采用HYDRUS模拟采煤沉陷地裂缝区土壤水盐运移规律

毕银丽1,2,伍 越1,张 健1,彭苏萍1

(1.中国矿业大学(北京) 煤炭资源与安全开采国家重点实验室,北京 100083; 2.西安科技大学 地质与环境学院,陕西 西安 710054)

摘 要:煤炭的开采带来经济快速发展的同时也会带来一系列的生态环境问题,其中采煤沉陷产生的地裂缝是最直观的一种,其分布广、对土地破坏性大、对周边植物生长影响严重。西部矿井水矿化度较高,极易产生次生盐碱化,裂缝区的水盐运移对于该区域植物生长具有潜在的影响。为探究采煤沉陷地裂缝对土壤中水盐运移规律的影响,通过室内模拟试验,研究不同土壤盐浓度条件下,裂缝区土壤水盐分布特征,并运用数值模拟方法,建立采煤地裂缝土壤水盐运移模型,采用HYDRUS 2D软件进行模拟,将模拟值与实测值对比,结果表明:HYDRUS模拟数值与实测值呈现出相同的规律,满足精度要求,说明HYDRUS能够较好的模拟裂缝区域内的水盐运移。在56 d的模拟试验中,裂缝区土壤含水量在前3周为快速下降期,4~5周为中速下降期,5周之后为稳定期。越靠近地裂缝处土壤含水量下降越快,对于台阶为20 cm的地裂缝,其水盐含量影响范围约为水平距离裂缝45 cm处,地裂缝区域内土壤盐分运移趋势与水分基本一致,遵循盐随水行的运移规律,裂缝区含盐量有向下迁移的趋势,具有减轻次生盐碱化发生的潜力。

关键词:采煤沉陷;地裂缝区;水盐运移;HYDRUS 2D

煤炭是我国重要的能源产业,推动着我国经济的快速发展。煤炭开采后采空区会出现不同程度的地面变形,形成地面裂缝和沉陷等,诱发滑坡等地质灾害,加速矿区土壤的水土流失和盐分聚集,严重影响该区植物生长,加剧了矿区生态修复难度[1]。开采沉陷地裂缝对水的破坏是限制西部矿区生态修复的主要原因之一,采煤沉陷会破坏土壤结构,裂缝发育致使土壤水分蒸发更快,加剧了土壤干旱,植物恢复生长更难。近年来,国内外专家对沉陷和裂缝区的土壤中水运移规律等进行了较多的研究,王晋丽等[2]通过对采煤地裂缝深度和覆岩导水裂隙带高度计算来研究采煤裂缝影响下土壤含水量的变化对农作物的影响。张延旭等[3]通过研究采煤裂缝区土壤水分的分布特征,采煤裂缝宽度、裂缝密度和土壤含水量的关系,认为采煤沉陷裂缝造成土壤含水量下降,沉陷区内地裂缝处和无裂缝区土壤含水量均小于未开采区,整体上不同区域土壤含水量由低到高依次为裂缝区、沉陷无裂缝区和未开采区。陈建平等[4]研究被塌陷裂缝破坏的非连续均质土壤水分扩散,在水平土柱中设置不同宽度的裂缝模拟塌陷裂缝的入渗,可知裂缝增大了土壤水分扩散程度且裂缝与土壤水分扩散率呈显著负相关,即随着裂缝的增大土壤水分的水平扩散率逐渐降低。

除了土壤含水量之外,土壤盐分运移也是裂缝区土壤性状的另一项重要指标,盐分累积会对生态产生影响。土壤盐分含量过高可引起植物生理性缺水,影响植物营养吸收[5],最终植物发育不良而导致减产或者死亡。另外,土壤盐分能引起植物氮素代谢过程中产生去油毒性的中间产物促使作物新陈代谢过程减弱等机理性问题[6]。土壤盐分的运移都是跟随水分的运动而迁移,裂缝影响土壤水分的运移必然影响土壤盐分的分布规律,但相关问题目前鲜有文献报道,特别是针对煤矿区地裂缝的土壤水盐运移,目前国内仅有少量关于采煤损害地的盐分分布的研究,如张治国等[7]选择淮南矿区潘一矿煤矸石山为研究对象,研究煤矸石堆存过程中对周边土壤盐分的释放、迁移特征,土壤盐分含量均值在竖直方向上呈V 字型分布、水平方向上距离煤矸石山脚处1 m和2 m 处为轻度盐渍化水平,在竖直方向上0~20 cm 深度土壤盐分为轻度盐渍化水平。但对于采动裂缝区内的盐分运移规律研究较少,因而对沉陷裂缝区域内土壤水分蒸散与盐分运移的关系就成为了一个值得关注的问题。

笔者通过在室内模拟地裂缝试验,采用5TE传感器测定土壤含水量与电导率作为数据源,结合HYDRUS软件进行数值分析,研究裂缝区域内土壤水盐运移规律,为矿区的次生盐碱地生态修复奠定理论基础,具有现实指导意义。

1 材料与方法

1.1 采动裂缝模拟装置

地裂缝是矿区常见且危害巨大的地质灾害之一。在煤炭开采过程中,采空区上覆土壤垮落导致表面土壤受力不均,产生剪切与拉伸破坏,造成地裂缝发育,改变地表土壤物理结构。为了在控制无关环境变量条件下研究地裂缝周围土壤水盐运移规律,本研究采用室内模拟试验,利用本课题组自行设计的地裂缝模拟装置[8],该装置基本原理在于模拟土壤剪切拉伸破坏,产生类似于矿区裂缝物理形态结构的模拟地裂缝。该装置通过左侧PVC材质顶板架空尺寸为30 cm×60 cm×20 cm的空间,并在顶板上方填充土壤,当顶板被缓慢抽出时,上覆土壤自然垮落,产生模拟地裂缝。模拟装置由2 cm厚度PVC材质制成,其尺寸如图1所示。供试土壤为沙土,其基本理化性质为:田间持水量27.4%(质量含水量),密度1.54 g/cm3,土壤机械组成为81.6%沙粒、11.8%粉粒和6.6%黏粒。

图1 试验装置及监测点布设
Fig.1 Test device and monitoring point layout

1.2 试验布设

试验在中国矿业大学(北京)微生物复垦实验室温控玻璃室内进行。试验设2个处理:一组模拟含盐处理,即每1 kg土壤中添加2 g的Na2CO3:NaHCO3为1∶1 混合物作为实验组;另一组不加盐处理作为对照组。每个处理设置3个重复。水分与盐分测定采用EM50 数据采集器+5TE传感器(Decagon公司),如图1所示放置探头传感器,每个处理分别在-5,-25,-45 cm竖直深度土壤处,水平距离预期裂缝位置5,25,45,65 cm布设探头(本文中负号均代表土壤竖直方向上距离地表长度,其他均为水平方向上距离预期裂缝位置长度),每个处理12 个探头,总计72个。

1.3 试验管理与测定

试验自2018-09-11开始,2018-11-04结束,历时56 d。试验首先对土壤使用喷雾浇水,保证土壤含水均匀不引起地表土壤形变,使箱体水分缓慢渗透,直至土壤水分达到最大饱和持水量,放置2 d,等待水分自然平衡。之后对各组处理进行地裂缝模拟操作:拉出填充区内PVC板块,模拟裂缝产生。EM50 测量间隔时间为2 h,自动测量记录观测点的电导率及体积含水量,待实验结束后,将数据导出分析。

1.4 数值模拟验证

1.4.1 土壤水分运动基本方程

试验区土壤假设为均质并且在各个方向上性质相同,在考虑非饱和土壤水滞后效应与忽视根系吸水作用情况下,将主渗透系数方向设置为坐标轴方向,则土壤水分运动规律可以用二维饱和—非饱和水流模型进行模拟[9-11]。其数学模型为

(1)

式中,θ为土壤体积含水量,cm3/cm3;K(θ)为对应含水量θ时的土壤渗透系数,cm/d;ψ为土地水负压,cm;z为垂向坐标,cm,0点取在地面,向上为正;x为横向坐标;t为时间变量,d。

1.4.2 土壤溶质运移模型

土壤溶质运移模型采用对流弥散方程模拟离子运移[12],其数学模型为

(2)

式中,i,jxz轴坐标;c为液体中的溶质质量浓度,g/cm3;qi为土体中水的流速;Dij为水动力弥散系数;

1.4.3 土壤水分特征方程

水分特征方程采用由美国学者Van Genuchten教授于1980年提出的VG模型,其表达式为

(3)

(4)

式中,Ks为土壤饱和水导水率;θe为土壤相对饱和度;θr为土壤剩余体积含水率;θs为土壤饱和体积含水率;an为由试验测定的经验函数;m=1-1/n;h为负压负压水头,cm;l为经验拟合参数,通常取0.5[13]

1.5 模型的定解条件

1.5.1 初始条件

土壤水分运动方程的初始条件:

θ(x,z,t)=θ0(x,z) t=0

(5)

式中,θ0(xz)为土壤初始含水量分布,根据初始实测值设置。

土壤溶质运移方程的初始条件:

C(z,0)=C0(z) 0≤zZ

(6)

式中,C0为土壤初始含盐量,g/kg;Z为土壤空间坐标,取向上为正。

1.5.2 边界条件

水分运移边界条件:

如图2所示,计算该区域的边界条件。假定模拟区域内土壤质地均一,即具有相同的物理化学性质。其中ABDC为有机玻璃,水平通量为0。BC为自由出流边界,为第1类边界条件。AGED为大气边界(本实验主要受地面蒸发强度影响),为第2类边界条件。GFEFx轴水平夹角为αβ,分别计算水平与竖直变化量。

图2 计算模型
Fig.2 Computational model diagram

边界条件:

DC边界

(7)

边界

(8)

ED边界

(9)

GFEF边界

(10)

式中,ux为外向单位法向量在x方向上的分量;uz为外向单位法向量在z方向上的分量;E(t)为潜在蒸发率,cm/d;D为水动力弥散系数。

1.5.3 盐分运移边界条件

土壤盐分运动的上边界视为通量边界,下边界为浓度边界,为实测下边界电导率值。

上边界

(11)

C(Z,t)=Cb(t),下边界

(12)

式中,qs为地表水分通量;Cs为上边界电导率值;Cb为下边界电导率值。

2 结果与分析

2.1 采用HYDRUS模型的参数确定

2.1.1 区域设置

本次模拟采用二维模拟,设置模拟区域为X=120 cm,Z=70 cm的长方形区域,左侧裂缝宽度4 cm,深度23 cm,如图2所示模型。其中Z=70 cm平面处表示为土层顶部。

2.1.2 时间设置

本次模拟时间段为2018年,模拟56 d的土层内的土壤含水率。时间单位为d,初始时间为0.01,最小时间步长为0.001。

2.1.3 网格结点设置

本次模拟研究采用不等间距网格对模拟区域进行离散化,总结点数为 1 027个,共生成网格 1 942 个。

2.1.4 水力模型参数设置

水力模型采用Van Genuchten模型,并运用Rosetta程序推求了模型参数[14-15],具体参数见表1。

表1 土壤水力特性参数
Table 1 Soil hydraulic characteristics

参数θrθsanKsl对照组0.041 80.376 40.041 22.228 2224.160.5实验组0.042 00.372 60.041 12.038 6163.230.5

2.1.5 模型精度检验

为确保模拟的精度,需对模型进行检验,一般采用均方根误差(RMSE)和相对误差(RE)来评价[16]。RMSE反映了模拟值与实测值绝对误差的平均程度,RE反映模拟值与实测值总量之间的相对误差,其计算式为

(13)

(14)

式中,sioi分别为第i个样本的含水量和电导率的模拟值和实测值;N为样本数。

计算可得-45~-5 cm竖直土层土壤含水率及电导率模拟值与实测值的RMSE值(表2)。由表2可以看出,虽然在少数观测点上存在一定的差距,但总体上变化趋势基本一致。从土壤含水量模拟误差分析结果来看,误差变化范围较小,最大不超过5%,说明模拟值与实测值无明显差异。就整体而言,试验值与HYDRUS 模拟值的结果吻合效果较好,说明该模型能较好地模拟地裂缝条件下的水分运移。

表2 实测值与模拟值的RMSE
Table 2 Measured and simulated values worth RMSE

误差试验组5 cm25 cm45 cm对照组5 cm25 cm45 cmRMSE3.381.232.312.541.492.62RE/%-3.65-0.65-0.23-2.76-1.640.64

2.2 不同处理土壤含水量分布

不同处理土壤含水量分布状况如图3所示,不同处理的土壤含水率在整个试验周期内保持相同的变化趋势,含水量在前3周剧烈下降,之后开始趋于平缓。实验组的平均含水量降低约66%,对照组的平均含水率降低约69%,实验组含水量高于对照组,说明试验组的保水能力强于对照组,实验组在土壤表层形成盐壳,会削弱土壤水分蒸发,且试验组土壤内部更容易形成结晶,影响水分扩散,最终减弱土壤水分散失,与前人在非饱和土壤水分蒸发与含盐量呈负相关一致[17]。根据不同土层深度的含水率变化可知,土壤含水量随土壤深度的增加而增加,但是试验组与对照组在-5,-25,-45 cm处的含水量相差百分比分别为 5.52%,6.89%,15.42%,随土壤深度的增加,实验组的保水性越来越高于对照组。

图3 土壤含水量模拟与实测值对比
Fig.3 Comparison of simulated and measured soil water content

试验初期,对整体土壤含水量分布表现为:距离地表-25~0 cm处土壤含水量变化较为剧烈,-45~-25 cm处土壤含水量变化平缓。这是由于靠近表层土壤受到地表蒸发的影响大,导致土壤水分竖直变化幅度大。

由图3可以得出在约35 d时,各层土壤含水量每周变化均小于3%,土壤含水量变化不显著。说明土壤在无外部供水情况下,在5 周左右水分含量会达到一个稳定状态。在地表下-5,-25,-45 cm深处土壤含水量分别在第2,4,5周左右达到稳定状态,说明越靠近地表,土壤含水量会越早达到稳定。

2.3 地裂缝对土壤含水量的影响

试验56 d后,在水平距离裂缝5,25,45,65 cm处实验组与对照组的土壤含水率变化量相差分别为1.1%,-0.38%,0.8%,1.6%,在裂缝区域内,土壤含水率变化量在0~45 cm水平处下降速率高于水平距离裂缝65 cm处,由于土壤中含盐量不同,实验组与对照组的土壤含水量变化差异随距离的增大先减少后增加,呈现出V字型分布(图4)。主要是由于对照组距离裂缝5 cm处前期土壤水分运移速度快,横向弥散作用明显,导致水平距离裂缝25 cm处的含水量也加速下降,最终导致距离裂缝25 cm含水量低,而试验组在前期横向弥散作用比对照组弱[18],到后期5 cm处与25 cm处含水量溶度差较大,从而加速25 cm处土壤含水量运移速率,最终缩小了试验组与对照组距离裂缝25 cm处含水量差异,导致试验组与对照组含水量差呈现V字形分布。

图4 试验组与对照组含水量的变化量
Fig.4 Changes in water content in the test and control groups

水平距离裂缝25 cm处与45 cm处,土壤含水率模拟值与实测值吻合程度要比5 cm处与65 cm处要好,但是在前14 d,土壤的实测值要高于模拟值,后期逐渐一致,这可能是由于实测值采用的1周内的平均值,而土壤水分变化呈现出凹字型下降,导致实测平均值较高。

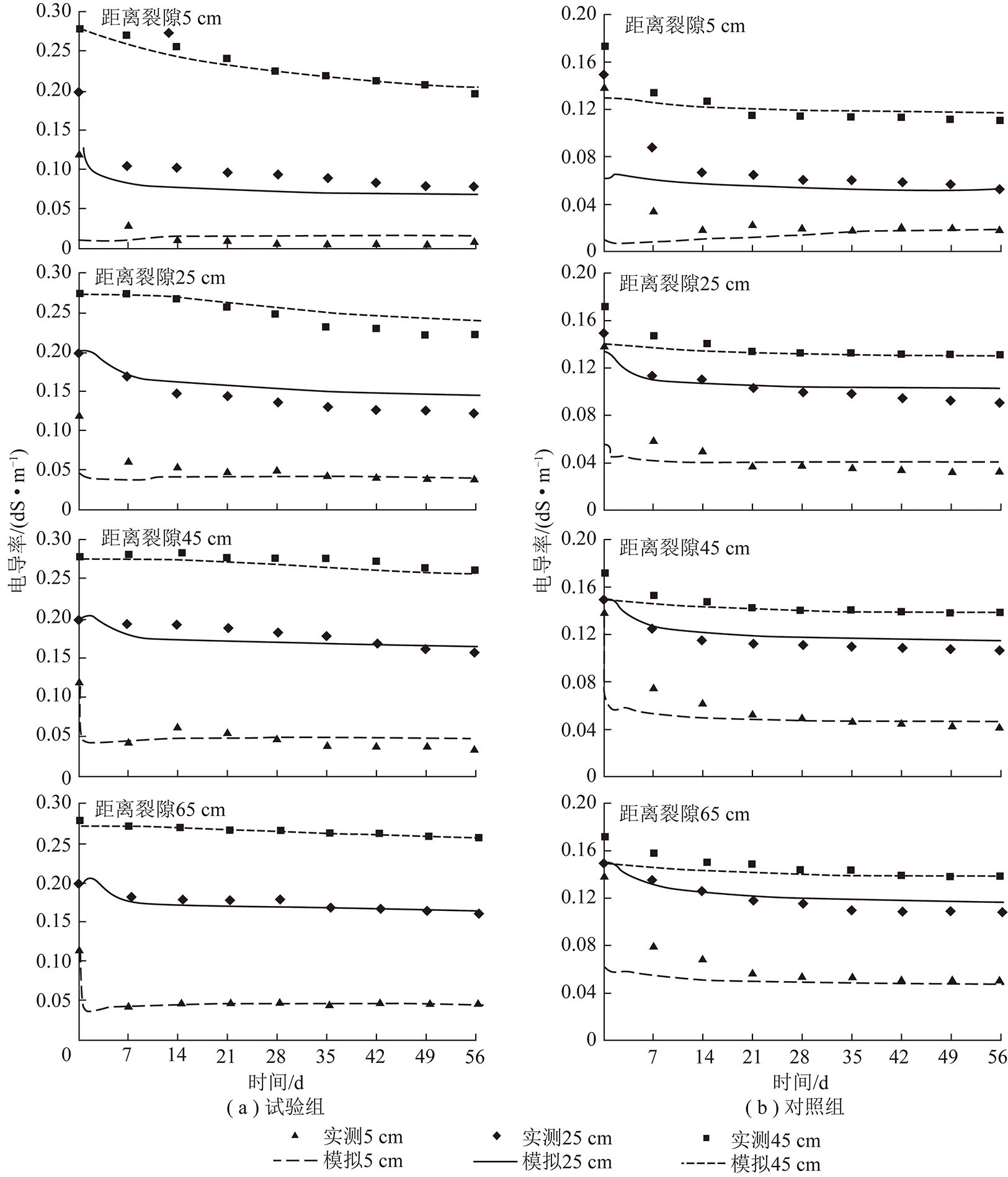
2.4 地裂缝对土壤盐分的影响

不同处理土壤的电导率分布状况如图5所示,土壤电导率与土壤含水量相似,呈现出0~-25 cm处电导率变化量较为剧烈,而-25~-45 cm处土壤含水量变化平缓,土壤盐分运移一般跟随土壤水分的运动而迁移。盐分在表层5 cm处运移速度非常剧烈,这是由于土壤盐分的运移较土壤水分运移比受土壤表面积的影响更为严重所致。

土壤盐分运移主要集中在前4周,前28 d土壤盐分运移基本达到稳定状态,之后土壤电导率运移量约在2%。土壤盐分比土壤水分更早接近稳定,这主要是由于前期土壤主要以入渗作用为主,导致土壤的盐分向下运移,在28 d左右土壤的运移方向发生改变,主要以蒸发为主,由于裂缝区域内土壤毛细管的连续性受到破坏,导致土壤水分与盐分运移受阻,进而导致土壤盐分处于提前进入稳定的状态。

试验56 d,在-5,-25,-45 cm层平均电导率分别为0.035,0.091,0.130 dS/m。在距离裂缝5,25,45,65 cm处,平均电导率为0.062,0.085,0.097,0.099 dS/m。总体来看,土壤盐分含量在竖直方向上随土壤深度的增加盐分含量下降速率减缓,在水平方向上,距离裂缝越远,土壤盐分含量下降速率逐渐减弱。这是由于盐分主要通过水动力弥散和对流而运移。但是地裂缝的产生,破坏了土壤原有的物理结构,减弱了土壤中毛细管现象发生,进而减轻盐分在土壤表面聚集的可能,且盐分有向下迁移的趋势,因此地裂缝区可减轻矿区土地次生盐渍化发生的潜力。

3 讨 论

笔者使用 HYDRUS-2D 软件模拟了地裂缝条件下土壤水盐分布情况,并将模拟结果与实测值进行了对比,得出HYDRUS-2D能很好的模拟裂缝区的水盐运移,为矿区采煤沉陷地的水盐管理和土壤盐渍化生态治理提供参考依据。

研究结果表明,地裂缝对土壤水分运移具有影响,地裂缝形成56 d后,土壤含水量呈现出越靠近裂缝,土壤水分散失越快,越靠近地表,土壤含水量散失越多的规律。地裂缝对-45 cm深度土壤含水量影响较大,这可能是由于裂缝导致地表开裂,使得深部土壤直接与大气接触造成了水分散失加速,这与马迎宾[19]等研究结果相近。在水平方向上,越远离裂缝,含水量变异越小,这与野外的裂缝周围含水量变化结果相一致[20],本研究中,裂缝对水平距离45 cm以外区域土壤水分影响不显著。地裂缝加快表层土壤含水量的散失,会影响植物生长。在矿区土地复垦工程中,应对裂缝及时进行填埋,避免裂缝导致土壤水分蒸发散失,引起周边植物因缺水而凋亡。

地裂缝区域内土壤盐分大致规律为在竖直方向上随土壤深度的增加,土壤盐分散失速率逐渐减慢,水平方向上越靠近裂缝,土壤盐分散失速率逐渐加强。地裂缝的产生,破坏原有的土壤物理组成,影响土壤中的毛细管运输,进而减轻盐分在土壤表面聚集,因此地裂缝能减轻矿区土地次生盐渍化发生。一定的盐溶度能有效地增加土壤保水性,试验组中增加一定的盐溶度,能够有效减低土壤水分蒸发。夏江宝等[21]通过测定分析各水位处理下不同土壤剖面的相对含水率、含盐量及土壤溶液绝对浓度等水盐参数,得出土壤相对含水率与盐分呈显著正相关,与本研究结果一致。

图5 土壤电导率模拟值与实测值对比
Fig.5 Comparison of simulated and measured soil electrical conductivity

4 结 论

(1)利用HYDRUS模型对采煤沉陷地裂缝区域内土壤水盐分布特征及土壤水盐运移时空变异规律进行模拟,验证模型能够较好地模拟水盐在地裂缝区内土壤的分布和随时间变化的趋势,模型具有较好的仿真度,可揭示地裂缝区域内土壤水盐运移规律。

(2)在历时56 d的土壤水盐运移的周期内,土壤含水量在前3周均出现明显下降,在水平距离地裂缝5 cm以内距离地表深45 cm的土壤含水量散失30%。对于台阶为20 cm处的地裂缝对周边水盐的影响范围在竖直裂缝方向约45 cm,且在未有其他水源进入的情况下,35 d达到稳定状态。

(3)土壤中盐分的分布情况与水分基本一致,盐分有向下迁移的趋势,地裂缝有减轻矿区土地次生盐渍化发生的潜力。

(4)本试验未比较不同台阶的地裂缝及不同盐分浓度梯度下水盐运移规律,仍有待后续进一步深入研究。

参考文献(References):

[1] 杜国强,陈秀琴,郄晨龙,等.半干旱矿区地裂缝对土壤水分和地表剪切强度的影响[J].生态与农村环境学报,2016,32(2):224-228.

DU Guoqiang,CHEN Xiuqin,QIE Chenlong,et al.Impacts of cracks on soil moisture and surface shear strength in semi-arid mining area[J].Journal of Ecology and Rural Environment,2016,32(2):224-228.

[2] 王晋丽,康建荣,胡晋山.采煤地裂缝对水土资源的影响研究[J].山西煤炭,2011,31(3):33-36.

WANG Jinli,KANG Jianrong,HU Jinshan.Study on the influence of coal mining ground fissure on water and soil resources[J].Coal of Shanxi,2011,31(3):33-36.

[3] 陈书琳.半干旱风沙区采煤后裂缝发育对土壤水分的影响[J].环境科学与技术,2015,38(3):11-14.

CHEN Shulin.Effect of crack development on soil moisture after coal mining in semi-arid aeolian sandy area[J].Environmental Science and Technology,2015,38(3):11-14.

[4] 陈建平,朱哲,吴丽.基于塌陷裂缝非连续均质的土壤水分扩散物理模拟[J].中国地质灾害与防治学报,2018,29(2):66-72.

CHEN Jianping,ZHU Zhe,WU Li.Physical simulation of soil water diffusion based on discontinuous homogeneity of collapse cracks[J].The Chinese Journal of Geological Hazard and Control,2018,29(2):66-72.

[5] 闫金铎,陈学刚,李江宏.乌鲁木齐城市表层土壤盐分特征分析[J].北华大学学报:自然科学版,2015,16(5):671-676.

YAN Jinzhe,CHEN Xuegang,LI Jianghong.Analysis of salinity characteristics of urban topsoil in Urumqi[J].Journal of Beihua University:Natural Science Edition,2015,16(5):671-676.

[6] 李建国,濮励杰,朱明,等.土壤盐渍化研究现状及未来研究热点[J].地理学报,2012,67(9):83-95.

LI Jianguo,PU Lijie,ZHU Ming,et al.Research status and future research hotspots of soil salinization[J].Acta Geographica Sinica,2012,67(9):83-95.

[7] 张治国,胡友彪,郑永红,等.煤矸石堆存对土壤盐分空间分布特征的影响及主要因子的研究[J].煤炭学报,2018,43(4):221-229.

ZHANG Zhiguo,HU Youbiao,ZHENG Yonghong,et al.Effects of coal gangue storage on spatial distribution of soil salinity and its main factors[J].Journal of China Coal Society,2018,43(4):221-229.

[8] BI Yinli,ZHANG Jian,SONG Ziheng,et al.Arbuscular mycorrhizal fungi alleviate root damage stress induced by simulated coal mining subsidence ground fissures[J].Science of The Total Environment,2019,652:398-405.

[9] WISSMEIER L,BARRY D A.Reactive transport in unsaturated soil:Comprehensive modeling of the dynamic spatial and temporal mass balance of water and chemical components[J].Science Direct Advances in Water Resources,2008,31:858-875.

[10] CREVOISIER D,POPOVA Z,MAILHOL J C,et al.Assessment and simulation of water and nitrogen transfer under furrow irrigation[J].Agricultural Water Management,2008,95(4):354-366.

[11] ROBERTS T,LAZAROVITCH N,WARRICK A W,et al.Modeling salt accumulation with subsurface drip irrigation using HYDRUS-2D[J].Soil Science Society of America Journal,2009,73(1):233-240.

[12] 李保国,胡克林,黄元仿.土壤溶质运移模型的研究及应用[J].土壤,2005,37(4):345-352.

LI Baoguo,HU Kelin,HUANG Yuanfang.Research and application of soil solute transport model[J].Soils,2005,37(4):345-352.

[13] 李亮,史海滨,贾锦凤,等.内蒙古河套灌区荒地水盐运移规律模拟[J].农业工程学报 2010,26(1):31-35.

LI Liang,SHI Haibin,JIA Jinfeng,et al.Simulation of barren water and salt transport in Hetao Irrigation District of Inner Mongolia[J].Journal of Agricultural Engineering,2010,26(1):31-35.

[14] 高龙,田富强,倪广恒,等.膜下滴管棉田土壤水盐分布特征及灌溉制度试验研究[J].水利学报,2010,41(12):1483-1490.

GAO Long,TIAN Fuqiang,NI Guangheng,et al.Experimental study on soil water and salt distribution characteristics and irrigation regime of cotton field with dropper under film[J].Journal of Hydraulic Engineering,2010,41(12):1483-1490.

[15] 孙景生,康绍忠,崔文军.不同沟灌条件下土壤入渗参数的估算[J].灌溉排水学报,2005,24(4):46-49.

SUN Jingsheng,KANG Shaozhong,CUI Wenjun.Estimation of soil infiltration parameters under different furrow irrigation conditions[J].Journal of Irrigation and Drainage,2005,24(4):46-49.

[16] 郑爱民,乔玲.台兰河灌区盐碱地成因分析及规划治理对策[J].水利规划与设计,2010(2):21-22.

ZHENG Aimin,QIAO Ling.Analysis on the causes of saline-alkaline land in Tailan River Irrigation District and its control measures[J].Water Resources Planning and Design,2010(2):21-22.

[17] 刘艳婷.盐碱土蒸发试验及模型研究[D].西安:西安理工大学,2019.

LIU Yanting.Test and model research of saline-alkali soil evaporation[D].Xi’an:Xi’an University of Technology,2019.

[18] 余根坚,黄介生,高占义.基于HYDRUS模型不同灌水模式下土壤水盐运移模拟[J].水利学报,2013,44(7):74-82.

YU Genjian,HUANG Jiesheng,GAO Zhanyi.Simulation of soil water and salt transport under different irrigation modes based on HYDRUS model[J].Journal of Hydraulic Engineering,2013,44(7):74-82.

[19] 马迎宾,黄雅茹,王淮亮,等.采煤塌陷裂缝对降雨后坡面土壤水分的影响[J].土壤学报,2014,51(3):497-504.

MA Yingbin,HUANG Yaru,WANG Huailiang,et al.Effects of coal mining subsidence cracks on slope soil moisture after rainfall[J].Acta Sinica,2014,51(3):497-504.

[20] 许传阳.煤矿沉陷区沉陷裂缝对土壤特性和作物生长的影响[J].中国生态农业学报,2015,23(5):597-604.

XU Chuanyang.Effects of subsidence cracks in coal mine subsidence area on soil characteristics and crop growth[J].Chinese Journal of Eco-Agriculture,2015,23(5):597-604.

[21] 夏江宝,赵西梅,赵自国,等.不同潜水埋深下土壤水盐运移特征及其交互效应[J].农业工程学报,2015,31(15):93-100.

XIA Jiangbao,ZHAO Ximei,ZHAO Ziguo,et al.Characteristics of soil water and salt transport under different burial depths and their interaction effects[J].Journal of Agricultural Engineering,2015,31(15):93-100.

Simulation of soil water and salt movement in mining ground fissure zone based on HYDRUS

BI Yinli1,2,WU Yue1,ZHANG Jian1,PENG Suping1

(1.State Key Laboratory of Coal Resources and Safe Mining,China University of Mining and Technology (Beijing),Beijing 100083,China; 2.College of Geology and Environment,Xian University of Science and Technology,Xian 710054,China)

Abstract:Coal mining brings rapid economic development and also results in a series of ecological and environmental problems.Among them,the ground fissures produced by coal mining subsidence are the most intuitive one.They are widely distributed,destructive to land,and impacting on the growth of surrounding plants.The impact is severe.The salinity of the western mine water is relatively high,and secondary salinization is easy to occur.The water and salt migration in the fracture zone has a potential impact on plant growth in the area.In order to study the effect of mining ground fissures on the water and salt transport in soil,this paper used simulated fissure experiments in the laboratory to study the artificial simulation of soil water and salt distribution in the ground fissure area under the different soil salt solubility conditions features.In addition,the numerical simulation software HYDRUS 2D was applied to establish the soil water and salt transport model under the condition of mining ground fissures.The simulation was carried out by using the simulation to compare the measured values with the simulated values.The research results show that HYDRUS simulation values and measured values show the same rules,which meet the accuracy requirements,indicating that HYDRUS can better simulate the water and salt migration in the fracture area.In the 56-day simulation test,the soil water content in the cracked area showed a rapid decline period in the first 3 weeks,a moderate-speed decline period in 4 to 5 weeks,and a stable period after 5 weeks.The closer to the ground fissure,the faster the soil water content decreases.The ground fissures can reduce the surrounding soil moisture content and accelerate the loss of soil water.For ground fissures with 20 cm steps,the impact range is about 45 cm away from the fissures.The soil salt movement trend in the ground fissure area is basically consistent with the water trend,following the law of salt moving with water movement.This research has certain reference value and scientific significance for the ecological management of coal mining subsidence areas.

Key words:mining subsidence;ground fissure;water and salt transport;HYDRUS 2D

移动阅读

毕银丽,伍越,张健,等.采用HYDRUS模拟采煤沉陷地裂缝区土壤水盐运移规律[J].煤炭学报,2020,45(1):360-367.doi:10.13225/j.cnki.jccs.YG19.1798

BI Yinli,WU Yue,ZHANG Jian,et al.Simulation of soil water and salt movement in mining ground fissure zone based on HYDRUS[J].Journal of China Coal Society,2020,45(1):360-367.doi:10.13225/j.cnki.jccs.YG19.1798

中图分类号:TD88

文献标志码:A

文章编号:0253-9993(2020)01-0360-08

收稿日期:2019-10-25

修回日期:2019-12-30

责任编辑:韩晋平

基金项目:国家自然科学基金资助项目(51974326);首都科技领军人才资助项目(218110006318021)

作者简介:毕银丽(1971—),女,陕西米脂人,教授,博士生导师。E-mail:ylbi88@126.com