冲击地压是我国煤矿当前面临的主要动力灾害之一[1-3]。随着开采深度不断增加和开采条件复杂化,煤矿开采过程中冲击地压显现次数逐渐增多[4-5],并陆续发生大显现和破坏范围的冲击地压(笔者定义为“整体失稳型冲击地压”)。与常见的局部冲击地压主要发生在采掘工作面支承压力影响范围内、显现于巷道顶板、底板、两帮不同[6],整体失稳型冲击地压主要发生在孤岛工作面开采、大巷煤柱区域等,造成工作面煤壁与上下平巷大范围严重破坏[7-10]。整体失稳型冲击地压是指开采工作面煤壁、底煤或煤柱中部弹性承载区在高应力作用下的冲击失稳。以大巷煤柱冲击地压为例,常见的大巷煤柱局部冲击是指煤柱在自重应力、构造应力和巷道开挖转移应力等叠加作用下导致局部煤体应力超过冲击临界应力诱发冲击,但大巷煤柱中部弹性核区域尚处于稳定状态;对于深部大巷煤柱,其在自重应力、构造应力和巷道开挖转移应力等叠加作用下应力高度集中,当应力集中程度超过煤柱整体承载能力时,煤柱中部弹性核发生冲击失稳,导致整个大巷煤柱发生冲击破坏,由于煤柱弹性核区域煤体处于三向应力状态,其承载能力和集聚弹性能能力最强,一旦发生冲击失稳释放的能量和破坏性远大于局部冲击地压。
我国学者对冲击地压机理[11-15]进行了大量研究,并提出了针对性的防治对策,但以上研究大多是针对局部冲击地压的发生机理和防治,对于整体失稳型冲击地压发生机理和防治研究较少。笔者在分析几起整体失稳型冲击地压事故案例的基础上,采用现场调查、理论分析和现场监测等方法,根据工程特征和冲击地压显现特征,对整体失稳型冲击地压进行分类,研究各类整体失稳型冲击地压的发生机制,并提出防治对策,以期为我国煤矿整体失稳型冲击地压防治提供参考。
山东赵楼煤矿1305工作面是该矿井一采区第6个综放工作面,北为回采完毕的1304工作面(终采时间:2011-12-25),南为回采完毕的1306工作面(终采时间:2013-01-24)和1307工作面(终采时间:2015-07-25),1305工作面属于孤岛工作面,平面位置如图1所示。1305工作面平均埋深为980 m,煤层倾角平均3°,回采煤层厚度2.8~9.0 m,平均6.1 m,单轴抗压强度为22.4 MPa,煤层结构简单,容重13.6 kN/m3;工作面走向长度574 m,倾斜宽度137 m,采用走向长壁后退式综采放顶煤一次采全高采煤法。经煤岩冲击倾向性鉴定,该工作面回采3煤层具有强冲击倾向性,顶板具有弱冲击倾向性。
图1 1305工作面平面位置
Fig.1 Plane position of LW1305
2015-07-29,1305工作面运输巷推进6 m,回风巷推进0.75 m时,工作面发生一起严重冲击地压事故,如图2所示。事故破坏性如下:① 回风巷超前15~60 m两帮最大移近量3 m,底臌量0.5~1.0 m,局部断面趋近闭合,破坏单体支柱14棵;② 运输巷超前40 m范围内单体弯曲、折断38棵,钢棚垮落13架,崩断锚杆(索)12根;③ 工作面内60~80号支架向后最大位移1.0 m,煤壁煤块大量抛入架内,支架前梁和护帮板千斤顶损坏32棵,采煤机和刮板输送机被冲击损坏,且造成3人受伤。
图2 冲击地压事故现场照片
Fig.2 Photos of rock burst accident scene
山东能源肥矿集团梁宝寺煤矿35000采区煤层平均埋深约1 020 m,煤层平均厚度6.5 m,采区3条大巷均布置在煤层中,大巷间距为50 m(图3),经冲击倾向性鉴定,开采煤层具有强冲击倾向性,煤层平均单轴抗压强度约为20 MPa。2016-08-15T00:33,35000采区发生一起严重的冲击地压事故,破坏巷道约300 m,如图4所示。微震定位结果表明,震源位于35000采区集中回风巷和集中运输巷之间,微震能量为5.54×106 J,山东地震台网测定该次事故震级为2.1级,微震震源位置与正在开采的35001工作面相距379 m。根据课题组在梁宝寺煤矿多个工作面微震监测结果,工作面采动影响150~200 m,远小于事故地点与工作面距离379 m,表明事故与工作面开采无明显关联。
图3 35000采区平面
Fig.3 Plan of 35000 mining area
图4 冲击地压事故现场照片
Fig.4 Photos of rock burst accident scene
黑龙江龙煤集团峻德煤矿三水平17层一段分层综采工作面回采上分层,设计采高4 m,煤层平均厚度11.2 m,倾角29°~32°,埋深584 m。煤层直接顶为厚度5.2~14.9 m的粉砂岩,基本顶为厚度12.0~55.2 m中粗砂岩,底板为厚度4.5~5.5 m的粉砂岩。工作面上方有遗留煤柱4处,其中11层煤遗留煤柱1处,9层煤遗留煤柱3处,煤柱位置如图5所示。2013-03-15工作面推进766 m时发生冲击地压事故,导致工作面底煤冲出将采煤机、刮板输送机和液压支架损坏,工作面外侧50 m回风巷和60 m运输巷发生底煤冲击将巷道闭合,如图6所示。根据事故现场调研分析,诱发冲击地压的主要力源因素有上层煤遗留煤柱、本层区段宽煤柱(23.6 m)和构造应力影响,围岩破坏形式主要是工作面和巷道底煤冲击。
图5 事故工作面平面
Fig.5 Plan of rockburst accident working face
图6 工作面底煤冲击现场照片
Fig.6 Photos of bottom coal rockburst on working face
根据上述3起典型整体失稳型冲击地压的工程特征和冲击显现特征,可将当前我国整体失稳型冲击地压分为孤岛工作面整体失稳型冲击地压、大巷煤柱整体失稳型冲击地压和底煤整体滑移失稳型冲击地压3类。
2.1.1 孤岛工作面覆岩结构分类
孤岛工作面发生整体失稳型冲击地压的主要原因在于两侧采空区传递的载荷超过了孤岛工作面煤柱的承载能力,导致孤岛煤柱发生整体冲击失稳。由于孤岛工作面两侧采空区的范围和覆岩运动情况将直接影响采空区传递至孤岛工作面的载荷大小,根据孤岛工作面两侧采空区的采动情况,可将孤岛工作面分为两侧均为非充分采动顶板结构、一侧非充分、一侧充分采动顶板结构和两侧充分采动顶板结构,建立孤岛工作面覆岩结构模型如图7所示。
图7 孤岛工作面覆岩结构模型
Fig.7 Overburden structure model of isolated working face
由图7可知,对于非充分采动条件下孤岛工作面采空区传递载荷为上覆悬顶岩层重量的一半;对于充分采动条件下孤岛工作面采空区传递载荷为悬顶岩梁结构重量的一半。
2.1.2 孤岛工作面支承压力估算
孤岛工作面承担载荷Q为煤层至地表岩层的自重q和两侧采空区传递载荷Q1,Q2的总和,即
Q=q+Q1+Q2
(1)
孤岛工作面上覆岩层的自重q可表示为
q=(D-Hcot α)γH
(2)
式中,γ为岩层容重。
(1)两侧均为非充分采动顶板结构载荷估算。孤岛工作面两侧均为非充分采动顶板结构时,采空区传递载荷Q1,Q2分别为
![]()
(3)
![]()
(4)
两侧均为非充分采动时孤岛工作面承担的载荷:
![]()
(5)
(2)一侧非充分、一侧充分采动顶板结构载荷估算。孤岛工作面一侧非充分、一侧充分采动顶板结构时,采空区传递载荷Q1与式(3)相同,Q2为
![]()
(6)
一侧非充分、一侧充分采动时孤岛工作面承担的总载荷为
![]()
(7)
(3)两侧充分采动顶板结构载荷估算。孤岛工作面两侧充分采动顶板结构时,其承担的总载荷为
![]()
(8)
2.1.3 孤岛工作面整体冲击失稳危险性评估
当孤岛工作面煤体的承载能力小于上覆岩层自重和采空区岩层传递载荷时,可认为工作面煤体具有发生整体冲击失稳的可能。据此建立孤岛工作面煤体承载能力计算模型,如图8所示。
图8 工作面煤体承载能力计算模型
Fig.8 Calculation model of coal bearing capacity in working face
考虑到工作面回采前需对巷帮煤体进行大直径钻孔预卸压,因此钻孔卸压区内煤体处于单向应力状态,其强度为单轴抗压强度;而工作面中部煤体处于三向应力状态,其强度为三向抗压强度。据此建立工作面煤体承载能力与实际承担载荷的关系
Q=2f[σc]+n[D-2(f+a+b)][σc]
(9)
由式(9)可推导出深部煤体实际承载系数为
![]()
(10)
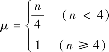
孤岛工作面中部煤体处于三向应力状态,研究表明[16],煤体三轴抗压强度约为单轴抗压强度的3~5倍,本文计算时取平均值4倍作为评价是否发生整体失稳型冲击的标准。为了确定工作面煤体发生整体失稳冲击的可能性,提出工作面发生整体失稳型冲击的可能性指数μ与煤层实际承载系数n的函数关系:

(11)
根据课题组在多个冲击地压矿井的工程经验[10],将工作面发生整体失稳型冲击的危险性划分为4个等级,如图9所示。当μ=0~0.5(n=0~2)时,工作面无整体失稳冲击危险;当μ=0.50~0.75(n=2~3)时,工作面具有弱整体失稳冲击危险;当μ=0.75~1.00(n=3~4)时,工作面具有中等整体失稳冲击危险;当μ=1(n>4)时,工作面具有强整体失稳冲击危险。根据现场工程经验,当工作面发生整体失稳型冲击的可能性较小时(μ <0.75),采取措施后可继续开采该工作面;当工作面发生整体失稳型冲击的可能性较大时(μ ≥0.75),出于安全考虑,不建议继续开采该工作面。
2.1.4 赵楼煤矿1305孤岛工作面整体冲击失稳危险性分析
图9 工作面整体失稳型冲击危险划分
Fig.9 Division diagram of overall instability induced rock-bursts in working face
根据地表沉陷观测,赵楼煤矿1305孤岛工作面北侧1304采空区地表下沉系数为0.14,南侧1306,1307采空区上方地表下沉系数为0.27,1305孤岛工作面两侧采空区地表均处于非充分采动,因此1305孤岛工作面整体失稳冲击危险性评估适用于图7(a)模型。根据1305工作面实际情况,取H=980 m,M1=872.5 m,M2=775 m,L1=215 m,L2=410 m,D=137 m,h1=107.5 m,h2=205 m,m=20 m,α=83°,γ =25 kN/m3,[σc]=22 MPa,将以上数据代入式(1)~(5)和式(10)中,计算得到煤层实际承载系数n=4.1,由式(11)可知,1305工作面发生整体失稳型冲击地压的可能性指数f =1,即1305工作面处于强整体冲击失稳危险。1305工作面于2015-07-29发生的工作面整体失稳型冲击地压事故,造成工作面及两侧回采巷道严重破坏,验证了计算结果的正确性。
2.1.5 孤岛工作面整体失稳型冲击地压发生机理
根据上述分析可知,孤岛工作面整体失稳型冲击地压的发生机理为:孤岛工作面上覆岩层自重和两侧采空区转移载荷叠加形成的总应力超过了孤岛工作面整体承载能力时,孤岛工作面中部弹性核整体破坏失稳诱发冲击地压灾害。由于孤岛工作面中部煤体处于三向应力状态,其承载能力和集聚弹性能能力远大于处于单向应力煤体,因此孤岛工作面发生整体失稳型冲击地压时,其冲击范围、释放能量、破坏性均远大于巷道局部冲击地压。
2.2.1 大巷煤柱整体失稳型冲击危险性评估
大巷煤柱整体失稳型冲击地压发生的主要原因是煤柱弹性核应力集中程度超过了发生整体失稳冲击的临界应力。根据梁宝寺35000采区煤层大巷实际情况,建立深井大巷煤柱应力计算模型,如图10所示。图中将大巷煤柱弹性核区域受力简化为平均受力状态,方便后期进行冲击危险性评估。
图10 大巷煤柱应力分布示意
Fig.10 Stress distribution diagram of coal pillar in main roadway
由图10可知,原始应力状态下,两条大巷间煤体的总应力E1可表示为
E1=(S+a)kγH
(12)
式中,S为大巷煤柱宽度;a为大巷宽度;k为大巷区域煤体在采动、构造等影响下的应力集中程度。
深部煤层大巷掘进期间一般都具有冲击危险,掘进时需在两帮施工大直径卸压钻孔,使应力峰值向煤柱中部转移。根据图10可得大巷掘进后煤柱总应力E2为
E2=[(S-2d)η+d]γH
(13)
式中,η为煤柱弹性核应力集中程度;d为卸压保护带宽度,d≤S/2。
根据巷道开挖前后总应力不变原则,令E1 = E2,化简可得
![]()
(14)
由式(14)可知,煤柱弹性核应力集中程度η和大巷宽度a成正比,与大巷煤柱宽度S和卸压孔保护带宽度d成反比。
煤柱弹性核处于三向应力状态,因此煤柱弹性核发生整体失稳型冲击的可能性指数

(15)
式中,[σ3c]为煤体三轴抗压强度,[σ3c]≈(3~5)[σc]。
根据笔者前期研究成果[5],当I=0~0.5时,大巷煤柱具有无整体失稳冲击危险;当I=0.5~1.0时,大巷煤柱具有弱整体失稳冲击危险;当I=1.0~1.5时,大巷煤柱具有中等整体失稳冲击危险;当I≥1.5时,大巷煤柱具有强整体失稳冲击危险。
2.2.2 梁宝寺煤矿35000采区大巷煤柱整体失稳型冲击危险性分析
根据梁宝寺煤矿35000采区实际情况,取H=1 020 m,[σc]=20 MPa,S=50 m,d=20 m,a=5 m,[σ3c]=4[σc],考虑到冲击区域大断层、火成岩侵入等构造影响,取k=2.0。将上述参数代入式(15)计算得煤柱整体失稳型冲击的可能性指数I=2.87,已远超过煤柱发生整体失稳型冲击的临界应力水平,因此梁宝寺煤矿35000采区大巷煤柱发生严重整体失稳型冲击。
2.2.3 大巷煤柱整体失稳型冲击地压发生机理
根据上述分析可知,大巷煤柱在自重应力、构造应力和巷道开挖、卸压转移应力等叠加作用下应力高度集中,当应力集中程度超过煤柱整体承载能力时,煤柱中部弹性核发生冲击失稳,导致煤柱两侧大巷均发生严重冲击破坏。
对于分层开采工作面,在采动支承压力形成的高应力作用下,工作面底煤会发生大范围塑性破坏,破坏的煤体具有一定的塑性流动性并形成滑移线场,当滑移线场运动的范围波及至工作面时,有可能诱发底煤整体滑移失稳型冲击地压。建立分层工作面底煤滑移极限承载力估算模型,如图11所示。根据滑移线场理论,将底煤塑性区运动趋势划分为主动区COD、过渡区BOC和被动区AOB。图11中E,F点为满足底煤发生冲击破坏的临界应力点;G,H点为满足底煤发生滑移破坏的临界应力点。
图11 底煤滑移极限承载力估算模型
Fig.11 Estimation model of sliding ultimate bearing capacity of bottom coal
分层开采工作面发生底煤整体滑移失稳型冲击需满足以下2个条件:① 工作面超前应力峰值大于底煤发生冲击地压的临界应力,即σmax>1.5[σc];② 工作面超前应力峰值大于底煤滑移的极限承载力,即σmax>q0。当满足以上2个条件且q0>1.5[σc]时,则底煤冲击和滑移同时发生;q0<1.5[σc]时,底煤先发生滑移失稳(底臌),当滑移失稳区扩展至冲击失稳区时,发生底煤滑移失稳型冲击。因此分层工作面底煤具有整体滑移失稳型冲击危险的范围LD=min(LEF,LGH),如图11所示。
2.3.1 底煤滑移极限承载力估算
由于底煤重力远小于煤体支承压力,假定底煤为符合Mohr-Coulomb准则的无重均质的刚塑体,且忽略底煤表面摩擦力。通过Hencky第一定理,利用边界条件对滑移线场及应力状态进行求解。
被动区AOB中,作用在AO面上的q0方向沿y轴向上,则AO面为第一主应力作用面,边界条件为σn=0,τn=0,θ=π,则被动区AOB内各点应力状态为

(16)
式中,SB为B点应力值;c为煤层黏聚力;φ为煤层内摩擦角。
由Hencky第一定理可知,同一滑移线上任意两点有:
ln S1+2θ1cot(2μ)=ln S2+2θ2cot(2μ)
(17)
式中,S1为1点应力值;S2为2点应力值;θ1为1点第一主应力和x轴的夹角;θ2为2点第一主应力和x轴的夹角。
通过对过渡区BOC的分析,将B点应力状态代入(17)式,得到C点的应力值为
![]()
(18)
式中,SC为C点处第一主应力方向与x轴的夹角。
主动区COD中,作用在DO面上的q0方向沿y轴向下,则DO面为第一主应力作用面,边界条件为σn=q0,τn=0,θ=π/2,则主动区COD内各点应力状态为

(19)
联立式(17)和式(19),可以得到D点的应力值为
![]()
(20)
由于cot (2μ)=tan φ,联立式(17)和(20),代入C,D两点应力状态,得出底煤滑移极限承载力q0为
![]()
(21)
2.3.2 整体滑移失稳型冲击危险范围估算
根据文献[17]结论可知,分层工作面开采超前支承压力σ由上覆岩层自重产生的自重应力σq和采空区上方各关键层组悬露部分传递到工作面前方煤体上的应力增量Δσ:
Δσ=∑σi
(22)
式中,i为煤层上方第i个关键层组,i=1~n;σi为第i个关键层组产生的应力增量。
分层工作面开采超前支承压力
σ=σq+Δσ
(23)
分别令σ =q0和σ =1.5[σc],可以得到底煤滑移失稳范围(x1,x4)和冲击危险范围(x2,x3)。则底煤整体滑移失稳冲击危险的范围为
LD=[max(x1,x2),min(x3,x4)]
(24)
2.3.3 实例分析
根据黑龙江峻德煤矿提供的17层煤岩石力学参数,取17层底煤黏聚力c=1.3 MPa,内摩擦角φ=24°;将上述参数代入式(21),计算出17层底煤发生滑移的极限承载力q0=25.1 MPa。根据文献[17]计算得到的17层一段上分层综采工作面超前支承压力曲线,将σ=q0=25.1 MPa和σ =1.5[σc]=24.3 MPa代入式(24)计算可得底煤滑移失稳范围为(5.4 m,110.5 m),底煤冲击危险范围为(4.2 m,117.9 m),综合可得底煤整体滑移失稳冲击危险的范围为(5.4 m,110.5 m),即LD=105.1 m。根据三水平北17层三四区一段上分层工作面事故现场勘察结果,回风巷超前工作面115 m范围内底煤塑性滑移破坏,运输巷超前工作面103 m范围内底煤塑性破坏,现场破坏情况与理论计算的煤壁前方底煤塑性破坏范围相近。
2.3.4 底煤整体滑移失稳型冲击机理
根据上述分析可知,分层工作面底煤整体滑移失稳型冲击地压发生机理为:工作面超前支承压力超过底煤发生冲击和滑移的临界应力时,底煤冲击和滑移同时发生,形成底煤整体滑移失稳型冲击地压,导致工作面煤壁和两侧巷道发生大范围底煤冲击。
赵楼煤矿1305孤岛工作面“7·29”整体失稳型冲击地压事故表明,在孤岛工作面两侧巷道施工常规局部大直径钻孔难以有效防治整体失稳型冲击地压灾害。我国山东地区部分孤岛工作面开采时采用对穿卸压钻孔贯穿孤岛工作面煤柱,该方法虽然消除了煤柱弹性核,但强卸压导致孤岛工作面煤柱弹性核承载能力大幅降低,使孤岛工作面开采期间出现沿空巷道大变形灾害,严重影响了工作面安全开采。
笔者根据十余个孤岛工作面开采冲击地压防治经验,以孤岛工作面整体失稳冲击危险性评价结论为基础,将孤岛工作面分为可采孤岛工作面(评价结果为无整体冲击危险)、采取措施后可采孤岛工作面(评价结果为弱~中等整体冲击危险)和不可采孤岛工作面(评价结果为强整体冲击危险)。
对于可采孤岛工作面,工作面开采期间采取局部卸压措施即可实现安全开采;对于采取措施后可采孤岛工作面,作者提出了“双层钻孔”卸压方法,将孤岛工作面煤体形成“分级承载”结构,在消除孤岛工作面中部高应力弹性核的基础上尽可能保留其一定承载能力,可同时实现冲击地压和围岩大变形灾害的有效控制,如图12所示;对于不可采孤岛工作面,由于孤岛煤柱应力集中程度较高,采取卸压措施后煤体应力恢复速度较快,导致孤岛工作面冲击危险难以彻底消除,因此不建议开采。如图13所示为赵楼煤矿1305孤岛工作面发生整体失稳型冲击前,工作面超前50 m处煤体应力下降(已采取预卸压措施)后快速恢复进而诱发冲击。
由于赵楼煤矿1305孤岛工作面经评估为不可采孤岛工作面,因此1305孤岛工作面发生冲击后,通过采取课题组制定的局部卸压措施撤出工作面设备后,将该工作面进行封闭放弃开采。
图12 孤岛工作面“双层钻孔”“分级承载”示意
Fig.12 Schematic diagram of “double layer drilling” and “graded bearing” in island working face
图13 1305工作面运输巷煤体应力曲线(距工作面50 m)[8]
Fig.13 Stress curves of coal body in transportation gateway of 1305 working face(50 m away from working face)[8]
大巷煤柱整体失稳型冲击危险程度主要与大巷煤柱宽度和卸压孔深度有关。通过增加大巷煤柱宽度降低应力集中程度会带来煤炭资源浪费,因此作者提出深井大巷煤柱整体失稳型冲击地压防治对策主要是改变大巷布置层位和加强大巷煤柱监测预警。
3.2.1 改变大巷布置层位
目前我国矿井大巷大部分布置在煤层中,深部冲击地压矿井煤层大巷掘进工作面一般都具有冲击危险,掘进时必须采取卸压措施确保掘进安全,但卸压后导致大巷煤柱弹性核宽度减小,应力集中程度升高,增加煤柱整体失稳型冲击危险(图14(a));如果通过加深卸压钻孔直接破坏煤柱弹性核,大巷煤柱承载能力下降又带来围岩大变形问题。通过改变大巷层位,将目前矿井常用的3条煤层大巷调整为1条岩巷2条煤巷/半煤岩巷布置方式(图14(b)),煤层/半煤岩大巷采取防冲措施后大巷煤层还能保持长期稳定。
以梁宝寺煤矿35000采区煤层大巷为例,将35000采区3条煤层大巷改变为1条岩巷2条煤层大巷后,经计算大巷煤柱整体失稳型冲击的可能性指数I由2.87降低至0.99,整体冲击失稳危险等级由强降低至弱,大幅降低了煤柱应力集中程度和冲击危险性。
3.2.2 加强大巷煤柱监测预警
图14 大巷不同层位布置方式示意
Fig.14 Layout of different layers of main roadway
由于大巷四周开采条件的变化会导致大巷煤柱应力集中程度和冲击危险性发生变化,因此对于具有弱~中等整体冲击失稳危险性的大巷煤柱,还需对大巷煤柱采取监测预警措施,当大巷煤柱应力增幅达到预警值时,及时采取卸压解危措施。
赵楼煤矿深部七采区煤层大巷均安装了课题组研发的深井大巷煤柱冲击地压监测预警系统(图15),通过对大巷煤层稳定性实时监测预警并及时采取防冲措施,保障了深部大巷煤柱的长期安全稳定。
图15 赵楼煤矿七采区下山大巷煤柱应力测点布置平面
Fig.15 Layout plan of coal pillar stress measuring points in downhill roadway of No.7 mining area of Zhaolou Coal Mine
由于底煤整体滑移失稳型冲击地压灾害冲击范围包含工作面煤壁和两侧巷道,因此常规的巷道两帮卸压技术难以保障工作面煤壁防冲安全。笔者根据峻德煤矿三水平17层一段分层综采工作面底煤整体滑移失稳型冲击安全复产经验,提出了在工作面煤壁施工大直径卸压钻孔或爆破孔,将工作面超前支承压力峰值向煤壁深处转移,使滑移线场范围控制在工作面煤壁以里,确保工作面底煤不发生整体滑移失稳型冲击,如图16所示。
图16 煤壁卸压钻孔防治底煤整体滑移失稳型冲击示意
Fig.16 Schematic diagram of coal wall pressure relief drilling for prevention and control of overall sliding instability induced rockbursts of bottom coal
峻德煤矿三水平17层一段分层综采工作面发生底煤整体滑移失稳型冲击地压后,课题组在两侧巷道帮部和底煤卸压基础上,提出了在工作面煤壁超前施工孔深50 m、间距1.0 m、直径153 mm的大直径卸压钻孔,每推进20 m预留30 m卸压保护带施工下一轮大直径卸压钻孔,确保了三水平17层一段分层综采工作面安全复产直至开采结束。
笔者以3类整体失稳型冲击地压事故案例为背景,揭示了3类整体失稳型冲击地压的发生机理,并提出了相应的防治对策。由于我国深部矿井开采条件复杂,实际生产过程中还会遇到很多具有隐蔽性的整体失稳型冲击类型,如工作面一侧沿空、一侧为断层或大型地质构造时(图17(a)),就会形成类孤岛工作面,导致工作面部分区域具有发生整体失稳型冲击的危险;大巷煤柱内施工多组近距离联络巷时,巷道群将大巷煤柱切割形成应力集中程度更高的小煤柱,提高了煤柱整体失稳型冲击危险性(图17(b));当工作面发育落差较大倾向断层或煤层分叉时,工作面过构造期间会出现大范围留底煤,若底煤没有得到及时处理,也可能发生底煤整体滑移失稳型冲击(图17(c))。因此在实际防冲工作中,需要加强对这些隐蔽性整体失稳型冲击风险的判识和防治工作。
图17 隐蔽性整体失稳型冲击地压示意
Fig.17 Schematic diagram of concealed global instability rockburst
(1)通过3起典型整体失稳型冲击地压工程案例分析,将当前我国整体失稳型冲击地压分为孤岛工作面整体失稳型冲击地压、大巷煤柱整体失稳型冲击地压和底煤整体滑移失稳型冲击地压3类。
(2)分别建立了3类整体失稳型冲击地压发生机理的力学模型,揭示了3类整体失稳型冲击地压的发生机理,提出了3类整体失稳型冲击危险的评估方法和防治对策。
(3)由于我国深部矿井开采条件复杂,实际生产过程中还会遇到很多具有隐蔽性的整体失稳型冲击类型,因此在实际防冲工作中,需要加强对这些隐蔽性整体失稳型冲击风险的判识和防治工作。
[1] 齐庆新,潘一山,李海涛,等.煤矿深部开采煤岩动力灾害防控理论基础与关键技术[J].煤炭学报,2020,45(5):1567-1584.
QI Qingxin,PAN Yishan,LI Haitao,et al.Theoretical basis and key technology of prevention and control of coal-rock dynamic disasters in deep coal mining[J].Journal of China Coal Society,2020,45(5):1567-1584.
[2] ZHAO P X,ZHUO R S,LI S G,et al.Analysis of advancing speed effect in gas safety extraction channels and pressure-relief gas extraction[J].Fuel,2020,265(4):116825.
[3] 朱斯陶,姜福兴,刘金海,等.复合厚煤层巷道掘进冲击地压机制及监测预警技术[J].煤炭学报,2020,45(5):1659-1670.
ZHU Sitao,JIANG Fuxing,LIU Jinhai,et al.Mechanism and monitoring and early warning technology of rock burst in the heading face of compound thick coal seam[J].Journal of China Coal Society,2020,45(5):1659-1670.
[4] 翟明华,姜福兴,齐庆新,等.冲击地压分类防治体系研究与应用[J].煤炭学报,2017,42(12):3116-3124.
ZHAI Minghua,JIANG Fuxing,QI Qingxin,et al.Research and practice of rock burst classified control system[J].Journal of China Coal Society,2017,42(12):3116-3124.
[5] 朱广安.深地超应力作用效应及孤岛工作面整体冲击失稳机理研究[D].徐州:中国矿业大学,2017.
ZHU Guang’an.Overstress effect of rock and coal and study on mechanism of overall rock burst instability on island coal panel in underground deep mining[D].Xuzhou:China University of Mining and Technology,2017.
[6] 姜福兴,刘懿,翟明华,等.基于应力与围岩分类的冲击地压危险性评价研究[J].岩石力学与工程学报,2017,36(5):1041-1052.
JIANG Fuxing,LIU Yi,ZHAI Minghua,et al.Evaluation of rock burst hazard based on the classification of stress and surrounding rock[J].Chinese Journal of Rock Mechanics and Engineering,2017,36(5):1041-1052.
[7] 王高昂,朱斯陶,姜福兴,等.千米深井大巷孤立煤体整体失稳冲击机理及防治研究[J].采矿与安全工程学报,2019,36(5):968-976.
WANG Gaoang,ZHU Sitao,JIANG Fuxing,et al.Mechanism of rock burst induced by overall instability of isolated coal and its prevention in large well at thousands-kilometer underground[J].Journal of Mining and Safety Engineering,2019,36(5):968-976.
[8] 姜福兴,史先锋,王存文,等.高应力区分层开采冲击地压事故发生机理研究[J].岩土工程学报,2015,37(6):1123-1131.
JIANG Fuxing,SHI Xianfeng,WANG Cunwen,et al.Mechanical mechanism of rock burst accidents in slice mining face under high pressure[J].Chinese Journal of Geotechnical Engineering,2015,37(6):1123-1131.
[9] 姜福兴,成功,冯宇,等.两侧不规则采空区孤岛工作面煤体整体冲击失稳研究[J].岩石力学与工程学报,2015,34(S2):4164-4170.
JIANG Fuxing,CHENG Gong,FENG Yu,et al.Research on coal overall instability of isolated working face with irregular gobs on both sides[J].Chinese Journal of Rock Mechanics and Engineering,2015,34(S2):4164-4170.
[10] ZHU Sitao,FENG Yu,JIANG Fuxing,et al.Mechanism and risk assessment of overall-instability-induced rockbursts in deep island longwall panels[J].International Journal of Rock Mechanics and Mining Sciences,2018,106(6):342-349.
[11] 李振雷,窦林名,王桂峰,等.坚硬顶板孤岛煤柱工作面冲击特征及机制分析[J].采矿与安全工程学报,2014,31(4):519-524.
LI Zhenlei,DOU Linming,WANG Guifeng,et al.Rock burst characteristics and mechanism induced within an island pillar coalface with hard roof[J].Journal of Mining and Safety Engineering,2014,31(4):519-524.
[12] 何江,窦林名,曹晋荣,等.急倾斜特厚煤层水平分段综放开采冲击矿压机理[J].煤炭学报,2020,45(5):1701-1709.
HE Jiang,DOU Linming,CAO Jinrong,et al.Mechanism of rock burst in steep and extremely thick coal seam using horizontal section top-coal caving[J].Journal of China Coal Society,2020,45(5):1701-1709.
[13] 王春秋,蒋邦友,顾士坦,等.孤岛综放面冲击地压前兆信息识别及多参数预警研究[J].岩土力学,2014,35(12):3523-3530.
WANG Chunqiu,JIANG Bangyou,GU Shitan,et al.Study of precursor information recognition and multiparameter early warning before rockburst of island fully mechanized caving face[J].Rock and Soil Mechanics,2014,35(12):3523-3530.
[14] 魏全德,姜福兴,姚顺利,等.特厚煤层下山煤柱区巷道冲击危险性实时监测预警研究[J].采矿与安全工程学报,2015,32(4):530-536.
WEI Quande,JIANG Fuxing,YAO Shunli,et al.Real-time monitoring and early warning of rock burst risk in dip coal pillar area of extra-thick coal seam[J].Journal of Mining and Safety Engineering,2015,32(4):530-536.
[15] 赵善坤,黎立云,吴宝杨,等.底板型冲击危险巷道深孔断底爆破防冲原理及实践研究[J].采矿与安全工程学报,2016,33(4):636-642.
ZHAO Shankun,LI Liyun,WU Baoyang,et al.Theory and application of deep hole floor-break blasting in floor rock burst coal mine[J].Journal of Mining and Safety Engineering,2016,33(4):636-642.
[16] 杨永杰,宋杨,陈绍杰.三轴压缩煤岩强度及变形特征的试验研究[J].煤炭学报,2006,31(2):150-153.
YANG Yongjie,SONG Yang,CHEN Shaojie.Test study of coal’s strength and deformation characteristics under triaxial compression[J].Journal of China Coal Society,2006,31(2):150-153.
[17] 刘金海,姜福兴,朱斯陶.长壁采场动、静支承压力演化规律及应用研究[J].岩石力学与工程学报,2015,34(9):1815-1827.
LIU Jinhai,JIANG Fuxing,ZHU Sitao.Study of dynamic and static abutment pressure around longwall face and its application[J].Chinese Journal of Rock Mechanics and Engineering,2015,34(9):1815-1827.