煤储层属于低孔低渗非常规储层,由于煤储层的渗透率都很低,仅靠井眼圆柱侧面作为排气面是远远不够的,所以必须采取人工强化增产措施。利用以钻井水力压裂为关键技术的一整套工艺过程对煤储层进行改造,是当今世界开发煤层气所用的主要技术。从压裂机理上来说煤层气井与常规油气井的压裂并无本质区别[1-2]。关于煤储层水力压裂裂缝扩展特征及其有利区评价研究,国内外学者主要是从煤的物质组成和结构特征、煤岩物理力学性质和地应力条件3个方面开展研究[3-12]。如陈杨等[3]以水力压裂裂缝的微地震监测数据为基础,开展了压裂裂缝长度与煤岩煤质及其力学性质之间的相关性研究,分析认为,压裂裂缝长度与煤的演化程度、镜质组含量呈正相关,与惰质组含量、弹性模量和抗拉压强度呈负相关性。LIU Yulong等[4]开展了煤的宏观煤岩类型对储层产能、水力裂缝形成和扩展的影响研究,揭示了亮煤含量多的煤储层比暗煤含量多的煤储层更有利于水力压裂裂缝的扩展的认识。许露露等[5]基于滤失理论,建立了水力压裂裂缝扩展模型,揭示了杨氏模量和泊松比对压裂裂缝扩展的影响。贾奇锋等[6]研究了不同煤体结构水力压裂的裂缝扩展规律,建立了水力压裂过程中裂缝尖端应力场计算模型以及水力压裂裂缝能否穿越天然裂隙的判断准则。严成增等[7]采用考虑流固耦合的离散元-有限元耦合方法研究了地应力对水力压裂的影响,揭示了侧压力系数对压裂裂缝的影响。马耕等[8]采用室内试验系统进行了水力压裂物理模拟试验,分析水力压裂效果与地应力、天然裂缝的发育程度、煤岩体力学性质、压裂液的黏度和排量等因素的影响。TAN Peng等[9]采用三轴压裂试验,研究了地应力、弹性模量和天然裂缝对裂缝扩展的影响,指出:垂直应力与最大水平应力之间存在较大地应力差的储层,有利于水力压裂改造。JIANG Tingting[10],ZHOU Desheng[11]和CHONG Hyun Ahn[12]等通过实验和数值模拟计算,揭示了煤储层条件和水力压裂参数对压裂裂缝扩展的影响。地应力是影响煤层气开发的重要地质因素之一,控制着煤储层渗透性和压裂裂缝的形态和扩展方向[13-16]。胡秋嘉等[13]研究了煤体结构、地应力以及力学参数对煤层气压裂效果的影响。MENG Zhaoping[14]系统研究了沁水盆地南部煤储层地应力和压力分布特征,建立了煤储层渗透性与地应力之间相关关系和模型,揭示了地应力对煤储层渗透性的影响机理。李树刚等[15]研究了不同地应力差条件下,煤层水力压裂裂缝的扩展规律,发现地应力差越大,压裂裂缝的形态越单一,主裂缝延伸范围更大且方向性更显著。贾文超等[16]研究了水平地应力比对煤岩压裂裂缝形态及扩展的影响,发现随着水平应力比的逐渐增大,煤体破坏形式从拉伸破坏为主逐渐变成压剪破坏为主,形成的裂缝由方向发散向条带状转变。这些为煤储层水力压裂及其有利区评价奠定了基础和条件。尽管水力压裂是于1947年开始试验并于1949年开始成功应用的一种成熟技术,但是已往的应用多是在砂岩等一些脆性岩石中,近些年该技术大面积应用于塑性较强的煤储层压裂改造中,取得了好的应用效果[1-2]。煤储层水力压裂中裂缝的扩展其实质主要是脆性张破坏,采用格里菲斯(Griffith)强度理论能够较好地描述其破坏机制。格里菲斯(Griffith)于1920年研究认为破坏是从微小裂纹处开始发生的,并提出了一套现今称为格里菲斯强度理论的学说[17-18]。但从目前的研究状况看,由于煤层气井地应力和水力压裂监测资料相对较少,针对煤储层条件开展煤储层水力压裂有利区评价研究还相对薄弱,因此有必要对煤储层水力压裂条件及其可改造性进行深入研究,为煤层气开发提供理论依据。笔者通过对沁水盆地西南部3号煤储层42个水力压裂试验数据统计,系统分析了研究区煤储层地应力分布规律,采用378口水力压裂井资料,基于格里菲斯(Griffith)强度理论计算了研究区煤储层单轴抗拉强度,建立了煤储层破裂压力与最小水平主应力和抗拉强度之间关系和模型,揭示了研究区煤储层可压裂性特征,对煤储层水力压裂有利区进行了评价,为煤层气开发工程设计和压裂改造提供了理论依据。
研究区位于沁水盆地西南部安泽—马必东—郑庄区块。地处山西省东南部,横跨临汾、晋城2市。区内大部分地区为山区,地势东高西低,海拔最高约1 500 m,最低约500 m,相对高差一般600~800 m。区内地势复杂,多为丘陵和山地。研究区自晚古生代以来的地层发育比较连续,其中奥陶系主要出露于东南部,石炭系和二叠系占据了区块主体,三叠系发育不全,出露仅限于盆地中部,第四系分布比较局限,散见于现代沟谷与山间河谷中。本区含煤地层为晚古生代石炭—二叠系地层,为海陆交互相含煤岩系。主要含煤层地层为二叠系下统山西组3号煤层和石炭系上统太原组15号煤层,其中山西组3号煤层位于山西组的下部,全区稳定发育的中厚-厚煤层,3号煤层厚度2.4~7.5 m,一般5~6 m,为本区主要目标层。
图1 研究区3号煤层构造
Fig.1 Structural Map of No.3 coal seam in study area
研究区整体为NNE向展布的沁水盆地复向斜构造的西翼,研究区北部(安泽—马必东区块)地层西高东低,整体呈向东倾的斜坡构造,在斜坡背景上局部发育背、向斜构造。区内地层整体较平坦、倾角较小,一般6°~10°,局部地层变陡、倾角大于10°。研究区南部(郑庄区块)总体构造形态为一个向西北倾的斜坡,区内地层产状宽阔平缓,地层倾角一般3°~7°,平均4°左右。区内次级褶曲较为发育,褶皱走向多为NE向、NNE向(图1)。受构造控制,研究区北部和中部3号煤层西浅东深,埋深范围为400~1 550 m。研究区南部煤层埋藏深度一般在500~1 200 m。
通过安泽—马必东—郑庄区块3号煤储层42个微破裂地应力测试资料统计表明(表1):研究区二叠系山西组3号煤层埋深范围为521.60~1 421.15 m内,煤层破裂压力11.07~31.38 MPa,平均为19.66 MPa,破裂压力梯度为1.59~2.96 MPa/100 m,平均为2.20 MPa/100 m;闭合压力10.51~29.09 MPa,平均为18.61 MPa;闭合压力梯度为1.44~2.85 MPa/100 m,平均为2.09 MPa/100 m。煤储层压力3.59~12.63 MPa,平均为7.36 MPa;煤储层压力梯度为0.48~1.18 MPa/100 m,平均为0.81 MPa/100 m,煤抗拉强度为0.09~1.32 MPa,平均为0.61 MPa。
表1 研究区3号煤储层水力压裂试验参数统计
Table 1 Statistical table of hydraulic fracturing test parameters of No.3 coal reservoir of in study area
测试参数安泽-马必东-郑庄樊庄-寺河区沁南东-夏店煤层埋藏深度/m(521.60~1 421.15)/916.92(334.90~1 122.30)/590.85(438.28~886.30)/601.15破裂压力/MPa(11.07~31.38)/19.66(6.44~27.74)/12.21(9.73~21.46)/13.82破裂压力梯度/(MPa·(100 m)-1)(1.59~2.96)/2.20(1.49~2.96)/2.01(1.72~2.86)/2.27闭合压力/MPa(10.51~29.09)/18.61(3.30~26.40)/10.51(8.00~20.76)/12.14闭合压力梯度/(MPa·(100 m)-1)(1.44~2.85)/2.09(0.99~2.85)/1.70(1.48~2.45)/1.99煤储层压力/MPa(3.59~12.63)/7.36(1.34~10.60)/4.41(0.86~5.96)/3.09煤储层压力梯度/(MPa·(100 m)-1)(0.48~1.18)/0.81(0.28~1.08)/0.71(0.11~1.06)/0.49煤抗拉强度/MPa(0.09~1.32)/0.61(0.09~0.93)/0.48(0.69~0.77)/0.73
注:表中(最小~最大)/平均。
与研究区南部的樊庄-寺河区相比,研究区3号煤储层破裂压力、破裂压力梯度、闭合压力、闭合压力梯度、煤储层压力、煤储层压力梯度和煤抗拉强度均要高。与研究区东部的沁南东-夏店区块相比,研究区3号煤储层的闭合压力梯度和煤储层压力梯度相对要高(表1)。
根据地面垂直钻孔水力压裂地应力测试原理可知:闭合压力即为最小水平主应力σhmin,即
σhmin=Pc
(1)
最大水平主应力σhmax为
σhmax=3Pc-Pf-P0+σT
(2)
式中,σT为煤或岩石的抗拉强度,MPa;Pc为闭合压力,MPa;Pf为破裂压力,MPa;P0为煤储层压力,MPa。
垂直主应力σv可根据上覆岩石的重力计算:
σv=γh
(3)
式中,γ为岩石容重,kN/m3;h为上覆岩体的厚度(或埋藏深度),m。
根据研究区42个3号煤层微破裂地应力测试资料统计表明,安泽—马必东—郑庄区块3号煤层最大水平主应力14.67~45.05 MPa,平均为29.31 MPa,最大水平主应力梯度为2.00~4.84 MPa/100 m,平均为3.27 MPa/100 m;最小水平主应力10.51~29.09 MPa,平均为18.61 MPa;最小水平主应力梯度为1.44~2.85 MPa/100 m,平均为2.09 MPa/100 m。
资料分析表明,本区煤储层应力和压力均随深度的增加呈线性增大的规律(图2)。
图2 研究区3号煤储层应力、压力与埋深的关系
Fig.2 Relationship between stress and pressure of No.3 coal reservoir and burial depth in study area
(1)最小水平主应力与闭合压力相同,即
σhmin=0.02h
(4)
式中,h为煤层埋藏深度,m;统计数N为42;相关系数R2为0.47。
(2)最大水平主应力为
σhmax=0.031 5h
(5)
式中,统计数N为40;相关系数R2为0.36。
(3)垂直应力σv按E T Brown和Hock(1978)给出的关系估算(图2):
σv=0.027h
(6)
(4)随着煤层埋藏深度的增加,煤储层压力也增高,其关系为
P0=0.008h
(7)
式中,P0为煤储层压力,MPa;统计数N为42;相关系数R2为0.47。
研究区内2个水平主应力分量不相等,一大一小,且具有明显的方向性。2个水平主应力σhmax和σhmin之比(σhmax/σhmin)在1.28~1.79,平均为1.57。最大水平主应力σhmax与垂直应力σv之比为0.75~1.83,平均为1.24。
当岩石由于变形过大或丧失对外力的抵抗能力时就称为破坏。破坏时的应力称为破坏应力或强度。对于理想塑性材料,当材料产生无限制的塑性流动时就称为破坏。显然,理想塑性材料没有相继屈服阶段,屈服就意味着破坏。只不过屈服与破坏的变形不同而已。对于应变硬化材料,相继屈服或加载应力达到一定程度后,屈服应力不再增加,材料产生无限制的塑性变形,这时称为破坏。
根据煤岩力学性质的差异和受力条件的不同,将其破坏形式分为脆性张破坏、剪切破坏和塑性破坏3种类型。在围压较小、温度较低或/和岩性坚硬的情况下,多呈脆性张破坏;在剪应力条件下或在三轴不等压条件下多呈剪切破坏;而在围压较高、温度较高或/和岩性较软的情况下,多呈塑性破坏。
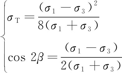
按照格里菲斯强度理论,岩石在平面应力状态下的破裂条件[17-20]为
(1)当(σ1+3σ3)>0时,破裂准则为
(σ3-σ1)2=8(σ3+σ1)σT
(8)
式中,σ1为最大水平主应力;σ3为最小水平主应力。
即

(9)
(2)当(σ1+3σ3)≤0时,破裂准则为
![]()
(10)
其中,β为椭圆裂缝长轴与主压应力轴σ1之间的夹角,破裂角θ=β。
若发生新的破裂,新生裂缝方向应指向椭圆裂痕边界的法线方向。用ψ表示新裂缝与原裂缝长轴之间夹角(图3),据上述破裂准则(9)与(10)可分别得到
ψ=-2β
(11)
ψ=0
(12)
式(11)说明新生裂缝与原椭圆裂缝长轴之间夹角为2β,表现为压应力条件下的拉断破坏(其条件为:(σ1+3σ3)>0),负号表示新生裂缝方向与主压应力轴顺时针转β角的方向上(图3),这类张裂隙的形成机制为压致拉裂。当(σ1+3σ3)≤0时,式(12)说明新裂缝沿原椭圆裂缝延伸,也是图3的一种特殊情况。
图3 椭圆裂缝端部开始破裂扩展方向
Fig.3 Direction of fracture propagation at the end of an elliptical fracture
格里菲斯破裂准则从微观机理出发,经过细密严格的推导得出,具有较强的理论基础,并成为断裂力学的经典理论。但是格里菲斯以张性破裂为前提,实际上是一种等效的最大张应力理论,适合于对张性破裂进行判断。
根据研究区378口煤层气井水力压裂资料,计算了研究区煤储层地应力分布。在此基础上,根据研究区最小水平应力和最大水平主应力的大小,按照格里菲斯(Griffith)强度理论式(8)计算了研究区煤储层单轴抗拉强度值(图4)。
计算结果表明,安泽-马必东-郑庄区块3号煤储层单轴抗拉强度为0.15~1.10 MPa,其平面上分布表现为:研究区东北部(即安泽区块的东北部)和南部的西北和东南部(即马必东区块的西北和西南部以及郑庄区块西北和东南部)煤储层单轴抗拉强度较大(一般>0.5 MPa),其他区域相对较低(一般为0.15~0.50 MPa)(图4)。
水力压裂裂缝监测表明,研究区现今地应力继承了喜马拉雅末期NEE—SWW向挤压构造应力场,主要以NEE—SWW主压应力方向为特征。研究区椭圆裂缝长轴与主压应力轴(σ1)之间的夹角(β)为40.93°~43.25°,平均为41.69°。
安泽—马必东—郑庄区块3号煤储层力学试验结果表明,煤的密度为1.40~1.59 g/cm3,平均为1.47 g/cm3;煤的干燥抗压强度为2.51~29.06 MPa,平均为13.58 MPa;饱和抗压强度1.46~25.09 MPa,平均7.62 MPa;煤的软化系数0.22~0.86,平均为0.57;煤的抗拉强度0.09~1.32 MPa,平均为0.61 MPa;煤的弹性模量0.10~3.10 GPa,平均为1.15 GPa;煤的泊松比0.26~0.35,平均为0.32,计算结果与其试验结果相吻合。
研究区3号煤储层单轴抗拉强度为0.15~1.10 MPa,根据单轴抗拉强度值将研究区煤储层可压裂性划分为4类,即单轴抗拉强度值0.15~0.30 MPa,为低抗拉强度区(Ⅰ);单轴抗拉强度值0.30~0.50 MPa,为较低抗拉强度区(Ⅱ);单轴抗拉强度值0.50~0.70 MPa,为较高抗拉强度区(Ⅲ);单轴抗拉强度值大于0.70 MPa,为高抗拉强度区(Ⅳ)。
在平面应力状态下研究区煤储层单轴抗拉强度分区如图4所示。
图4 平面应力状态下煤储层抗拉强度分布
Fig.4 Distribution of tensile strength of coal reservoir under plane stress
对于较高抗拉强度区和高抗拉强度区(Ⅲ和Ⅳ),煤储层抗拉强度值大,煤层气井水力压裂改造中起裂压力高,难以进行压裂改造。
对于低抗拉强度区和较低抗拉强度区(Ⅰ和Ⅱ),煤储层抗拉强度值小,煤层气井水力压裂改造中起裂压力小,易于进行压裂改造。
煤储层水力压裂时,设最大、最小水平主应力分别为σhmax和σhmin(即σ1=σhmax,σ3=σhmin),煤岩抗张强度为T,根据式(2),煤储层破裂压力Pf存在下述关系
Pf=3σhmin-σhmax+T-P0
(13)
由式(13)可以看出,煤储层最大水平主应力和最小水平主应力、煤储层压力和煤的抗拉强度控制煤储层破裂压力的大小,其中煤储层破裂压力与最小水平主应力和煤的抗拉强度之间呈正相关关系,而与最大水平主应力和煤储层压力之间呈负相关关系,且主要受最小水平主应力和煤的抗拉强度所控制。
统计表明,煤储层水力压裂破裂压力与煤储层最小水平主应力呈正相关关系(图5),随着最小水平主应力的增大,煤储层水力压裂破裂压力增高,其关系为
Pf=aσhmin+b
(14)
其中,a和b与区块相关的常数,见表2。因此,在最小水平应力较低的煤储层中,压裂裂缝更容易发育。
图5 破裂压力与最小水平主应力之间关系
Fig.5 Relationship between fracture pressure and minimum horizontal principal stress
表2 最小水平主应力影响系数
Table 2 Influence coefficient of minimum horizontal principal stress
区块统计点数ab相关系数R2郑庄1531.542 4-4.303 90.84马必391.809 4-9.263 11.00安泽1861.697 0-7.476 30.89
当最大水平主应力与最小水平主应力差异很大时,压裂将形成沿最大水平主应力方向的窄长裂缝,即水力压裂将产生沿着垂直于最小主应力方向延伸的裂缝。当最大与最小水平主应力差异很小时,压裂将形成复杂的、方向性较差的裂缝[1]。
煤储层的抗拉强度直接决定了煤层气井水力压裂改造的难易程度,反映在破裂压力的大小明显不同。统计表明,水力压裂破裂压力与煤的抗拉强度之间呈正相关关系,随着煤的抗拉强度的增大,煤储层水力压裂破裂压力增高(图6),其关系为
Pf=cσt+d
(15)
式中,σt为煤的抗拉强度,MPa;c和d为与区块相关的常数,见表3。
图6 破裂压力与煤的抗拉强度之间关系
Fig.6 Relationship between fracture pressure and tensile strength of coal
表3 煤的抗拉强度影响系数
Table 3 Influence coefficient of tensile strength of coal
区块统计点数cd相关系数R2郑庄15340.3274.207 70.69马必3949.7226.492 20.97 安泽18646.0984.649 40.77
煤的抗拉强度可以一定程度上体现煤体结构特征,煤体越软,抗拉强度越低,尤其是构造变形较强的煤,其抗拉强度普遍较低,但强构造变形煤其可压裂性也较差。因此,如何区分软煤和抗拉强度较小的硬煤是在后续的研究中需要考虑的问题。
由于煤储层强度低,特别是抗拉强度低使得煤岩容易开裂;由于泊松比高使得地层水平应力增大导致地层难以开裂。煤岩的低弹性模量和高泊松比将导致裂缝长度减小、宽度增大。根据兰姆方程,在岩石中形成水力裂缝的宽度与弹性模量成反比。由于宽度增加,在相同的施工排量下,裂缝长度增加将受到限制,因此,煤层气井压裂施工排量远远高于常规砂岩气井,常常达到8 m3/min以上排量。
(1)安泽—马必东—郑庄区块3号煤层最大水平主应力14.67~45.05 MPa,平均为29.31 MPa,最大水平主应力梯度为2.00~4.84 MPa/100 m,平均为3.27 MPa/100 m;最小水平主应力10.51~29.09 MPa,平均为18.61 MPa;最小水平主应力梯度为1.44~2.85 MPa/100 m,平均为2.09 MPa/100 m。本区煤储层应力和压力均随深度的增加呈线性增大的规律。
(2)煤储层水力压裂中裂缝的扩展其实质主要是脆性张破坏,采用格里菲斯(Griffith)强度理论能够较好地描述其破坏机制。基于格里菲斯(Griffith)强度理论计算了研究区3号煤储层单轴抗拉强度为0.15~1.10 MPa,其平面上分布表现为:安泽区块的东部、马必东区块的西北和西南部、郑庄区块西北和东南煤储层单轴抗拉强度较大,其他区域相对较低。椭圆裂缝长轴与主压应力轴σ1之间的夹角β为40.93°~43.25°,平均为41.69°。
(3)煤储层最大水平主应力和最小水平主应力、煤储层压力和煤的抗拉强度控制煤储层破裂压力的大小,其中煤储层破裂压力与最小水平主应力和煤的抗拉强度之间呈正相关关系,而与最大水平主应力和煤储层压力之间呈负相关关系,且主要受控于最小水平主应力和煤的抗拉强度。
(4)根据单轴抗拉强度值的大小对煤储层可压裂性划分为4类,对于较高抗拉强度区和高抗拉强度区(Ⅲ和Ⅳ),煤储层抗拉强度值大,煤层气井水力压裂改造中起裂压力高,难以进行压裂改造。对于低抗拉强度区和较低抗拉强度区(Ⅰ和Ⅱ),煤储层抗拉强度值小,煤层气井水力压裂改造中起裂压力小,易于进行压裂改造。
[1] 张金才,尹尚先.页岩油气与煤层气开发的岩石力学与压裂关键技术[J].煤炭学报,2014,39(8):1691-1699.
ZHANG Jincai,YIN Shangxian.Some technologies of rock mechanics applications and hydraulic fracturing in shale oil,shale gas and coalbed mathane[J].Journal of China Coal Society,2014,39(8):1691-1699.
[2] 孟召平,刘世民.煤煤矿区煤层气开发地质与工程[M].北京:科学出版社,2018.
[3] 陈杨,姚艳斌,崔金榜,等.郑庄区块煤储层水力压裂裂缝扩展地质因素分析[J].煤炭科学技术,2014,42(7):98-102.
CHEN Yang,YAO Yanbin,CUI Jinbang,et al.Analysis on geological control factors of hydraulic fracture extension of coal reservoirs in Zhengzhuang Block[J].Coal Science and Technology,2014,42(7):98-102.
[4] LIU Yulong,XU Hao,TANG Dazhen,et al.The impact of the coal macrolithotype on reservoir productivity,hydraulic fracture initiation and propagation[J].Fuel,2019,239(1):471-483.
[5] 许露露,崔金榜,黄赛鹏,等.煤层气储层水力压裂裂缝扩展模型分析及应用[J].煤炭学报,2014,39(10):2068-2074.
XU Lulu,CUI Jinbang,HUANG Saipeng,et al.Analysis and application of fracture propagated model by hydraulic fracturing in coal-bed methane reservoir[J].Journal of China Coal Society,2014,39(10):2068-2074.
[6] 贾奇锋,倪小明,赵永超,等.不同煤体结构煤的水力压裂裂缝延伸规律[J].煤田地质与勘探,2019,47(2):51-57.
JIA Qifeng,NI Xiaoming,ZHAO Yongchao,et al.Fracture extension law of hydraulic fracture in coal with different structure[J].Coal Geology and Exxploration,2019,47(2):51-57.
[7] 严成增,郑宏,孙冠华,等.基于FDEM-Flow研究地应力对水力压裂的影响[J].岩土力学,2016,37(1):237-246.
YAN Chengzeng,ZHENG Hong,SUN Guanhua,et al.Effect of in-situ stress on hydraulic fracturing based on FDEM-Flow[J].Rock and Soil Mechanics,2016,37(1):237-246.
[8] 马耕,张帆,刘晓,等.裂缝性储层中水力裂缝扩展规律的试验研究[J].采矿与安全工程学报,2017,34(5):993-999.
MA Geng,ZHANG Fan,LIU Xiao,et al.Experimental study on hydraulic fracture propagation in fractured reservoir[J].Journal of Mining and Safety Engineering,2017,34(5):993-999.
[9] TAN Peng,JIN Yan,HAN Ke,et al.Vertical propagation behavior of hydraulic fractures in coal measure strata based on true triaxial experiment[J].Journal of Petroleum Science and Engineering,2017,158:398-407.
[10] JIANG Tingting,ZHANG Jianhua,WU Hao.Experimental and numerical study on hydraulic fracture propagation in coalbed methane reservoir[J].Journal of Natural Gas Science and Engineering,2016,35:455-467.
[11] ZHOU Desheng,ZHENG Peng,HE Pei,et al.Hydraulic fracture propagation direction during volume fracturing in unconventional reservoirs[J].Journal of Petroleum Science and Engineering,2016,141:82-89.
[12] CHONG Hyun Ahn,ROBERT Dilmore,JOHN Yilin Wang.Development of innovative and efficient hydraulic fracturing numerical simulation model and parametric studies in unconventional naturally fractured reservoirs[J].Journal of Unconventional Oil and Gas Resources,2014,8:25-45.
[13] 胡秋嘉,李梦溪,乔茂坡,等.沁水盆地南部高阶煤煤层气井压裂效果关键地质因素分析[J].煤炭学报,2017,42(6):1506-1516.
HU Qiujia,LI Mengxi,QIAO Maopo,et al.Analysis of key geologic factors of fracturing effect of CBM wells for high-rank coal in Southern Qinshui Basin[J].Journal of China Coal Society,2017,42(6):1506-1516.
[14] MENG Zhaoping,ZHANG Jincai,WANG Rui.In-situ stress,pore pressure,and stress-dependent permeability in the Southern Qinshui Basin[J].International Journal of Rock Mechanics & Mining Sciences,2011,48(1):122-131.
[15] 李树刚,马瑞峰,许满贵,等.地应力差对煤层水力压裂的影响[J].煤矿安全,2015,46(3):140-144.
LI Shugang,MA Ruifeng,XU Manguan,et al.Influence of ground stress deviation on coal seam hydraulic fracturing[J].Safety in Coal Mines,2015,46(3):140-144.
[16] 贾文超,张明杰,梁锡明,等.地应力与孔隙压力对定向水力压裂效果影响研究[J].煤炭科学技术,2018,46(12):151-157.
JIA Wenchao,ZHANG Mingjie,LIANG Ximing,et al.Study on geostress and pore pressure affected to directional hydraulic fracturing effect[J].Coal Science and Technology,2018,46(12):151-157.
[17] 肖树芳,杨淑碧.岩体力学[M].北京:地质出版社,1987.
[18] WILLIAMS J G.The griffith medal lecture:The fracture mechanics of soft solids[J].Engineering Fracture Mechanics,2015,149:192-198.
[19] GRIFFITH A A.The phenomena of rupture and flow in solids[J].Philosophical Transactions of the Royal Society of London,1921,221:163-198.
[20] SANDHU Ranbir S,HUANG Shang W.Application of Griffith’s theory to analysis of progressive fracture[J].International Journal of Fracture,1975,11(1):107-121.