鄂尔多斯盆地长7段页岩强度与变形尺度效应规律试验研究

李 帅1,2,陈军斌1,2,王汉青3,龚迪光1,2,聂向荣1,2

(1.西安石油大学 陕西省油气井及储层渗流与岩石力学重点实验室,陕西 西安 710065; 2.西安石油大学 石油工程学院,陕西 西安 710065; 3.中国石油大学(北京) 油气资源与探测国家重点实验室,北京 102249)

摘 要:页岩层理结构发育,非均质性极强,其强度与变形特征存在显著的尺度效应现象,致使室内小尺度岩样测试结果在表征矿场大尺度页岩岩体力学性质时存在局限性。为探究页岩强度与变形的尺度效应规律,以鄂尔多斯盆地延长组长7段陆相页岩露头为研究对象,采用RTR-1000岩石三轴测试系统对11块高径比为2,直径为17,20,25和38 mm等4类岩样尺度进行单轴压缩试验,分析页岩强度与变形的尺度效应规律及其内在机理,在此基础上,提出一种新的适用于页岩的强度尺度效应模型,并初步得到室内岩样在表征页岩矿场岩体时的合理测试尺度。结果表明:绝大多数描述页岩强度与变形的力学参数存在显著的尺度效应现象,其中弹性模量和泊松比随岩样尺度增大而增大,峰值强度、峰值应变、残余应变、残余应力和破裂时间等随岩样尺度增大而减小;不同尺度的页岩在弹性变形向脆性破坏转变时均是瞬态的,不存在明显的塑性屈服段,且破裂前均为线弹性变形,破坏后均为拉伸-剪切破坏,但剪切角较小,均在10°以内;页岩强度与变形参数的尺度效应现象是由岩样的加载方向、层理面方向、层理面力学性质和微观缺陷不均匀分布等共同造成的;基于Griffith微裂纹强度理论模型得到新的适用于页岩的强度尺度效应模型,该模型与试验结果吻合度较好,能准确预测不同尺度的页岩岩样强度;不同矿场页岩岩体力学参数所对应的合理的室内试验岩样尺度不同,当岩样高径比为2,长度超过160 mm时,室内测得的岩样力学参数经现场校正后均可表征矿场岩体力学参数;页岩强度与变形的尺度效应规律可以用于预测储层钻井时的破裂压力,井壁变形特征以及压裂时的起裂和稳定扩展压力,在当前体积压裂施工中,扩大沿层理方向的分支缝压裂规模或对于大而厚、沿层理方向微缺陷极为发育的页岩储层,可以考虑进行直井的分段多簇压裂以充分释放层理面有利于压裂裂缝扩展的力学优势,从而提高页岩气井产量。

关键词:强度与变形;尺度效应;页岩;鄂尔多斯盆地;单轴压缩试验;水力压裂

鄂尔多斯盆地延长组发育多套页岩层系,其中长7段被认为是陆相页岩气储层中最有可能实现工业化开采的层位,具有巨大的开发潜力[1]。水平井与体积压裂的协同作业是页岩气储层商业化开采的基础,要实现经济高效的开发必须准确掌握储层岩石的强度与变形特征[2-3]。目前,学者们对页岩强度与变形特性已经做了大量的研究工作,徐敬宾等[4]基于室内岩石力学试验发现,页岩各向异性对岩石强度与变形具有显著的影响;魏元龙等[5]基于室内单轴压缩试验发现,天然裂隙对页岩强度与变形具有极为显著的影响;刘俊新等[6]研究了围压和应变速率对页岩变形及破损特性的影响,结果表明,岩石强度与弹性模量随围压升高而增大;汤积仁等[7]通过三轴压缩试验和劈裂试验发现,超临界CO2浸泡后页岩的抗拉强度、三轴抗压强度和弹性模量均出现不同程度的下降,且浸泡时间越长,页岩强度损失量越大;程远方等[8]、曾青东等[9]分别基于断裂力学和扩展有限元探究了页岩储层水力压裂缝网延伸形态和规律。前人研究成果表明,页岩内部结构和外部加载条件均会显著影响页岩强度与变形特征,室内试验时也发现,对于不同尺度的页岩岩样,其内部微观缺陷的数量和分布不同,致使在相同加载条件下,页岩强度与变形表现出显著的尺度效应现象。当前,学者们关于脆性岩石的强度与变形尺度效应现象也进行了大量的研究,经典的理论有Weibull脆性破坏理论[10]、Griffith微裂纹强度理论[11]、分形损伤理论[12]和应变局部化理论[13]等,但这些理论对于页岩均不适用,表现在Weibull脆性破坏理论未考虑非均质系数m与岩样尺寸的关系,Griffith微裂纹强度理论未考虑岩石弹性模量与岩样尺寸的关系,分形损伤理论中页岩非均质性极强,细观缺陷分布分形特征差,应变局部化理论的尺度效应模型公式复杂,参数不易获得,适用性差等。因此,要实现对不同尺度的页岩强度与变形预测,就必须对页岩强度与变形尺度效应规律进行深入研究,且在分析和借鉴传统岩石强度尺度效应的基础上,建立新的适用于页岩强度的尺度效应模型。

目前学者们对页岩强度与变形所表现出的尺度效应现象研究还较少,缺乏对其基本规律和机理模型的认识,致使室内岩样岩石力学测试结果在表征工程岩体力学性质时还存在较大盲目性。鉴于此,笔者以鄂尔多斯盆地延长组长7段页岩露头为研究对象,探究了单轴加载条件下4类不同尺度的页岩岩样强度与变形的尺度效应规律,基于Griffith微裂纹强度理论提出了适用于页岩的强度尺度效应模型,同时对页岩强度的尺度效应机理进行了研究。

1 试验岩芯与测试仪器

1.1 试验岩芯

试验岩样尺度选择是研究页岩强度与变形尺度效应的关键因素之一,理想情况下,试验岩样尺度跨度越大,数量越多,试验的结果往往越接近规律本身,但实际试验过程中,试验岩样的尺度却受到多种因素的制约,主要来自2方面:① 试验岩芯。页岩具有极强的脆性和非均质性,致使井下取芯和野外露头取芯均极为困难,井下岩芯一般不超过10 cm,野外露头取芯也基本无法获得长宽高均超过10 cm的完整试件;② 试验仪器。美国GCTS公司生产的RTR-1000岩石三轴测试系统是业内目前应用最多也是最先进的岩石力学试验设备,该设备目前主要有2款压头尺寸,分别是25 mm和38 mm,所以应用该仪器时理论上岩样端面尺寸最大不能超过38 mm,最小尺度不低于横向传感器环绕起来的直径,目前岩样最小端面尺度可以降低至17 mm。基于试验仪器和试验岩芯2方面考虑,本文最终将试验岩样的高径比确定为2,岩样的尺度范围确定为17~38 mm,尺度跨度为4级,分别是17,20,25,38 mm。

为充分确定试验所选岩样尺度跨度级别和测试范围的合理性,试验前,调研了前人在研究其他类型岩石强度与变形尺度效应时关于岩样尺度跨度级别及测试范围的选择,陈瑜等[14]在试验机上研究贫矿和大理石的强度与变形尺度效应时,岩样尺度选择分别为贫矿:49.18 mm×48.34 mm,49.06 mm×78.02 mm,49.02 mm×96.08 mm,大理石:49.50 mm×51.24 mm,49.38 mm×82.66 mm,49.38 mm×98.52 mm;张后全等[15]在试验机上研究灰岩强度与变形的尺度效应时,岩样尺度选择为φ25 mm×50 mm,φ50 mm×100 mm,φ75 mm×150 mm,φ100 mm×200 mm;严研等[16]基于数值模拟技术研究岩石强度与变形尺度效应时采用正方体试件,岩样长度分别为10,20,30,40 mm;杨圣奇等[17]基于数值模拟技术研究围压对岩石强度与变形的尺度效应时,岩样尺度选择为φ15 mm×30 mm,φ25 mm×50 mm,φ37 mm×74 mm,φ50 mm×100 mm,φ75 mm×150 mm等,另外,刘俊新等[5]在探究不同围压和应变速率对岩石变形和破坏的影响时,将围压选择为10,30,50 MPa,应变率选择为5×10-4,1×10-4,2×10-5,4×10-6 s-1,并将围压和应变率与岩样强度与变形参数进行线性拟合和二次多项式拟合,得到了岩石围压、应变率与岩石强度与变形之间的规律,并指导工程应用。邓树新等[10]基于Weibull概率分布模型和Mohr-Coulomb准则建立了考虑围压的岩石强度尺寸效应模型,在模型正确性验证过程中,采用前人室内实验和数值模拟结果进行验证,在均质度一定的情况下,2种验证方法均选择了3组不同岩样尺度的数据,验证了模型的有效性。

由此可以看出,在研究岩石强度与变形尺度效应规律或与之相关的问题时,有很多学者将岩样尺度的跨度或相关变量的跨度设置为3~5级用于研究岩石强度与变形的规律,并用于模型的验证和检验,这说明本文将岩样尺度跨级选择为4级是合理的,且利用4类尺度得到的实验结果来验证模型的有效性也是可行的。

本试验所用岩芯均来自鄂尔多斯盆地延长组长7段页岩露头,露头位置位于陕西省铜川市印台区金锁关镇,该地区构造平缓,地层连续,未受后期断层破坏,页岩露头保存良好,满足野外取芯基本要求。由于页岩在垂直层理方向上脆性较高,切割过程中极易破碎,因此本次试验岩芯均沿平行层理方向钻进,所钻取的岩芯表面无明显裂隙,试验页岩岩芯完整制备过程如图1所示。

图1 试验岩样制备全过程
Fig.1 Preparation process of test rock sample

1.2 测试仪器及步骤

页岩单(三)轴力学性质测试仪器为美国GCTS公司生产的RTR-1000型三轴岩石力学伺服测试系统。该测试系统最大轴向压力1 000 kN,最大围压140 MPa,最大孔隙压力140 MPa,最高温度150 ℃,系统压力精度0.01 MPa,液体密度精度1 g/cm3,变形精度为0.001 mm。

该仪器的测试步骤主要分为:① 试样塑封;② 调试传感器;③ 添加液压油;④ 编制实验控制程序;⑤ 采用应变控制,直至试样破坏,同步记录各项参数。为避免端部摩擦力对岩样强度与变形的影响,试验前每块岩样端部均涂抹了适量的液压油以减小端面摩擦力。RTR-1000型三轴岩石力学伺服测试系统采用的是伺服控制原理,能够精准记录岩芯破坏前和破坏后的变形信息,试验仪器及测试原理如图2所示。

2 试验结果与讨论

2.1 试验结果

页岩多尺度单轴压缩试验结果见表1。表1中,D为岩样直径,mm;H为高度,mm;H/D为高径比;Pc为围压,MPa;E为弹性模量,MPa;μ为泊松比;Pf为峰值强度,MPa;εp为峰值应变,10-2;σr为残余应力,MPa;εr为残余应变,10-2;T为破裂时间,s;S为破裂面条数。由表1知,对于高径比为2的几何相似型页岩岩样,当岩样直径由17.06 mm增加至38.22 mm时,页岩岩样弹性模量的变化为3 851.7~6 871.4 MPa,泊松比的变化为0.025~0.357,抗压强度的变化为49.0~91.4 MPa,峰值应变的变化为0.008 3~0.018 9,残余应变的变化为0.012 7~0.035 4,残余应力的变化为3.0~31.4 MPa,破裂时间的变化为311~710 s,破裂面条数的变化为1~5条,由此可见,在页岩单轴压缩试验中,描述页岩强度与变形的力学参数离散性较强。

图2 试验仪器及测试原理
Fig.2 Test instrument and test principle

表1 页岩单轴强度与变形尺度效应数据
Table 1 Uniaxial strength and deformation scale effect data of shale

样品编号D/mmH/mmH/DPc/MPaE/MPaμPf/MPaεp/10-2εr/10-2σr/MPaT/sSB-117.0634.342.005 561.00.22189.91.642.9931.46162B-217.0733.952.004 711.90.11977.91.582.4322.65922B-317.1234.442.005 546.40.02591.41.892.8222.87102B-417.0833.962.003 851.70.14270.01.793.5413.66733B-519.8539.192.005 131.40.11866.01.191.7323.54472B-620.2440.082.005 758.70.31967.51.271.9316.84781B-719.9640.652.005 026.90.29265.21.201.9119.44491B-825.5450.402.004 855.80.24050.01.011.775.23782B-925.5250.362.006 725.90.13268.61.061.6315.53985B-1038.2276.032.006 871.40.35749.00.831.3010.83113B-1138.2075.972.006 488.50.25659.01.191.273.04513

页岩多尺度岩样的轴向应力-应变曲线如图3所示。

图3 页岩单轴多尺度应力-应变曲线
Fig.3 Summary of uniaxial multi-scale stress-strain curves
of shale

当忽略部分岩样峰后曲线下降出现的应力扰动时,由图3可得,尺度不同的页岩,其典型的应力-应变曲线如图4所示。

由图3,4知,不同尺度的页岩岩样在单轴压缩时的应力-应变曲线特征基本相同,在形变方面,各个尺度的岩样均是经历了短暂的压密段后进入线弹性变形段,而后由弹性变形直接转变为脆性破坏变形阶段,在强度方面,各尺度的岩样在峰值后曲线均迅速下降,但都存在峰后应力和应变残余段。

图4 典型的页岩单轴压缩应力-应变曲线
Fig.4 Typical stress-strain curve of shale under uniaxial
compression

页岩多尺度岩样单轴压缩加载时岩样破坏形态如图5所示。图5中红线代表裂缝走向,蓝色箭头代表局部未贯通的复杂裂缝网络,φ为剪切角(图中顺序依次为从左至右)。

图5 页岩多尺度岩样单轴压缩破坏模式
Fig.5 Shale multi-scale rock sample uniaxial failure pattern diagram

图6 页岩单轴强度与变形参数尺度效应规律
Fig.6 Scale effect of uniaxial mechanical parameters of shale

由图5可知,多尺度的页岩岩样在脆性破坏后均发生的是拉伸-剪切破坏,且剪切角均小于10°。各尺度岩样除贯通的裂缝外,沿加载受力方向上(层理方向)也易形成多条未贯通的垂向裂缝,部分岩样在中间位置出现了“膨胀”现象。

2.2 强度与变形参数尺度效应规律

在表1中,对同一尺度下的页岩岩样各力学参数做算术平均处理,则这些参数与页岩岩样尺度的关系如图6所示,图6表明,描述页岩强度与变形的参数存在显著的尺度效应现象。考虑到前人在建立脆性材料强度与变形尺度效应理论时,如Weibull脆性破坏理论、Griffith微裂纹强度理论和应变局部化理论时,所得到的材料强度与变形的尺度效应模型均是幂律函数型,因此,本文对图6中页岩各项力学参数的尺度效应规律均做了幂律函数拟合。

图6(a)表明,页岩岩样尺度越大,其弹性模量越大,二者相关系数达0.995 7,说明页岩弹性模量与尺度具有极好的幂相关性。目前,学者们普遍认为页岩的应力-应变本构模型为线弹性模型,但很少有学者考虑页岩弹性模量的尺度效应问题,图6(a)表明,这样的处理是不严谨的。

图6(b)中页岩泊松比与岩样尺度的拟合系数为0.624 2,但考虑到页岩层理结构发育,局部微裂隙发育、非均质性极强、试验条件、加载条件和压头与岩样之间的复杂作用关系等均会对岩样强度与变形产生影响,本文认为当曲线拟合系数大于0.6时,可以认为页岩的某个力学参数与尺度之间具有良好的幂律函数关系[17-19],此处页岩泊松比与岩样尺度的拟合系数为0.624 2,说明泊松比与岩样尺度具有良好的幂律函数关系,即泊松比随岩样尺度增大而增大,但增长的幅度逐渐变缓。

图6(c)为页岩抗压强度与尺度的关系,页岩强度是矿场施工中最为关注的一个参数,图6(c)表明,页岩强度随岩样尺度增加而减小,2者拟合系数为0.84,说明页岩强度与岩样尺度之间具有良好的幂函数关系。

图6(d)为页岩峰值应变与尺度的关系,2者拟合系数为0.681 9,说明页岩峰值应变与岩样尺度具有良好的幂函数关系。页岩峰值应变指的是岩石发生破裂时,岩样在轴向上的累积应变,该值可以准确地表征页岩脆性,峰值应变越小,说明岩样在极小应变时即发生了破坏,表明该岩样脆性越强。峰值应变的尺度效应说明,尺度越大的岩样其脆性越强,压后越容易形成复杂裂缝网络[21],室内试验岩样的单轴压缩试验虽然不能完全模拟储层水力压裂的过程,但也从一定程度上表明,页岩储层岩体的脆性可能比室内测试的岩样脆性要高,压裂效果要更好。

图6(e)为页岩残余应力与尺度的关系,2者拟合系数为0.948 6,残余应力表征的是岩石发生破坏后仍具有抵抗外力进一步破坏的能力[22],图6(e)说明页岩残余应力与岩样尺度具有极好的幂函数关系。

图6(f)为页岩残余应变与尺度的关系,2者拟合系数达0.844 6,由图知,随着岩样尺度的增大,岩石在发生破坏后抵抗外力进一步破坏的能力逐渐减弱。

图6(g)为页岩破裂时间与尺度的关系,2者拟合系数为0.672 9,说明岩样尺度越大,岩石破裂时间越短,岩石破裂时间的长短与岩石脆性密切相关,一般来说,页岩破裂时间越短,其脆性越强。

图6(h)为页岩破裂面数量与岩样长度的关系,从2者的拟合结果来看,页岩破裂面条数与岩样尺度相关性低,无明显规律。

综上所述,描述页岩强度与变形的绝大多数参数均具有显著的尺度效应现象,其中,弹性模量、泊松比随岩样尺度增大而增大,峰值强度、峰值应变、残余应变、残余应力、破裂时间随岩样尺度增大而减小,但各力学参数的变化幅度总是趋于变缓的,并最终无限接近于页岩岩体的力学性质。

2.3 强度与变形尺度效应机理

由峰值应变等参数的尺度效应规律知,页岩脆性随岩样尺度增大而增大,这主要是由于页岩岩样尺度越大,其内部大尺度微缺陷(微裂隙、裂缝等)的数量和概率就越大,大尺度微缺陷的存在导致岩样局部结构不稳定性增强,岩样越容易发生破坏,宏观上表现为页岩在小应变下即发生破坏,即岩样脆性越强,这也是页岩岩样峰值强度随岩样尺度增大而减小的根源。页岩弹性模量代表的是页岩在纵向上的变形能力,弹性模量越大,说明页岩越不容易变形,页岩弹性模量随岩样尺度增大而增大的原因可以从岩样脆性与尺度的关系得到,脆性指的是岩样发生破坏时纵向上的累计应变,尺度越大的岩样脆性越强,说明尺度越大的岩样破坏时纵向上的应变越小,即岩样越不容易变形,所以岩样弹性模量随岩样尺度增大而增大。泊松比表征的是页岩在横向上的变形能力,泊松比越大,表明页岩横向变形能力越强,由于试验岩样的压缩方向均沿层理方向,由页岩地质特征知,页岩层理面一般是弱结构面,层理面上微观缺陷发育,因此,在纵向压缩过程中,在岩石产生宏观裂缝前,层理面上由于缺陷的存在而表现为弹-塑性更强一些,且岩样尺度越大,微观缺陷的开度极限就增大,表现为横向变形能力增大,泊松比的定义为横向应变绝对值与纵向应变绝对值的比值,则当岩样尺度增大时,页岩纵向应变值减小,横向应变值增大,因此其泊松比必然是随尺度增加而增加的。残余应变描述的是岩样开始压缩到完全破坏时的累计应变,残余应力指的是岩样完全破坏,裂缝面贯通整个岩样时的加载应力,二者与页岩脆性、峰后变形等均有关。破裂时间是与岩样脆性及峰值强度密切相关的一个指标,岩样脆性越高、峰值强度越低,则其破裂时间必然越低,因此,破裂时间对岩样尺度增加而减小。

不同尺度的页岩在破坏前的压密变形和线弹性变形段主要是由于岩样在外力作用,岩石骨架和孔隙、微裂隙、裂缝等缺陷受到了挤压,而弹性段向脆性段的瞬间转变,则体现了页岩的高脆性力学特征。各尺度岩样的应力-应变曲线在峰后产生波动主要是压缩产生的裂缝与原始微缺陷间的相互作用的结果。而不同尺度的页岩均发生拉伸-剪切破坏,且剪切角较小,这主要有2方面的原因:首先,试验中,岩样受力方向与其层理面方向是平行的,而页岩层理面一般胶结作用相对较弱,属于弱结构面,因此岩石必然趋向于从层理面首先发生破坏。其次,页岩受自身沉积和后期埋存作用,其内部存在微缺陷,这些微缺陷在岩石内部的不均匀、无规则分布使岩石产生了其他弱结构面,当岩石某一弱结构面受到的剪应力超过该面的抗剪强度时,岩石便会发生剪切破坏,因此,在单轴压缩过程中岩石的破坏形态由层理所形成的弱结构面和由微缺陷所形成的弱结构面共同决定,但显然层理弱结构面的拉伸破坏是占主导地位的。

综上所述,页岩强度与变形参数的尺度效应现象是由岩样的加载方向、层理面方向、层理面力学性质和岩样微观缺陷分布特征等共同决定的。

2.4 基于Griffith微裂纹强度理论的页岩强度尺度效应模型

图6中根据实验数据拟合获得了页岩各项力学参数与岩样尺度的关系,但这些拟合关系式无法揭示机理,而传统的理论在表征页岩强度尺度效应时适用性较差,因此,要实现对不同尺度的页岩强度进行预测,就必须在分析和借鉴传统岩石强度尺度效应的基础上,建立新的适用于页岩强度的尺度效应模型。

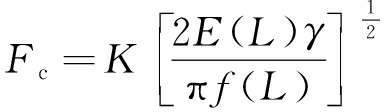
目前,Griffith微裂纹强度理论在表征混凝土等脆性材料的强度尺度效应方面具有良好的适用性,其表达式为

(1)

其中,E为岩石弹性模量,MPa;γ为单位面积的断裂表面能,J/m2;c为岩石内部原始微裂纹长度,m。由于γ的值一般不随岩样尺度发生变化,则式(1)中的p值即为定值,由此得到脆性材料强度随尺度增大而减小。

Griffith微裂纹强度理论不适宜表征页岩强度尺度效应的原因主要包括以下2个方面:① 页岩的弹性模量与岩样尺度具有显著的正相关性,如图6(a)所示,弹性模量与岩样尺度的幂律拟合系数R2=0.996,而Griffith微裂纹强度理论一般不考虑岩石弹性模量的尺度效应问题;② Griffith微裂纹强度理论里面的c表征的是岩石内部微裂隙的长度,并不是岩样的宏观尺寸,如果要利用Griffith微裂纹强度模型,则首先需要借助高精度仪器观测微裂隙的尺度,其过程繁琐且复杂。因此,直接将Griffith微裂纹强度理论应用于页岩是不合适的,但通过观察Griffith微裂纹强度模型的特点可以看出,弹性模量E和岩样内部微裂纹长度c是影响强度的关键参数,为此,可效仿Griffith微裂纹强度理论模型,建立如式(2)所示的页岩强度尺度效应模型。

(2)

式中,K为页岩强度因子,无量纲; E(L)和f(L)为岩样长度L的函数。由图5和6知,页岩弹性模量与岩样尺度具有极好的幂律函数关系,且页岩的破坏主要是以拉伸破坏和极小剪切角的剪切破坏为主,因此,可以将式(2)中的f(L)用岩样长度L替代,E(L)用图6(a)中的高拟合度幂函数替代,如式(3)所示。

f(L)=LE(L)=1 309.7L0.377 4

(3)

将式(3)代入式(2)得:

(4)

对于具体的某一类岩石,式(6)中岩石单位面积的断裂表面能γ可视为定值,该值与页岩组分、层理结构、骨架力学性质和颗粒胶结方式等密切相关,可以通过稳定拉伸断裂试验或电镜压入试验等获得,穆二飞(2017)等[23]学者测得页岩的表面能密度γ为52.98 J/m2K代表页岩强度因子,该值与页岩的沉积环境(陆相、海相、海陆过渡相)、埋存条件等有关,可以通过试验数据反演或经验得到,由式(4)知,页岩抗压强度与强度因子K成正比,与岩样长度L成反比,此处令K=31.623,将K值和γ值代入式(4)得页岩强度尺度效应的模型为

(5)

式(5)即为页岩强度尺度效应模型。将试验中的4类尺度代入式(5)可得新模型预测下的岩样强度,其与试验测试数据的对比见表2。

表2 新建立的页岩强度尺度效应模型预测准确性
Table 2 Prediction accuracy of new scale effect model of shale strength

岩样编号直径D/mm高度H/mm真实强度Pf/MPa预测强度P'/MPa预测强度与真实强度的相对误差ΔP/Pf误差平均值S-117.0834.1782.3070.030.15 S-220.0239.9766.2366.690.01 5.5%S-325.5350.3859.3062.060.05 S-438.2176.0054.0054.600.01

页岩强度尺度效应预测结果如图7所示。

图7 页岩强度尺度效应模型预测
Fig.7 Prediction chart of scale effect model of shale strength

从表2和图7均可得到,新建立的页岩强度尺度效应模型在预测页岩强度时除在第1个观测点处误差稍大外,其他观测点的误差均极小,平均预测误差仅为5.5%,完全在误差允许范围内,由此说明,式(5)在预测页岩强度时具有良好的适用性。但应该明确的是,式(5)并不是对Griffith微裂纹强度理论的一种修正,而是在充分借鉴Griffith微裂纹强度理论模型的外在表达形式、内在力学思想以及页岩自身强度与变形尺度效应规律的基础上所得到的一种新的适用于页岩的强度尺度效应模型,其与Griffith微裂纹强度理论在本质上还存在一定差异。

2.5 强度与变形尺度效应的工程意义

页岩强度与变形参数的尺度效应规律可以用于确定页岩岩体的力学参数,页岩变形和破坏的尺度效应规律可以对页岩储层压裂施工提供指导和评价等。

2.5.1 页岩岩体力学参数的确定

由图6和式(5)知,除破裂面数量外,页岩主要力学参数与岩样尺度均具有良好的幂律函数关系,即各项参数变化幅度随岩样尺度增大而逐渐减小,当岩样尺度增加至某一阈值之后,该力学参数随尺度的变化在工程应用时可以不予考虑。页岩岩体各项力学参数的确定方法基本相同,以弹性模量为例,当岩样下一尺度的弹性模量与上一尺度的弹性模量相对变化率小于10%时(符合工程合理误差),即可将该尺度下岩样的弹性模量作为矿场岩体的弹性模量值,此时如果再增加岩样尺度,相对误差必然会更小,但会对试验设备的要求更加苛刻。由图6(a)知,页岩弹性模量与岩样尺度的关系如式(6)所示:

E=1 309.7L0.377 4

(6)

页岩弹性模量变化率的定义为

(7)

式中,η为相对变化率,%;ELK为第K个尺度时页岩岩样的弹性模量,MPa;ELK+1为第K+1个尺度时页岩岩样的弹性模量,MPa;页岩的尺度增量越小,确定岩样临界尺度精度越高,此处选择10 mm作为岩样尺度的增量。

依据式(6)和(7)可计算页岩在不同尺度下的弹性模量和弹性模量的变化率,泊松比、峰值应力、峰值应变、残余应力、残余应变、破裂时间等6个参数的计算方法与弹性模量步骤相同,计算结果如图8所示。

图8 工程岩体力学参数室内试验岩样尺度临界值
Fig.8 Scale critical value of rock sample in laboratory test of
engineering rock mass mechanical parameters

页岩各力学参数的相对变化率曲线与误差临界线的交点即为各力学参数的临界尺寸,当超过该临界尺寸时,室内岩样测试的力学参数即可代表工程岩体的力学参数。各力学参数的临界尺度具体见表3,符号意义同上。

表3 矿场岩体室内试验岩样临界尺度范围
Table 3 Critical scale interval of rock sample for laboratory
test of rock mass in the mine

EμPfεpσrεrT40~5090~10050~6060~70150~16090~10060~70

由图8和表3知,不同的页岩力学观测指标,其所对应的岩样尺度临界值是不同的,但当岩样尺度超过160 mm之后,室内岩样测试的任意力学参数均可作为页岩岩体的力学参数值。页岩尺度临界值的确定使得室内试验结果在表征矿场岩体力学参数时关于岩样尺度的选择不再盲目,对页岩岩体力学性质的全面把握对于矿场施工具有重要意义。

2.5.2 页岩储层钻井和压裂施工的指导和评价

不同尺度的页岩岩样在单轴压缩时均具有如图4所示的典型应力-应变曲线特征,而描述页岩应力-应变曲线各个阶段变形的力学参数又均具有显著的尺度效应现象,典型的应力应变曲线特征与力学参数尺度效应规律的结合可以获得页岩在任意尺度下的应力-应变曲线,包括页岩岩体,而初步获得的页岩岩体应力-应变曲线特征对于指导储层钻井和压裂具有重要参考价值,包括预测储层钻井时的破裂压力,井壁变形特征以及压裂时的起裂压力、稳定扩展压力和裂缝张开尺度等等。页岩破裂模式的尺度效应规律表明,当沿层理方向受力时,页岩主要发生沿层理方向的剪切角较小的拉伸-剪切破坏,这意味着在水力压裂过程中,如果沿层理面方向泵入压裂液,则压裂液会优先沿层理面方向扩展形成长而窄的人工层理缝,同时页岩层理面微观缺陷较为发育,因此沿层理面方向的压裂更容易形成复杂裂缝系统,这对于流体的流动极为有利。目前,绝大部分的页岩气水平井均沿层理方向钻进,而在垂直层理方向上进行分段多簇压裂以达到形成体积缝网的目的,工程实践已经表明,这样的工艺对于多数页岩储层具有良好的适用性,但室内实验同时也表明,当页岩沿层理方向受力时,其在层理面上更容易形成长而窄的复杂裂缝网络,层理面上裂缝网络越发育,其对页岩气井产能的贡献就越大,而在实际页岩储层体积压裂时,裂缝主要是以垂直于层理方向的主裂缝和与层理方向呈一定夹角的分支缝为主,因此,分支缝的尺度和规模对于页岩气井产能具有重要意义,在当前体积压裂中,扩大沿层理方向的分支缝规模或者对于大而厚、且层理构造和微缺陷极为发育的页岩储层,可以考虑进行直井的分段多簇压裂以充分释放层理面有利于压裂裂缝扩展的力学优势。

长期以来,页岩岩体力学参数的确定和储层压裂效果的精细评价一直是石油工程领域的难题,本文从室内试验出发,探究了岩样尺度跨越对岩石力学性质的影响规律,建立了页岩强度的尺度效应模型,初步给出了页岩岩体的力学参数确定方法,并对储层钻井和水力压裂施工与效果评价给出了建议。但特别需要指出的是,本文所有的认识均来自于页岩的单轴压缩试验,而实际储层始终是处于三向应力状态,因此在对本文试验结果进行工程化应用之前,必须对其进行适当修正,实际上目前国内外在室内岩石力学测试时,均难以完全模拟实际储层岩石的受力和破坏状态,试验的结果均需经过现象施工数据的校准才能工程化应用,另外,室内岩样的非均质性指的是岩样内部的微裂隙、微裂缝等的非均质性,而矿场岩体的非均质性则指的是节理、断层、裂纹等结构面的非均质性,二者存在本质差异,对此应有清醒的认识。

3 结 论

(1)页岩弹性模量、泊松比随岩样尺度增大而增大,峰值强度、峰值应变、残余应变、残余应力、破裂时间随岩样尺度增大而减小,但各力学参数的变化幅度均随岩样尺度增加而减小。

(2)不同尺度的页岩均存在“初始压密段”,但不存在明显的塑性变形段,而是由“弹性变形”阶段直接转变为“脆性变形”阶段,尺度不同的页岩在岩石破坏前的本构关系均为线弹性本构,岩样破化后,主要发生拉伸-剪切破坏,但剪切破坏角均在10°以内。

(3)页岩强度与变形参数的尺度效应现象是由岩样的加载方向、层理面方向、层理面力学性质和微观缺陷不均匀分布等共同决定的。

(4)传统的岩石强度尺度效应模型对于页岩并不适用,基于Griffith微裂纹强度理论模型的外在表达形式、内在力学机理以及页岩自身强度与变形的尺度效应规律得到了适用于页岩的强度尺度效应模型,该模型与试验结果较为吻合,具有良好的预测效果。

(5)不同矿场岩体力学参数所对应的合理的室内试验岩样尺度不同,当岩样高径比为2,长度超过160 mm时,室内测得的岩样力学参数经现场校正后均可表征矿场岩体力学参数,同时页岩强度与变形尺度效应规律也可为储层钻井和水力压裂施工提供相关指导和参考。

参考文献(References):

[1] 王香增,张金川,曹金舟,等.陆相页岩气资源评价初探:以延长直罗—下寺湾区中生界长7段为例[J].地学前缘,2012,19(2):192-197.

WANG Xiangzeng,ZHANG Jinchuan,CAO Jinzhou,et al.A preliminary discussion on evaluation of continental shale gas resources:A case study of Chang 7 of Mesozoic Yanchang Formation in Zhiluo-Xiasiwan area of Yanchang[J].Earth Science Frontiers,2012,19(2):192-197.

[2] ZHENG Jiangtao,JU Yang,ZHAO Xi.Influence of pore structures on the mechanical behavior of low-permeability sandstones:Numerical reconstruction and analysis[J].International Journal of Coal Science & Technology,2014,1(3):329-337.

[3] LIU Peng,JU Yang,RANJITH P G,et al.Visual representation and characterization of three-dimensional hydrofracturing cracks within heterogeneous rock through 3D printing and transparent models[J].International Journal of Coal Science & Technology,2016,3(3):284-294.

[4] 徐敬宾,杨春和,吴文,等.页岩力学各向异性及其变形特征的试验研究[J].矿业研究与开发,2013(4):23-26,98.

XU Jingbin,YANG Chunhe,WU Wen,et al.Experimental study of mechanics anisotropy and deformation characteristics of gas shale[J].Mining Research and Development,2013(4):23-26,98.

[5] 魏元龙,杨春和,郭印同,等.单轴循环荷载下含天然裂隙脆性页岩变形及破裂特征试验研究[J].岩土力学,2015,36(6):136-145.

WEI Yuanlong,YANG Chunhe,GUO Yintong,et al.Experimental investigation on deformation and fracture characteristics of brittle shale with natural cracks under uniaxial cyclic loading[J].Rock and Soil Mechanics,2015,36(6):136-145.

[6] 刘俊新,张可,刘伟,等.不同围压及应变速率下页岩变形及破损特性试验研究[J].岩土力学,2017,38(S1):49-58.

LIU Junxin,ZHANG Ke,LIU Wei,et al.Experimental study of mechanical behaviors of shale under different confining pressures and different strain rates[J].Rock and Soil Mechanics,2017,38(S1):49-58.

[7] 汤积仁,卢义玉,陈钰婷,等.超临界CO2作用下页岩力学特性损伤的试验研究[J].岩土力学,2018,39(3):797-802.

TANG Jiren,LU Yiyu,CHEN Yuting,et al.Experimental study of damage of shale mechanical properties under supercritical CO2[J].Rock and Soil Mechanics,2018,39(3):797-802.

[8] 程远方,常鑫,孙元伟,等.基于断裂力学的页岩储层缝网延伸形态研究[J].天然气地球科学,2016,25(4):603-611.

CHENG Yuanfang,CHANG Xin,SUN Yuanwei,et al.Research on fracture network propagation pattern of shale reservoir based on fracture mechanics[J].Natural Gas Geoscience,2016,25(4):603-611.

[9] 曾青冬,姚军.基于扩展有限元的页岩水力压裂数值模拟[J].应用数学和力学,2014,35(11):1239-1248.

ZENG Qingdong,YAO Jun.Numerical simulation of shale hydraulic fracturing based on the extended finite element method[J].Applied Mathematics and Mechanics,2014,35(11):1239-1248.

[10] 邓树新,郑永来,郑顺,等.考虑围压对岩石强度尺寸效应影响的统计模型[J].水文地质工程地质,2015,42(1):60-64.

DENG Shuxin,ZHENG Yonglai,ZHENG Shun,et al.Statistical model considering the influence of confining pressure on the size effect of rock strength[J].Hydrogeology,Engineering Geology,2015,42(1):60-64.

[11] 孙文俊.基于热应力的耐火材料测温管裂纹扩展的研究[D].沈阳:东北大学,2012.

SUN Wenjun.Research on the crack propagation of the refractory temperature tube based on the thermal stress[D].Shenyang:Northeast University,2012.

[12] 杨友卿.岩石强度的损伤力学分析[J].岩石力学与工程学报,1999,18(1):23-23.

YANG Youqing.Damage mechanics analysis of rock strength[J].Journal of Rock Mechanics and Engineering,1999,18(1):23-23.

[13] 王学滨,潘一山,宋维源.岩石试件尺寸效应的塑性剪切应变梯度模型[J].岩土工程学报,2001,23(6):711-713.

WANG Xuebin,PAN Yishan,SONG Weiyuan.Plastic shear strain gradient model for size effect of rock specimens[J].Journal of Geotechnical Engineering,2001,23(6):711-713.

[14] 陈瑜,黄永恒,曹平,等.不同高径比时软岩强度尺寸效应试验研究[J].中南大学学报(自然科学版),2010,41(3):1073-1078.

CHEN Yu,HUANG Yongheng,CAO Ping,et al.Experimental study on size effect of soft rock strength at different height-diameter ratios[J].Journal of Central South University (Natural Science Edition),2010,41(3):1073-1078.

[15] 张后全,徐建锋,贺永年,等.灰岩单轴压缩实验室尺度效应研究[J].岩石力学与工程学报,2012,31(S2):3491-3496.

ZHANG Houquan,XU Jianfeng,HE Yongnian,et al.Study of laboratory scale effect of limestone under uniaxial compression[J].Chinese Journal of Rock Mechanics and Engineering,2012,31(S2):3491-3496.

[16] 严妍,郑永来,曹宏泰.常规三轴条件下不均匀岩石的强度尺寸效应[J].低温建筑技术,2017(12):130-133.

YAN Yan,ZHENG Yonglai,CAO Hongtai.Strength size effect of heterogeneous rock in conventional triaxial tests[J].Low Temperature Architecture Technology,2017(12):130-133.

[17] 杨圣奇,徐卫亚.不同围压下岩石材料强度尺寸效应的数值模拟[J].河海大学学报(自然科学版),2004,32(5):578-582.

YANG Shengqi,XU Weiya.Numerical simulation of strength-size effect of rock materials under different confining pressures[J].Journal of Hohai University (Natural Sciences),2004,32(5):578-582.

[18] 祝刚.统计学基础[M].成都:西南财经大学出版社,2009.

[19] 侯振学,李波,唐闻强,等.一种定量评价致密砂岩储层流体性质的新方法-相关系数法[J].地球物理学进展,2017,32(5):116-123.

HOU Zhenxue,LI Bo,TANG Wenqiang,et al.New method for quantitative evaluation fluid properties of tight sandstone-correlation coefficient method[J].Progress in Geophysics,2017,32(5):116-123.

[20] 杨东辉,赵毅鑫,张村,等.循环加载对沉积岩岩石Kaiser效应影响的试验研究[J].岩石力学与工程学报,2018,37(12):61-72.

YANG Donghui,ZHAO Yixin,ZHANG Cun,et al.Experimental study on the influence of cyclic loading on Kaiser effect of sedimentary rocks[J].Chinese Journal of Rock Mechanics and Engineering,2018,37(12):61-72.

[21] 侯振坤,杨春和,魏翔,等.龙马溪组页岩脆性特征试验研究[J].煤炭学报,2016,41(5):1188-1196.

HOU Zhenkun,YANG Chunhe,WEI Xiang,et al.Experimental study on the brittle characteristics of Longmaxi formation shale[J].Journal of China Coal Society,2016,41(5):1188-1196.

[22] 杨小彬,秦跃平,叶飞.考虑残余应力的砂岩损伤理论模型[J].煤炭学报,2015,40(12):2807-2811.

YANG Xiaobin,QIN Yueping,YE Fei.Damage constitutive relation of sandstone considering residual stress[J].Journal of China Coal Society,2015,40(12):2807-2811.

[23] 穆二飞.页岩气水平井压裂模拟的能量方法[D].北京:中国石油大学(北京),2017:45.

MU Erfei.A new simulating method based on energy criterion for network fracturing in shale gas reservoirs[D].Beijing:China University of Petroleum(Beijing),2017:45.

Experimental study on the scale effect of strength and deformation of Chang 7 shale in Ordos Basin

LI Shuai1,2,CHEN Junbin1,2,WANG Hanqing3,GONG Diguang1,2,NIE Xiangrong1,2

(1.Shaanxi Key Laboratory of Well Stability and Fluid & Rock Mechanics in Oil and Gas Reservoirs,Xian Shiyou University,Xian 710065,China; 2.College of Petroleum EngineeringXian Shiyou UniversityXian 710065,China; 3.State Key Laboratory of Petroleum Resources and ExplorationChina University of Petroleum (Beijing),Beijing 102249,China)

Abstract:Shale has an obvious bedding structure and strong heterogeneity,and its strength and deformation characteristics have a significant scale effect,which makes the test results of small-scale rock samples in the laboratory to be limited in characterizing the mechanical properties of large-scale shale rock mass in the mine.In order to explore the scale effect law of shale strength and deformation,taking the continental shale outcrop of Yanchang Formation 7 in Ordos Basin as the research object,the triaxial compression tests of 11 rock samples with height diameter ratio of 2,diameter of 17,20,25 and 38 mm were carried out with RTR-1000 rock triaxial testing system.Based on the analysis of the scale effect law and its internal mechanism of shale strength and deformation,a new scale effect model for shale strength was proposed,and the reasonable test scale of indoor rock sample in characterizing shale field was preliminarily obtained.The results show that most of the mechanical parameters describing the strength and deformation of shale have significant scale effect,and the elastic modulus and Poisson’s ratio increase with the increase of rock sample size,and the peak strength,peak strain,residual strain,residual stress and fracture time decrease with the increase of rock sample size.Shale with different scales changes instantaneously from elastic deformation to brittle failure,and there is no obvious plastic yield section.Before failure,the deformation of shale is linear elastic deformation,and after fracture,it is tensile shear failure,but the shear angle is small,and it is within 10 degrees.The scale effect of shale strength and deformation parameters is caused by loading direction,bedding plane direction,mechanical properties of bedding plane and uneven distribution of micro defects.Based on Griffith micro-crack strength theory model,a new strength scale effect model for shale was obtained.The model is in good agreement with the test results and can accurately predict the strength of shale samples with different scales.Different mechanical parameters of shale rock mass correspond to different sizes of reasonable laboratory test rock samples,and when the height diameter ratio of rock sample is 2 and the length is more than 160 mm,the mechanical parameters of rock sample measured in the laboratory can be used to characterize the mechanical parameters of rock mass in the mine after field correction.The scale effect law of shale strength and deformation can be used to predict the fracture pressure,the deformation characteristics of wellbore during well drilling and the initiation and stable expansion pressure during fracturing.In the current volume fracturing operation,it is very beneficial to expand the fracturing scale of branch fractures along the bedding direction or for the large and thick shale reservoirs with extremely developed micro defects along the bedding direction,it can be considered to conduct the multi-cluster fracturing of vertical wells to fully release the mechanical advantages of the bedding surface conducive to fracture expansion,so as to improve the productivity of shale gas wells.

Key words:strength and deformation;scale effect;shale;Ordos Basin;uniaxial compression test;hydraulic fracturing

移动阅读

李帅,陈军斌,王汉青,等.鄂尔多斯盆地长7段页岩强度与变形尺度效应规律试验研究[J].煤炭学报,2020,45(12):4121-4131.

LI Shuai,CHEN Junbin,WANG Hanqing,et al.Experimental study on the scale effect of strength and deformation of Chang 7 shale in Ordos Basin[J].Journal of China Coal Society,2020,45(12):4121-4131.

中图分类号:TD315;P618.13

文献标志码:A

文章编号:0253-9993(2020)12-4121-11

收稿日期:2019-10-18

修回日期:2019-12-22

责任编辑:常 琛

DOI:10.13225/j.cnki.jccs.2019.1421

基金项目:国家自然科学基金面上资助项目(51674197,51874239);国家自然科学基金青年科学基金资助项目(51804254)

作者简介:李 帅(1992—),男,陕西延安人,硕士研究生。Tel:029-88382213,E-mail:lishuai_xsy@163.com

通讯作者:陈军斌(1963—),男,陕西岐山人,教授,博士生导师。Tel:029-88382213,E-mail:chenjbxu@126.com