出过程中的物理、化学变化基础上,其不仅能够预测热解进程中各挥发分气体和残余焦炭的相对含量变化,还能够通过各种化学桥键份额的变化间接判断碳粒网格结构的演化。
图2简单表示了CPD模型中煤粒热解反应序列,其中Ar表示稳定的芳香族结构。
图2 CPD模型化学反应简化路径及相应的代表性 中间物结构[19-20]
Fig.2 Chemical reaction scheme and correlative representative chemical structures in the CPD model[19-20]
CPD模型中,首先芳香族之间不稳定桥键ζ断裂,形成高反应活性中间体ζ*,随之面临两步竞争反应:① 与氢原子等自由基结合重新形成稳定的旁链结构δ,在一定条件下该旁链经一系列慢速反应最终可能转化为轻质气体g1析出;② 两个芳香族自由位点直接交联,形成更稳定的碳网结构c,同时析出轻质气体g2。具体反应路径、各中间组分份额以及各步中间反应速率的确定[19-20]。
CPD模型需要原煤的一些结构参数,如芳香环、旁链的物质的量之比等,作为模型的输入参数,原则上需利用核磁共振测量得到。FLETCHER等根据13种煤炭的核磁共振数据得到一系列关联式,也可通过煤的元素分析和工业分析大致计算得到这些输入结构参数[20]。图2中不稳定桥键ζ、旁链结构δ、稳定碳网结构c的份额等反应焦炭结构的参数,随着热解进行逐渐变化,可作为模型计算结果输出。
要探究热处理程度,如热解温度、升温速率等的影响,需计算煤颗粒与周围环境传热过程,即颗粒温度变化。因煤中水分蒸发会带走较多热量,需考虑水的汽化潜热;而热解过程中反应焓的变化十分复杂,为简化计算,这里假设热解净反应焓为0。则惰性流中单颗粒能量平衡方程可表示为
![]()
(4)
假设时间步Δt内颗粒温度和质量不变,则有
式中,mp为t时刻煤颗粒质量,kg;cp为煤颗粒比热容,J/(kg·K);Tp为t时刻煤颗粒温度,K;Tg和Tw分别为气流和周围环境温度(这里假设两者一致),K;Ap为t时刻煤颗粒外表面积,m2;εp为颗粒表面发射率;σ为Stefan-Boltzmann常数,W/(m2·K4);dmw/dt为t时刻煤颗粒中水分蒸发速率,kg/s;ΔHw为水的汽化潜热,J/kg;h为对流传热系数,W/(m2·K),其可用Nusselt数(Nu)关联,即Nu=hdp/λg,λg为气体导热系数,W/(m·K)。
煤颗粒水分析出速率可用单颗粒液滴蒸发速率模型表示
![]()
(6)
式中,dp为煤颗粒粒径,m;km为水蒸气传质系数,m/s,其可用Sherwood数(Sh)关联,即Sh=kmdp/(ρgDw),ρg为气体密度,kg/m3,Dw为水蒸气扩散系数,m2/s;xw,0和xw,∞分别为液滴表面和无穷远处水蒸气摩尔分数。
尽管1.1节中3种制焦方法均是待炉体升至指定热解温度后将煤样放入,但在不同加热装置内,实际热传递过程存在较大差异。马弗炉中主要依靠热辐射加热煤样,管式炉中包括热辐射和热对流两种作用,而在鼓泡床内,除存在辐射和对流外,颗粒间的接触导热也是重要的热传递路径之一,大量翻滚的床料颗粒也使床层温度分布趋于均匀。因此,马弗炉、管式炉和鼓泡床内煤样实际升温速率依次增大。这可反映为式(4)中对流传热系数h,以及相关的Sherwood数[21]、Reynolds数等的差异上:

(7)

(8)

(9)
其中,htube为管式炉内颗粒表面对流传热系数,与式(5)一致;ξ为鼓泡床内颗粒间接触导热增强系数,这里假设ξ=20;Sc为Schmidt数;εmf为鼓泡床临界流化空隙率;Ug为管式炉内气体流速,m/s;Umf为鼓泡床最小流化风速,m/s;μg为气体动力黏度,N·s/m2。εmf和Umf可通过经验公式计算获得[22]。
模型计算中的颗粒粒径均取为实验样品中位径dp=140 μm。因为传热计算中未考虑反应热、辐射传热简化、经验参数值选取等因素,且实际制焦中煤颗粒并非处于严格意义上的大空间中单颗粒状态,故模型计算值与煤颗粒实际热解过程间存在偏差,但总体趋势不变。和1.3节中焦炭燃烧反应性衡量相似,本文主要利用CPD模型计算结果定性比较和分析不同条件下煤颗粒热解过程差异。
煤焦燃烧反应表观动力学参数如图3所示,各焦样及石墨、原煤的工业分析和孔隙数据见表2。计算得到反应级数n=1.01,与很多文献中假设的n=1基本一致[1-2]。
图3 各焦样的燃烧反应动力学参数对比
Fig.3 Kinetic parameters of coal char combustion reaction
以马弗炉和鼓泡床两种制焦方法为例(管式炉变化趋势一致),图4为热解温度对煤焦燃烧反应性的影响。结合图3可以看出,热解温度升高,煤焦着火延迟,燃烧反应性降低。
图5,6分别给出了CPD模型计算得到的不同热解温度下煤颗粒升温曲线和挥发分析出份额变化曲线。可以看出,热解温度越高,最终释放出的挥发分总额越高,这也与表2中的实验结果相一致(热解温度越高,残留在焦炭中的挥发分物质越少)。
这些结果说明:热解温度越高,热解程度越深,存在“热失活”现象,这与其他学者的研究结论一致[1,2,7,9]。根据前面实验和模型结果,并结合文献中已有的一些现象,总结煤焦“热失活”的原因主要有以下4个方面:
(1)表面活性位减少。焦炭中边缘碳原子、酚羟基、羧基、芳香族氢、脂肪族氢、表面缺陷等区域易与反应气结合,称为“活性位点”,图2表示的旁链结构δ即其中1种。从图7中CPD模型计算结果可以看出,热解温度越高,残留在碳网中的旁链结构份额越少,说明酚羟基、羰基、脂肪侧链等的裂解随着热解程度提高而加剧,这同时也反映为元素组成中H/C比和O/C比降低[7,23]。另外,碳结构有序化也使得边缘碳原子和表面缺陷减少,这些都造成焦炭表面活性位减少。从另一个角度看,Arrhenius形式(式(2))中频率因子A表示反应物分子碰撞频率,其与活性位物理概念接近,从图3可知,煤焦反应性与频率因子A正相关,从而印证了上述观点。
表2 煤焦的工业分析和孔隙结构特性
Table 2 Proximate analysis and pore structures of coal chars
SampleMethodTp/℃工业分析/%FCdafAdVdafPore parametersS /(m2·g-1)α1/%α2/%α3/%M70070031.9057.0211.08188.6093.176.770.06M800Muffle furnace80031.6059.369.0477.1089.6110.220.17M90090031.3761.696.9488.3087.6512.210.14T70070045.2642.5812.1629.8088.7710.880.35T800Tube furnace80046.0243.5010.4836.9099.100.570.33T90090048.1443.648.2245.8097.322.290.39B70070039.5245.7614.7247.7096.732.910.36B800BFB80039.8649.1910.95138.8091.898.030.08B90090038.9852.638.3965.3090.259.600.15Graphite——96.271.032.700.47075.6924.31Parent coal37.7631.1631.080.48082.8217.18
注:Tp—Pyrolysis temperature;S—Specific surface area;α1—Microporous ratio;α2—Mesoporous ratio;α3—Macroporous ratio。
图4 程序升温下,热解温度对煤焦燃烧反应性的影响(实验)
Fig.4 Effect of pyrolysis temperature to coal char combustion reactivity under TPR condition(Experiment)
图5 不同热解环境温度下,煤颗粒升温曲线(模拟)
Fig.5 Coal particle heating curves under different pyrolysis temperature(Simulation)
(2)碳结构有序性增加,石墨化程度加深。煤热解过程包括裂解和缩聚两大类反应,热解程度增加时,缩聚反应加快,导致芳香核增大,碳网交联,原先“无序”碳结构逐渐有序化[4,7,24]。一般认为,缩合芳烃和高度有序的石墨化结构热稳定性高,反应性较低。宏观表现为反应活化能提高,如图3所示,例如高纯石墨的活化能要高出30%左右。
图6 不同热解环境温度下,总挥发分析出量随时间变化 (原煤干燥无灰基)(模拟)
Fig.6 Total volatiles yield under different pyrolysis temperature (fraction of original daf coal)(Simulation)
图7 不同热解环境温度下,残余旁链结构份额随时间 变化(模拟)
Fig.7 Change of side chain population with time under different pyrolysis temperature( Simulation)
(3)孔隙结构变化。从表2中马弗炉焦和鼓泡床焦可以看出,热解温度越高,微孔与中大孔的相对比例逐渐减小,王明敏等也发现热解温度升高使煤焦部分微孔转变为中孔和大孔[25],可认为发生类似于粉末“烧结”现象,大量微孔相互缩并,导致孔隙直接连通率降低,气体扩散阻力增大,不利于反应气扩散至反应界面和产物气离开。比较意外的是,与反应性随热解温度单调变化不同,比表面积与反应性关系并不明显,说明比表面积大小并不是制约煤焦燃烧反应性的主要因素。
(4)焦炭中矿物杂质含量和化学组成变化。焦炭中Fe,Na等金属元素对煤焦燃烧、气化和对NO还原等均有明显的催化作用[2,24]。而当热解加深时,矿物杂质会发生烧结[7];同时K,Na等碱金属元素会释放到气相中,或结合形成硅酸盐、硅铝酸盐或硫酸盐[11],造成催化活性降低。
图8 程序升温下,制焦方法对煤焦燃烧反应性的影响(实验)
Fig.8 Effect of pyrolysis method to coal char combustion reactivity under TPR condition(Experiment)
图8比较了在相同热解环境温度下,不同制焦方法获得焦炭的燃烧反应性,800 ℃下制得焦样的变化规律与此一致。
结合图3,8和表2可以看出,制焦方法对煤焦孔隙结构和燃烧反应性影响很大。总体来看,相同热解温度下,鼓泡床、管式炉和马弗炉制得的焦样,燃烧反应性依次降低。
认为制焦方法对煤焦反应性的影响可能有以下2个方面:
(1)热解升温速率不同。根据1.4节的分析及图9可知,马弗炉、管式炉和鼓泡床内煤样实际升温速率依次增大,以环境温度800 ℃为例,马弗炉、管式炉和鼓泡床内煤颗粒升温速率各为10,104和106 K/s量级。吕帅等也实验发现随升温速率的增加,印尼褐煤试样的综合燃烧性能显著增强[26],这与本文趋势一致。
图9 不同制焦方法下煤颗粒升温曲线(热解温度 900 ℃)(模拟)
Fig.9 Coal particle heating curve under different char preparing conditions (Tpyrolysis=900 ℃)(Simulation)
遗憾的是,从CPD模型计算结果来看,尽管热解进程不同,但热解终态(挥发分析出总量、残余旁链结构份额等)3者近似相同(图10,11)。吕帅等也发现热解最终失重率与升温速率无显著关系,仅与热解终温有关[26]。故根据CPD模型尚无法分析热解升温速率对最终焦炭燃烧反应性的影响。有学者发现,和慢速热解相比,快速热解条件下的焦炭具有更高的H/C比和O/C比,碳结构无序性相对较高[13,15],可能使反应性提高。
图10 不同制焦方法下,总挥发分析出量随时间变化(热解 温度900 ℃,原煤无灰干燥基)(模拟)
Fig.10 Total volatiles yield under different char preparing conditions (Tpyrolysis=900 ℃,fraction of original daf coal)(Simulation)
图11 不同制焦方法下,残余旁链结构份额随时间变化 (热解温度900 ℃)(模拟)
Fig.11 Change of side chain population with time under char preparing conditions (Tpyrolysis=900 ℃)(Simulation)
(2)热解气氛不同。马弗炉制焦时,煤样置于带盖坩埚内,虽然挥发分会将盖顶开少许,并可能有微细颗粒粘附在盖的表面形成通道,但总体来看坩埚内气体与外界流动较差,因此热解释放的挥发分气体如CO2,CO,CH4等不能及时排出,相当于在“还原性”气氛下制焦;同时可能有少许空气进入坩埚内,煤焦存在少量氧化的可能。而管式炉和鼓泡床内,煤样始终处于惰性气流中。已有学者发现,CO2气氛下制得的煤焦中芳香族和烷基官能团含量比惰性气氛(Ar,N2)下高,而具有高反应活性的羟基官能团较低,其燃烧反应性也较差[8]。
(1)热解温度越高,煤焦挥发分含量越少,热解程度越深,即煤焦着火延迟,燃烧反应性降低,即存在“热失活”现象。根据实验和CPD模型计算结果,并结合文献中已有的一些现象,认为造成热失活的主要原因有:表面活性位减少,指前因子降低;碳结构有序性增加,活化能增大;小孔缩并导致孔隙连通率降低,扩散阻力增大;具有催化活性的矿物杂质含量减少。
(2)不同制焦方法对煤焦孔隙结构和燃烧反应性同样存在很大影响。相同热解温度下,鼓泡床、管式炉和马弗炉制得的焦样,燃烧反应性依次降低。该现象的原因尚不清晰,可能与实际热解升温速率和热解气氛差异有关。
[1] 孙锐,廖坚,KELEBOPILE L,等.等温热重分析法对煤焦反应动力学特性研究[J].煤炭转化,2010,33(2):57-63.
SUN Rui,LIAO Jian,KELEBOPILE L,et al.Study on oxidation reactivity by isothermal thermogravimetric method[J].Coal Conversion,2010,33(2):57-63.
[2] 朱晓玲,盛昌栋.热处理对煤焦气化和燃烧反应性的影响[J].工程热物理学报,2010,31(5):875-878.
ZHU Xiaoling,SHENG Changdong.The influences of heat treatment on reactivities of char gasification and combustion[J].Journal of Engineering Thermophysics,2010,31(5):875-878.
[3] SENNECA O,SALATINO P,MASI S.Microstructural changes and loss of gasification reactivity of chars upon heat treatment[J].Fuel,1998,77(13):1483-1493.
[4] SALATINO P,SENNECA O,MASI S.Assessment of thermodeactivation during gasification of a bituminous coal char[J].Energy and Fuels,1999,13:1154-1159.
[5] LI Dong,GAO Shiqiu,SONG Wenli,et al.Experimental study of NO reduction over biomass char[J].Fuel Processing Technology,2007,88(7):707-715.
[6] GARIJO E G,JENSEN A D,GLARBORG P.Reactivity of coal char in reducing NO[J].Combustion and Flame,2004,136(1-2):249-253.
[7] SENNECA O,SALATINO P,MASI S.The influence of char surface oxidation on thermal annealing and loss of combustion reactivity[J].Proceedings of the Combustion Institute,2005,30(2):2223-2230.
[8] 段伦博,赵长遂,李英杰,等.不同热解气氛煤焦结构及燃烧反应性[J].东南大学学报(自然科学版),2009,39(5):988-991.
DUAN Lunbo,ZHAO Changsui,LI Yingjie,et al.Structure and combustion reactivity of coal char pyrolyzed in different atmospheres[J].Journal of Southeast University (Natural Science Edition),2009,39(5):988-991.
[9] 马淞江,刘晓芳,戴谨泽,等.温和热解条件下内蒙褐煤热解半焦的燃烧性能[J].煤炭学报,2015,40(5):1153-1159.
MA Songjiang,LIU Xiaofang,DAI Jinze,et al.Combustion performance of semi-coke from Inner Mongolia lignite under mild pyrolysis conditions[J].Journal of China Coal Society,2015,40(5):1153-1159.
[10] WANG Cang’an,DU Yongbo,CHE Defu.Investigation on the NO reduction with coal char and high concentration CO during oxy-fuel combustion[J].Energy and Fuels,2012,26(12):7367-7377.
[11] WANG Xuebin,SI Jipeng,TAN Houzhang,et al.Kinetics investigation on the reduction of NO using straw char based on physicochemical characterization[J].Bioresource Technology,2011,102(16):7401-7406.
[12] 徐秀峰,崔洪,顾永达,等.煤焦制备条件对其气化反应性的影响[J].燃料化学学报,1996,24(5):404-410.
XU Xiufeng,CUI Hong,GU Yongda,et al.Influence of charring conditions of coal chars on their gasification reactivity by air[J].Journal of Fuel Chemistry and Technology,1996,24(5):404-410.
[13] 温雨鑫,徐祥,肖云汉.热解条件对煤焦孔结构和反应性的影响[J].中国电机工程学报,2013,33(29):63-68.
WEN Yuxin,XU Xiang,XIAO Yunhan.Effects of pyrolysis conditions on the pore structure and reactivity of chars[J].Proceedings of the CSEE,2013,33(29):63-68.
[14] GUO F,JENSEN M J,BAXTER L L,et al.Kinetics of NO reduction by coal,biomass,and graphitic chars:Effects of burnout level and conditions[J].Energy and Fuels,2014,28(7):4762-4768.
[15] GUERRERO M,MILLERA A,ALZUETA M U,et al.Experimental and kinetic study at high temperatures of the NO Reduction over eucalyptus char produced at different heating rates[J].Energy and Fuels,2011,25(3):1024-1033.
[16] 张守玉,吕俊复,王文选,等.热处理对煤焦反应性及微观结构的影响[J].燃料化学学报,2004,32(6):673-678.
ZHANG Shouyu,LÜ Junfu,WANG Wenxuan,et al.Effect of heat treatment on the reactivity and microstructure of coal-char[J].Journal of Fuel Chemistry and Technology,2004,32(6):673-678.
[17] 陈望舒.制焦条件对煤焦的结构及其本征气化反应性的影响[D].太原:太原理工大学,2014.
CHEN Wangshu.Effects of pyrolysis conditions on char structure and its intrinsic gasification reactivity[D].Taiyuan:Taiyuan University of Technology,2014.
[18] 谢克昌.煤的结构与反应性[M].北京:科学出版社,2002:221-222.
[19] GRANT D M,PUGMIRE R J,FLETCHER T H,et al.A chemical model of coal devolatilization using percolation lattice statistics[J].Energy and Fuels,1989,3:175-186.
[20] FLETCHER T H,KERSTEIN A R,PUGMIRE R J,et al.Chemical percolation model for devolatilization.3.Direct use of 13C NMR data to predict effects of coal type[J].Energy and Fuels,1992,6:414-431.
[21] NAUZE R D La,JUNG K.Mass transfer of oxygen to a burning particle in a fluidized bed[A].Proceedings of the 8th Australasian Fluid Mechanics Conference[C].1983.
[22] YANG W C.Handbook of fluidization and fluid particle system[M].Pennsylvania:Siemens Westinghouse Power Corporation,2002:61-62.
[23] YIN Yanshan,ZHANG Jun,SHENG Changdong.Effect of pyrolysis temperature on the char micro-structure and reactivity of NO reduction[J].Korean Journal of Chemical Engineering,2009,26(3):895-901.
[24] ZHANG Juwei,SUN Shaozeng,ZHAO Yijun,et al.Effects of inherent metals on NO reduction by coal char[J].Energy and Fuels,2011,25(12):5605-5610.
[25] 王明敏,张建胜,张守玉,等.热解条件对煤焦比表面积及孔隙分布的影响[J].煤炭学报,2008,33(1):76-79.
WANG Mingmin,ZHANG Jiansheng,ZHANG Shouyu,et al.Effect of pyrolysis conditions on the char surface area and pore distribution[J].Journal of China Coal Society,2008,33(1):76-79.
[26] 吕帅,吕国钧,蒋旭光,等.印尼褐煤湿煤末(煤泥)热解和燃烧特性及动力学分析[J].煤炭学报,2014,39(3):554-561.
LÜ Shuai,LÜ Guojun,JIANG Xuguang,et al.Pyrolysis/combustion characteristics and kinetic analysis of Indonesia lignite sludge[J].Journal of China Coal Society,2014,39(3):554-561.