回采巷道围岩冲击破坏能量特征分析

镐 振1,郭林峰2,赵希栋3,陈国祥1,张国华4

(1.河南工程学院 安全工程学院,河南 郑州 451191; 2.中国矿业大学(北京) 能源与矿业学院,北京 100083; 3.华北科技学院 安全工程学院,河北 廊坊 065201; 4.河南能源化工集团义煤公司 千秋煤矿,河南 义马 472300)

摘 要:由冲击动力造成的巷道破坏是一种典型的煤岩动力灾害,严重威胁着矿井的安全生产。针对义马煤田千秋矿21141工作面运输巷频繁发生冲击破坏的问题,在分析典型巷道冲击破坏微震监测能量特征的基础上,开展了常规三轴压缩试验并结合理论分析、数值模拟等手段,研究了煤岩体发生冲击破坏时的能量特征。研究结果表明:巷道围岩冲击破坏发生前,微震监测最大能量波动幅度较小,但是每次巷道围岩冲击破坏事件的发生均伴随有微震监测能量的急剧增大;试件双向载荷比值(轴压/围压)对声发射能量特征有显著影响,加载速率相同时,围压越大,能量峰值越小;在一定条件下,采动应力、巷道扩修、巷内爆破等事件产生的扰动加载作用能够改变区域应力场中巷道双向载荷比值,使得塑性区形态特征由非蝶形转化为蝶形,或导致塑性区蝶叶出现瞬时扩展,并以震动、声响和煤岩碎块抛出的形式释放存储于围岩系统中的大量能量,从而诱发巷道围岩冲击破坏。在实际的工程实践中,可以采取降低采煤工作面推进速度、控制开采截深、调控巷道围岩区域应力场等措施,以减小煤岩体的加载速率,防止大能量事件的产生,避免巷道蝶形塑性区瞬时扩展过程中能量的突然释放。

关键词:回采巷道;冲击破坏;能量;塑性区;蝶形

由冲击动力造成的巷道破坏是世界范围内最严重的矿山煤岩动力灾害之一,其发生的突然性和严重的破坏性严重威胁矿井的安全生产[1-2]

近年来,我国煤矿的开采深度和强度逐渐增大,作为一种典型的突变型灾害——冲击动力灾害的发生频次和烈度也急剧增加,这一灾害与煤层开采产生的扰动作用密切相关并且严重着威胁巷道围岩稳定。统计数据显示,我国已有167对矿井发生过冲击动力灾害[3],这些矿井分布在山东、黑龙江、内蒙古、河南等20个省(自治区),并且发生在巷道中的冲击动力灾害约占85%。因此,为破解这一重大难题,首要任务应是研究冲击动力导致巷道围岩破坏的机理[4]

国内外许多专家学者紧密围绕冲击破坏发生时巷道围岩突然、急剧、猛烈破坏的物理力学特征,从不同角度分析了煤岩体静态破坏及动态破坏的原因,得出了伴随冲击破坏产生的巨大声响、强烈震动、大量煤岩体抛出等动力显现的力学本质,取得了丰硕的研究成果,并形成了能量理论、强度理论、冲击倾向性理论、刚度理论、变形失稳理论、“三因素”理论等许多经典理论[2,5-8]。近年来随着数学力学等交叉学科引入到该研究领域,又形成了冲击启动理论、突变理论和混沌理论等[9-12]。此外,赵阳生研究了非均质、各向异性、不同应力状态下,岩体的破坏方式和消耗能量特征,认为岩体动力破坏真正需要消耗的总是单向应力状态的破坏能量[13]。高明仕、窦林名等基于巷道产生冲击破坏的原因和机理,研究了强弱强(3S)结构力学模型防冲抗震机理,认为结构自身强度、应力转移和吸收、变形及能量耗散等方面均表现出不同的3S特征[14],并给出了巷道围岩结构在震源冲击扰动时破坏失稳的能量准则[15]。这些理论成果为本文的研究奠定了坚实的基础,并且从能量角度阐述冲击机理的研究中,没有指出巷道围岩中能量的积聚位置。

义马煤田频繁发生巷道围岩冲击破坏。统计结果表明,自2006—2015年,义马煤田中部五对矿井累计发生108次冲击破坏事件,共造成超过11 000 m巷道遭到不同程度的破坏、数十人伤亡,以及近亿元的直接经济损失。其中,千秋矿共发生41次巷道围岩冲击破坏事件,其中24次发生在回采期间的21141工作面运输巷,占千秋矿冲击破坏事件总数的58.5%。因此,本文以千秋矿21141工作面运输巷为工程背景,通过分析现场微震监测结果,结合实验室试验,深入研究巷道围岩冲击破坏能量特征,以期进一步丰富巷道冲击破坏理论。

1 典型巷道围岩冲击破坏微震监测能量特征

1.1 工程地质概况

义马煤田位于河南省西部义马市、渑池县境内,自西向东依次分布有杨村矿、耿村矿、千秋矿、跃进矿、常村矿。义马煤田典型地层特征是煤层上覆岩层为厚度达几十至数百米的巨厚砾岩,砾岩主要成分是石英岩和石英砂岩。

千秋矿目前主采二煤,平均厚度25.2 m,倾角10°~14°。煤层上方依次是泥岩(厚度约25 m)、砾岩、粉砂岩、细砂岩互层(厚度约205 m)以及厚度达407 m的巨厚砾岩。

21141工作面平均埋深684 m,走向长度和倾向长度分别是1 496 m和130 m,直接底为泥岩,厚度6.2 m,基本底以细砂岩为主,间夹碳质泥岩、含砾泥岩等。采用放顶煤采煤法和综合机械化采煤工艺,自然垮落法管理顶板。

21141工作面运输巷断面形状为半圆拱形,掘进期间留有厚度约2 m的底煤,采用锚网索浆+36U型钢全封闭支架支护,局部地段采用木点柱加强支护,以减弱巷道围岩冲击破坏程度。同时,为了降低巷道冲击危险性,在21141工作面两巷采取了煤层卸压钻孔、高压注水、深孔卸压爆破等防冲措施。除此之外,千秋矿还安装了多种监测预警系统,实现了多渠道、多手段捕捉巷道围岩冲击破坏信息。

1.2 典型巷道围岩冲击破坏微震监测能量特征

1.2.1 冲击破坏事件Ⅰ

2010-05-27T03:03,千秋矿21141工作面推进距离为400 m左右(三次见方影响区域)时,运输巷发生冲击破坏,微震监测能量为11 MJ(ARAMIS),震级:1.4级(KZ-301)。该冲击破坏事件导致局部巷道最大底臌量为1.4~1.6 m(图1(a)),两帮最大移近量为1.6~2.2 m。U型钢支架底拱联接处最大滑移量为0.4 m(图1(b)),数十根木点柱倾倒(图1(c)),实验底梁拱起或折断(图1(d))。

图2(a)为微震监测能量和频次曲线。从图2(a)可以看出,在巷道冲击破坏事件发生前20 d内,最大能量波动幅度较小,而大能量事件总频次的变化范围较大。微震监测结果显示,2010-05-10最大能量为4.1 MJ,总频次为19次。而17 d后(2010-05-27),21141工作面运输巷发生冲击破坏,最大能量急剧增大,峰值达到11 MJ,总能量也相应的增大。

图1 巷道围岩冲击破坏现场照片
Fig.1 Scene photos of roadway surrounding rock burst failure accident

图2 微震监测能量和频次曲线
Fig.2 Energy and frequency curves of microseismic monitoring

1.2.2 冲击破坏事件Ⅱ

2011-02-14T09:43,21141工作面推进距离约为700 m时发生一次冲击破坏,该事件位置距离工作面45 m,微震监测能量为50 MJ(ARAMIS),震级:3.1级(KZ-301)。冲击破坏事件发生时,21141工作面运输巷有多个地点正在翻修施工和爆破作业。该事件造成局部地段巷道顶底移近0.3~0.5 m,巷道底臌0.2~0.3 m,巷道最小高度仅1.2~1.3 m,巷道扩修地段内的36U型钢支架和门式支架向上帮倾斜,并且有多根大立柱断裂,部分大立柱向上帮不同程度倾斜。

从图2(b)可以明显地看出,巷道围岩冲击破坏事件发生时,微震监测最大能量和总能量均急剧增大,分别达到51 MJ和53 MJ。而冲击破坏事件发生前(即自2011-01-26—02-13),最大能量处于1.1~5.5 MJ,微震监测总能量变化2.1~14.0 MJ。

由此可以得出,在没有发生巷道围岩冲击破坏时,微震监测最大能量波动幅度较小,但是每次冲击破坏事件的发生均伴随有微震监测能量的急剧增大。

2 声发射信号的能量特征

研究表明,巷道围岩冲击破坏等煤岩动力灾害的本质是煤岩结构在外部载荷作用下其内部裂纹萌生、扩展及贯通导致的破裂失稳,煤岩在其变形破坏过程中伴随着声、热等信号的产生,通过监测这些信号能够可以实现煤岩动力灾害的预测预警[16]。因此,从微观角度研究煤体在受载状态下声发射信号的能量特征,可为获得回采巷道发生冲击破坏时的能量特征提供参考。

2.1 声发射试验方案

基于义马煤田中部矿井的实际开采情况、煤样试件性质差异性及其峰后破坏特征,同时考虑到加载速率较大时,会造成试件瞬间破坏,因此,选用常规三轴压缩试验方案,加载速率为0.05,0.3,1 mm/min,围压为2,5,8 MPa,以模拟不同程度的动载影响。在试验过程中,首先采用应力控制的方式按静水压力的条件逐步将围压加载到设置水平并保持围压恒定,然后分别采用位移控制的方式提高轴压至试件破坏,并记录加载过程中声发射信号的能量特征。

由于千秋矿21141工作面埋深为684 m且已回采结束,而同样位于义马煤田中部的常村矿21170工作面埋深约690 m,二者极为接近,因此在21170工作面推进至193 m处的煤壁采取试验煤样,然后加工成φ50 mm×100 mm左右标准煤样试件。

试验选用TAW-2000微机控制高温三轴伺服试验机,声发射信息采集系统选用德国Vallen公司AMSY-6声发射系统。选用4个传感器采集声发射信号,其中1,2号和3,4号传感器呈对角式分别布置于距离试件底端和顶端10 mm处。利用胶带将传感器固定在油缸表面,黄油作为耦合剂,以增强传感器与试件间的耦合效果和尽可能地减少声发射信号的衰减。试验加载系统及声发射测试系统如图3所示。

图3 TAW-2000试验机及声发射测试系统
Fig.3 TAW-2000 testing machine and AE monitoring system

2.2 声发射信号的能量特征

试件在不同加载条件下声发射信号能量特征及轴向应力随时间变化曲线如图4所示。从图4可以看出:① 轴向应力达到最大值时,能量也达到或接近峰值;② 在同一围压条件下,能量峰值随着加载速率的减小而逐渐减小,加载速率相同时,能量峰值随着围压的增大而逐渐减小,这表明围压较小或者加载速率较大均有利于大能量事件的产生;③ 围压越大时,相对的轴压与围压的比值越小,声发射信号的能量也越小。

由此可以得出,试件双向载荷比值(轴压/围压)对声发射能量特征有显著影响,加载速率相同时,围压越大,能量峰值越小。

图4 围压为2,5,8 MPa时声发射信号的能量、应力与时间关系
Fig.4 Relationship of AE event energy,stress and time when loading is 2,5 and 8 MPa

在实际的工程实践中,对于开采来说体地下开采是一个卸载过程,而对周围岩体而言则是加载过程。已有研究表明,单位时间内开采截深的增大必然引起周围岩体单位时间内更加剧烈的加卸载活动,可以认为是对周围岩体加载速率的增大[17]。煤层内弹性能的积聚与工作面推进速度正相关,工作面快速推进和非匀速推进都会造成超前支承压力增大,并且产生的扰动作用容易诱发冲击巷道围岩冲击破坏[18-19]。因此,工作面回采过程中,应降低推进速度、控制开采截深,以减小煤岩体的加载速率,防止巷道围岩发生冲击破坏。

3 巷道围岩冲击破坏能量特征

在能量的宏观角度方面,20世纪60年代Cook等提出了能量理论,发现随着采掘范围的不断增大,矿体发生破坏并改变“矿体-围岩”系统的力学平衡状态时,会产生能量释放,当释放的能量大于消耗的能量时,将导致巷道发生冲击破坏[20]。能量的突然释放将导致围岩体的急剧破坏,并伴随有声响、岩块的弹射等。能量理论从能量角度阐明了产生破坏时必须有多余的能量以支持煤岩体形成冲击动能,这是围岩体发生冲击的必要条件,但是能量理论并没有介绍煤岩体产生冲击破坏的条件,特别是巷道围岩释放能量的条件[21]

在实际的开采实践中,“矿体-围岩”系统会不断受到采掘扰动以及地质构造等因素的影响,在工作面回采、巷道扩修、爆破等因素产生动载作用下,将打破系统原来的应力平衡状态,应力平衡区发生变化,而在这一变形破坏的过程中,会产生能量的积聚、释放和系统内多种能量的耗散,因此,“矿体-围岩”系统实质上是一个能量耗散结构。弹性能释放量是一个能够反映冲击破坏的重要参数,定量计算冲击破坏前后回采巷道围岩系统内弹性能释放量,对于揭示回采巷道围岩冲击破坏能量特征具有十分重要的意义[22]

3.1 巷道围岩冲击破坏释放弹性能的计算

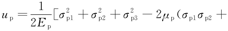
根据弹性力学理论[23],当应力与应变满足线性关系时,可得出微小单元体在三向应力状态下的体积应变能,即应变能密度可表示为

(1)

式中,E为煤岩体的弹性模量;σ1σ2σ3分别为区域应力场主导下单元体的最大、中间和最小主应力;μ为煤岩体的泊松比。

当围岩出现破坏后,其塑性破坏区的微小单元体仍看作处于弹性状态下,则该区域弹性应变能密度可等效用式(1)计算(此时的弹性模量与泊松比为塑性状态下的量值)。

σp2σp3+σp3σp1)]

(2)

式中,Ep为该区域煤岩体的弹性模量;σp1σp2σp3分别为塑性破坏区域微小单元受到的最大、中间和最小主应力;μp为塑性破坏区煤岩体的泊松比。

在实际的数值模拟计算过程中,需要将模型划分为不规则的网格,因此在计算模型中每一个单元体的应变能时,需要考虑模型中该单元体的体积。冲击破坏前后巷道围岩应变能的变化量就是模型中所有单元体应变能变化量的总和,由此可以得出弹性应变能W计算公式:

W=∑uiVi

(3)

式中,ui为第i个单元体的应变能密度;Vi为第i个单元体的体积。

由于巷道围岩产生塑性破坏会引起弹性能的释放,因此可将巷道围岩体未发生破坏时的弹性应变能We和巷道围岩产生塑性破坏后的弹性应变能Wp的差值定义为巷道围岩发生塑性破坏所释放的能量,即

Wep=We-Wp

(4)

巷道围岩破坏的实质是围岩塑性区的形成及扩展,因此可以从巷道围岩塑性区的产生和瞬时扩展方面入手,分析巷道围岩冲击破坏能量特征。

3.2 扰动加载条件下巷道围岩能量特征数值分析

3.2.1 巷道围岩冲击破坏能量释放特征

(1)数值计算模型建立。千秋矿21141工作面北侧是采空区,其南侧依次是未开采的21161工作面和采空区,东西两侧均为保护煤柱。工作面布置及开采顺序如图5所示。

图5 工作面布置及开采顺序示意
Fig.5 Schematic diagram of working facelayout and mining
sequence

经过实际测试,千秋矿的最大水平主应力为19.5 MPa、最小水平主应力为10.0 MPa、垂直主应力为17.8 MPa[24]。根据千秋矿具体工程地质条件,建立数值计算模型,尺寸为1 000 m×1 550 m×950 m(长×宽×高)(图6)。结合矿井地应力条件,模型水平方向上边界限定x方向位移,底部边界限定xy方向位移,上部无边界条件限制,模型仅受重力作用。岩体物理力学参数见表1,数值计算采用摩尔—库伦强度准则。

图6 数值模拟计算模型
Fig.6 Numerical simulation calculation model

根据工作面实际尺寸和开采顺序,在数值模拟计算过程中依次进行工作面开挖,其中21141工作面开挖长度为400 m。

表1 岩体物理力学参数
Table 1 Rock mechanical and physical parameters

岩性密度/(kg·m-3)抗拉强度/MPa体积模量/GPa剪切模量/GPa黏聚力/MPa内摩擦角/(°)砾岩2 6803.598.359.5613.529.6泥岩2 5532.618.177.685.326.5二煤1 4000.752.461.773.025.1泥岩2 5532.618.177.685.326.5细砂岩2 7205.568.659.5616.532.8

(2)巷道围岩冲击破坏能量释放特征。已有研究成果表明,区域应力环境对巷道围岩塑性区形态特征有重要影响[25],当双向载荷比值(P1/P3)达到一定值时,巷道围岩塑性区形态会呈蝶形,如图7所示。

当21141工作面推进400 m时,首先沿运输巷轴向提取工作面前方100 m范围的最大主应力P1、最小主应力P3以及最大主应力与x轴的夹角,分析工作面前方100 m范围内不同位置处的主应力大小、方向及巷道围岩塑性区形态特征,如图8所示。

图7 不同应力条件下巷道围岩塑性区形态[25]
Fig.7 Shapes of surrounding rock mass plastic zone under different stress conditions[25]

图8 工作面推进400 m时回采巷道塑性区形态特征
Fig.8 Morphological characteristics of plastic zone distribution of gateway when the working face was advanced 400 m

从图8可以看出,随着到工作面距离的增加,最大主应力P1沿回采巷道轴向呈现出先急剧增大后逐渐减小的趋势,变化的幅度越来越小,峰值为38.03 MPa,其位置到工作面的距离是15 m,而此处最小主应力为14.87 MPa,最大主应力的大小是其2.56倍,最小主应力在距离工作面25 m处达到峰值,大小为18.11 MPa,然后随着距离的增大而缓慢减小。沿着巷道轴向最大主应力方向与x轴夹角随着到工作面距离的增加而逐渐增大,但是增速逐渐放缓。距离工作面5 m处最大主应力方向与x轴夹角为84.12°,在距离为100 m处增大至89.69°。

从图8中还可以看出,工作面前方不同距离处,回采巷道塑性区的形态特征差异较大。当距离较大(距离为100 m和80 m)时,回采巷道塑性区呈不规则形态。两帮塑性区主要集中在肩角处并且和底板塑性区的范围较为接近,而顶板塑性区深度较小。到工作面距离为65 m和50 m时,回采巷道底板塑性区范围变化较小,而两肩角处塑性区范围逐渐向深部扩展。在距离为30 m处,回采巷道塑性区两肩角处塑性区进一步向深部延伸,底板塑性区变化范围依然不明显。当到工作面的距离为15 m时,回采巷道两肩角处的塑性区向深部大幅扩展,塑性区形态呈蝶形。

最大主应力与x轴夹角随着到工作面距离的增大而增大,到工作面距离不小于50 m时,夹角超过了89°,塑性区分布基本对称,而在距离工作面15 m处的夹角约为86°,该处的塑性区形态呈蝶形并且蝶叶位置发生了偏转。

由此可以得出,主应力的大小及方向直接影响着塑性区的形态特征,并且最大主应力方向的变化会引起塑性区最大尺寸位置的变化。由于回采巷道塑性区呈不均匀分布状态,在采动应力、巷道扩修、巷内爆破等外界扰动的作用下,巷道围岩区域应力场中的竖向载荷将会增大,回采巷道双向载荷比值也会改变,比值达到某一值时巷道围岩塑性区呈蝶形分布。当巷道围岩竖向载荷增大到一定程度(即双向载荷比值达到某一值)时,塑性区蝶叶在煤层内出现瞬时扩展,煤岩体内积聚的弹性能得到释放,导致煤层在短时间内发生大范围破坏,从而诱发巷道支护体破坏、煤岩体抛出等冲击动力现象[22]。在外界扰动作用下,若塑性区的扩展不是瞬时的,则围岩体内的弹性能是缓慢释放,这时主要表现为巷道围岩大变形,如顶板下沉、底板鼓起等。若塑性区发生瞬时扩展且范围变化不大,则煤岩体内释放的弹性能较小,不会出现煤岩体抛出现象,这时巷道围岩冲击破坏特征不明显,主要表现为微震监测小能量事件。

3.2.2 扰动加载条件下煤岩体能量变化特征

为了分析扰动加载条件下巷道塑性区形态及能量分布特征,选取工作面推进400 m时,距离工作面15和50 m两种状态下,均受到大小为2 MPa的扰动加载,巷道周围煤岩体蕴含能量可以通过式(4)定量计算得出。

根据前文研究结果,到工作面距离为15 m处双向载荷比值P1/P3达到2.56,塑性区呈蝶形分布,其形态特征和围岩体能量分布特征如图9(a)所示。在受到大小为2 MPa的扰动加载后,双向载荷比值P1/P3达到2.69,塑性区最大半径显著增大,蝶叶出现扩展,能量分布范围在水平方向上有所扩大,且能量值也有增大(图9(b)),巷道围岩形成的蝶形塑性区周围集中了大量的弹性能,这是巷道围岩冲击破坏发生时能量的主要来源,并且蝶形塑性区在扩展过程中巷道围岩系统释放的能量值为52 MJ。若塑性区在极短时间内发生扩展,能量也将在极短时间内释放,则巷道围岩将发生冲击破坏,相当于里氏1.9级地震。

工作面推进400 m时,距离50 m处双向载荷比值P1/P3大小为1.74,其塑性区形态特征和围岩体能量分布特征如图9(c)所示。在受到大小为2 MPa的扰动加载后,双向载荷比值P1/P3达到1.85,巷道围岩破坏特征发生的转变,塑性区呈蝶形分布,并且蝶叶最大半径出现扩展,能量集中在蝶形塑性区周围,其分布范围在水平和竖直方向上都有所扩大,且能量值也明显增大(图9(d)),并且在塑性区扩展的过程中巷道围岩系统能量释放量为57 MJ。同样,若塑性区是在极短时间内发生扩展的,则巷道围岩将发生冲击破坏,其烈度相当于里氏2.0级地震。

综合上述分析,受到外界扰动加载作用后,回采巷道围岩塑性区形态特征能够由非蝶形转化为蝶形,或者使得蝶形塑性区出现瞬时扩展,回采巷道围岩将发生冲击破坏,并释放存储于围岩系统内的大量弹性能,具体显现形式有震动、声响和煤岩碎块抛出等,并产生爆炸式破坏的动力现象。如果塑性区的扩展不是瞬时的或者范围变化较小,则巷道围岩冲击破坏不明显,主要表现为巷道围岩大变形。

在实际的工程实践中,可以从调控巷道围岩区域应力场水平载荷和竖向载荷比值的角度入手,避免巷道围岩产生蝶形塑性区并出现瞬时扩展,防止巷道围岩发生冲击破坏。

图9 扰动作用对塑性区形态及能量分布特征的影响
Fig.9 Morphological characteristics of plastic zone and energy distribution effected by disturbance

4 结 论

(1)蝶形塑性区的瞬时扩展会伴随能量的突然释放,并导致巷道围岩冲击破坏。在一定条件下,采动应力、巷道扩修、巷内爆破等事件产生的扰动加载作用能够改变区域应力场中巷道双向载荷比值,使得塑性区形态特征由非蝶形转化为蝶形,或者导致塑性区蝶叶出现瞬时扩展,并释放存储于围岩系统中的能量,具体显现形式有震动、声响和煤岩碎块抛出等,从而诱发巷道围岩冲击破坏。

(2)试件双向载荷比值(轴压/围压)对声发射能量特征有显著影响,加载速率相同时,围压越大,能量峰值越小。微震监测最大能量在巷道围岩冲击破坏发生前波动不明显,而每次发生巷道围岩冲击破坏事件均伴随有微震监测能量的急剧增大。

(3)在实际的工程实践中,可以采取降低推进速度、控制开采截深、调控巷道围岩区域应力场等措施,以减小煤岩体的加载速率,防止大能量事件的产生,避免蝶形塑性区发生瞬时扩展及能量的突然释放,从而实现有效防控巷道围岩冲击破坏的目的。

参考文献(References):

[1] 刘少虹,潘俊锋,夏永学.巨厚坚硬岩浆岩床破裂运动诱发冲击地压机制研究[J].岩石力学与工程学报,2019,38(3):499-510.

LIU Shaohong,PAN Junfeng,XIA Yongxue.Study on induced mechanism of rock bursts by fracture movement of hard magmatic beds[J].Chinese Journal of Rock Mechanics and Engineering,2019,38(3):499-510.

[2] 窦林名,陆菜平,牟宗龙,等.冲击矿压的强度弱化减冲理论及其应用[J].煤炭学报,2005,30(5):690-694.

DOU Linming,LU Caiping,MOU Zonglong,et al.Intensity weakening theory for rockburst and its application[J].Journal of China Coal Society,2005,30(5):690-694.

[3] 翟明华,姜福兴,齐庆新,等.冲击地压分类防治体系研究与应用[J].煤炭学报,2017,42(12):3116-3124.

ZHAI Minghua,JIANG Fuxing,QI Qingxin,et al.Research and practice of rock burst classified control system[J].Journal of China Coal Society,2017,42(12):3116-3124.

[4] 高明仕,刘亚明,赵一超,等.深部煤巷顶板冲击裂变失稳机制及其动力表现型式[J].煤炭学报,2017,42(7):1650-1655.

GAO Mingshi,LIU Yaming,ZHAO Yichao,et al.Roof burst instability mechanism and dynamic characteristic of deep coal roadway subjected to rock burst[J].Journal of China Coal Society,2017,42(7):1650-1655.

[5] PROCHZKA P P.Application of discrete element methods to fracture mechanics of rockbursts[J].Engineering Fracture Mechanics,2004,71(4-6):601-618.

[6] TSIREL′S V,KROTOV N V.Probability interpretation of indirect risk criteria and estimate of rock-burst hazard in mining anthracite seams[J].Journal of Mining Science,2001,37(3):240-260.

[7] 章梦涛.冲击地压失稳理论与数值模拟计算[J].岩石力学与工程学报,1987,6(3):197-204.

ZHANG Mengtao.Instability theory and mathematical model for coal/rock bursts[J].Chinese Journal of Rock Mechanics and Engineering,1987,6(3):197-204.

[8] 齐庆新,窦林名.冲击地压理论与技术[M].徐州:中国矿业大学出版社,2008:32-38.

[9] 潘俊锋,宁宇,毛德兵,等.煤矿开采冲击地压启动理论[J].岩石力学与工程学报,2012,31(3):586-596.

PAN Junfeng,NING Yu,MAO Debing,et al.Theory of rockburst start-up during coal mine[J].Chinese Journal of Rock Mechanics and Engineering,2012,31(3):586-596.

[10] 潘一山,章梦涛.用突变理论分析冲击地压发生的物理过程[J].阜新矿业学院学报(自然科学版),1992,11(1):12-18.

PAN Yishan,ZHANG Mengtao.The study of coalburst by catastrophic theory[J].Journal of Fuxin Mining Institute,1992,11(1):12-18.

[11] 刘少虹.动静加载下组合煤岩破坏失稳的突变模型和混沌机制[J].煤炭学报,2014,39(2):292-300.

LIU Shaohong.Nonlinear catastrophy model and chaotic dynamic mechanism of compound coal-rock unstable failure under coupled static dynamic loading[J].Journal of China Coal Society,2014,39(2):292-300.

[12] 刘洪涛,镐振,吴祥业,等.塑性区瞬时恶性扩张诱发冲击灾害机理[J].煤炭学报,2017,42(6):1392-1399.

LIU Hongtao,HAO Zhen,WU Xiangye,et al.Mechanism of blast disaster induced by instantaneous malignant expansion of plastic zone[J].Journal of China Coal Society,2017,42(6):1392-1399.

[13] 赵阳升.岩体动力破坏的最小能量原理[J].岩石力学与工程学报,2003,22(11):1781-1783.

ZHAO Yangsheng.Minimum energy principle of the rock body impacting destroy[J].Chinese Journal of Rock Mechanics and Engineering,2003,22(11):1781-1783.

[14] 高明仕,窦林名,张农,等.冲击矿压巷道围岩控制的强弱强力学模型及其应用分析[J].岩土力学,2008,29(2):359-364.

GAO Mingshi,DOU Linming,ZHANG Nong,et al.Strong-soft-strong mechanical model for controlling roadway surrounding rock subjected to rock burst and its application[J].Rock and Soil Mechanics,2008,29(2):359-364.

[15] 高明仕,张农,窦林名,等.基于能量平衡理论的冲击矿压巷道支护参数研究[J].中国矿业大学学报,2007,36(4):426-430.

GAO Mingshi,ZHANG Nong,DOU Linming,et al.Study of roadway support parameters subjected to rock burst based on energy balance theory[J].Journal of China University of Mining & Technology,2007,36(4):426-430.

[16] 杨志良,赵毅鑫,杨东辉,等.单轴压缩条件下砂岩的声热效应特征研究[J].矿业科学学报,2019,4(3):230-239.

YANG Zhiliang,ZHAO Yixin,YANG Donghui,et al.Study on the characteristic and the thermal effects of sandstone under uniaxial compression condition[J].Journal of Mining Science and Technology,2019,4(3):230-239.

[17] 王金安,焦申华,谢广祥.综放工作面开采速率对围岩应力环境影响的研究[J].岩石力学与工程学报,2006,25(6):1118-1124.

WANG Jin’an,JIAO Shenhua,XIE Guangxiang.Study on influence of mining rate on stress environment in surrounding rock of mechanized top caving mining face[J].Chinese Journal of Rock Mechanics and Engineering,2006,25(6):1118-1124.

[18] 刘金海,孙浩,田昭军,等.煤矿冲击地压的推采速度效应及其动态调控[J].煤炭学报,2018,43(7):1858-1865.

LIU Jinhai,SUN Hao,TIAN Zhaojun,et al.Effect of advance speed on rock burst in coal mines and its dynamic control method[J].Journal of China Coal Society,2018,43(7):1858-1865.

[19] 谢广祥,常聚才,华心祝.开采速度对综放面围岩力学特征影响研究[J].岩土工程学报,2007,29(7):963-967.

XIE Guangxiang,CHANG Jucai,HUA Xinzhu.Influence of mining velocity on mechanical characteristics of surrounding rock in fully mechanized top-coal caving face[J].Chinese Journal of Geotechnical Engineering,2007,29(7):963-967.

[20] COOK N G W.A note on rockbursts considered as a problem of stability[J].Journal of the South African Institute Mining and Metallurgy,1965(65):437-446.

[21] 何江.煤矿采动动载对煤岩体的作用及诱冲机理研究[D].徐州:中国矿业大学,2013.

HE Jiang.Research of mining dynamic loading effect and its induced rock burst in coal mine[D].Xuzhou:China University of Mining & Technology,2013.

[22] 镐振.义马煤田回采巷道塑性区演化规律与冲击破坏机理研究[D].北京:中国矿业大学(北京),2018.

HAO Zhen.Evolution law of plastic zone and burst failure mechanism of gateway in yima coalfield[D].Beijing:China University of Mining and Technology (Beijing),2018.

[23] 徐芝纶.弹性力学简明教程[M].北京:高等教育出版社,1980.

[24] 焦振华.采动条件下断层损伤滑移演化规律及其诱冲机制研究[D].北京:中国矿业大学(北京),2017.

JIAO Zhenhua.Research on the evolution law of fault slip and mechanism of coal bumps induced by mining[D].Beijing:China University of Mining and Technology(Beijing),2017.

[25] 曹光明,镐振,刘洪涛,等.巨厚砾岩下回采巷道冲击破坏机理[J].采矿与安全工程学报,2019,36(2):290-297.

CAO Guangming,HAO Zhen,LIU Hongtao,et al.Impact failure mechanism of mining roadway under ultra-thick conglomerate[J].Journal of Mining and Safety Engineering,2019,36(2):290-297.

Analysis of burst failure energy characteristics of mining roadway surrounding rock

HAO Zhen1,GUO Linfeng2,ZHAO Xidong3,CHEN Guoxiang1,ZHANG Guohua4

(1.Safety Engineering College,Henan University of Engineering,Zhengzhou 451191,China; 2.School of Energy & Mining Engineering,China University of Mining and Technology (Beijing),Beijing 100083,China; 3.Safety Engineering College,North China Institute of Science and Technology,Langfang 065201,China; 4.Qianqiu Coal Mine,Yima Coal Industry Co.,Ltd.,Henan Energy & Chemical Industry Group Co.,Ltd.,Yima 472300,China)

Abstract:Roadway failure caused by burst dynamic pressure is a typical coal-rock dynamic disaster,which seriously threatens the safe production of coal mine.In view of the frequent burst failure in the 21141 haulage roadway in Qianqiu coal mine of Yima mining area,the energy characteristics of coal and rock mass during burst failure were studied by means of theoretical analysis and numerical simulation.On the basis of analyzing the energy characteristics of micro-seismic monitoring of typical roadway burst failure,a conventional triaxial compression test was carried out.The results showed that the maximum energy fluctuation range of microseismic monitoring before surrounding rock burst failure was small,and every occurrence of burst failure event was coupled with sharp increase in energy.The ratio of bidirectional load of specimens (axial pressure/confining pressure) had a significant influence on the characteristics of acoustic emission energy.At the same loading rate,the higher the confining pressure was,the smaller the peak energy was.Under certain conditions,the influence of disturbance loading caused by events,such as mining stress,roadway repair,blasting and so on,the bidirectional load of roadway in regional stress field was obviously changed accordingly which it may cause the morphological characteristics of plastic zone change from non-butterfly shape to butterfly shape,or leaded to the instantaneous expansion of butterfly-shaped plastic zone,thus a plenty of energy which was gathered in the surrounding rock system would be suddenly released in the form of vibrations,sound,coal and rock mass flings and induced roadway surrounding rock burst failure.In practical engineering practice,it is suggested to reduce the advancing speed of coal face,control the cutting depth of coal face and adjust the stress field of surrounding rock of roadway,so as to reduce the loading rate of coal and rock mass,prevent the occurrence of large energy events and avoid the sudden release of energy during the instantaneous expansion of the butterfly shaped plastic zone of roadway.

Key words:mining roadway;burst failure;energy;plastic zone;butterfly shape

中图分类号:TD324

文献标志码:A

文章编号:0253-9993(2020)12-3995-11

移动阅读

镐振,郭林峰,赵希栋,等.回采巷道围岩冲击破坏能量特征分析[J].煤炭学报,2020,45(12):3995-4005.

HAO Zhen,GUO Linfeng,ZHAO Xidong,et al.Analysis of burst failure energy characteristics of mining roadway surrounding rock[J].Journal of China Coal Society,2020,45(12):3995-4005.

收稿日期:2019-08-02

修回日期:2019-11-11

责任编辑:常 琛

DOI:10.13225/j.cnki.jccs.2019.1072

基金项目:河南省高等学校重点科研资助项目(20A440002);国家自然科学基金资助项目(51804117,51674243)

作者简介:镐 振(1987—),男,河南虞城人,讲师,博士。E-mail:haozhen09@163.com