张 帆,韩会杰
(中国矿业大学(北京) 机电与信息工程学院,北京 100083)
摘 要:针对煤矿井下采空区漏风现象导致瓦斯释放源难以定位或者定位不准问题,提出一种基于多源传感器融合的矿井瓦斯释放源定位算法。首先通过分析综放工作面采空区瓦斯分布规律,建立矿井采空区传感器观测模型与瓦斯释放源扩散模型,然后采用混合卡尔曼粒子滤波算法对采空区瓦斯释放源参数进行估计,并依据迭代运算得到估计参数的坐标位置,最后通过无线传感器目标源感知节点与簇头节点的数据融合,实现瓦斯释放源的精确定位。结果表明:与其他算法相比,混合卡尔曼粒子滤波算法在定位精度上具有明显的优势。该方法能有效解决因漏风现象导致的瓦斯释放源定位困难的问题,进而为采空区瓦斯突出预警及瓦斯抽采提供参考依据。
关键词:瓦斯;释放源定位;卡尔曼粒子滤波算法;无线传感器网络;数据融合
近年来,无线传感器网络(Wireless Sensor Networks,WSN)和多传感器信息融合(Multi-Sensor Information Fusion)技术已被广泛应用于交通监控、环境监测和目标跟踪等领域[1-3]。WSN作为一种集感知、计算和通信功能于一体的新型无线网络,在矿井监测与安全监控领域也发挥着重要作用[4-5]。目前,关于矿井采空区瓦斯突出预警的研究,国内外众多学者已取得很多研究成果[6-9]。然而,关于矿井瓦斯释放源定位问题的研究较少。文献[10-11] 仅基于矿井瓦斯扩散特性,提出利用多源传感器节点协作完成矿井瓦斯释放源信息采集,以解决矿井采空区瓦斯突出预警的问题,但对矿井瓦斯释放源跟踪与定位问题,以及对如何设计精确的瓦斯释放源定位算法缺乏深入研究。
瓦斯释放源跟踪与定位问题的本质是通过对多源传感器节点采集的信号序列进行统计分析,获取释放源状态的观测信息,从而实现对瓦斯释放源的状态估计,其中瓦斯释放源状态包括目标位置、瓦斯释放率、运动速率(风速)及加速度(风向)。因此,对释放源状态的估计可转化为贝叶斯理论[12]框架下,根据极大后验准则,将具有极大后验概率密度的状态作为系统状态估计值的过程。
研究表明[13],对线性高斯情况下的目标跟踪定位,可用卡尔曼滤波解决。由于矿井瓦斯扩散问题是非线性、非高斯过程[14-15],所以难以通过常规方法准确地建立监测区域的全局扩散模型,但对于局部区域可基于湍流扩散理论推导出相对简化的气体释放源扩散模型[16-18]。目前,常采用的方法是模型线性化,即利用高斯分布函数的线性联合多项式近似描述,但此方法存在一定的误差。为此,将粒子滤波(Particle Filter,PF)算法[19]运用到瓦斯释放源定位研究,通过预估瓦斯气体扩散粒子的概率分布实现对矿井瓦斯释放源定位。
本文以煤矿井下的气体释放源为研究基础,结合煤矿井下的特定环境,针对综放工作面采空区的瓦斯进行研究,提出一种基于多源传感器融合的矿井瓦斯释放源定位方法,以实现瓦斯释放源的准确定位,并通过实验验证了该方法的有效性和可靠性。
PF算法又称为序贯蒙特卡洛方法(Sequential Monte Carlo Methods,SMC),其基本思想是用一组粒子近似表示系统的后验概率分布,以此来估计非线性系统的状态。
假设非线性动态系统的状态空间模型表示为
xk=Axk-1+uk-1
(1)
zk=h(xk)+vk
(2)
式中,xk表示系统在k时刻的状态;zk表示k时刻的观测向量;A∈Rm×m表示已知的状态转移矩阵;h(xk)为任意关于xk的线性或非线性函数;uk-1和vk分别表示均值为零的状态噪声及观测噪声。
假设已知k-1时刻的后验概率密度函数为p(xk-1|z1:k-1),则下一状态xk的预测方程为
(3)
在k时刻已获得新的量测值zk,利用贝叶斯公式计算得到系统状态的后验概率密度函数
![]()
(4)
其中,p(zk|xk)为似然函数,归一化常数:![]()
从后验概率中采集N个样本,则后验概率的计算可表示为
(5)
其中,j∈N,在蒙特卡洛方法中,
是狄拉克函数![]()
当样本数量足够大时,由序列重要性采样原理,得到k时刻粒子的概率密度函数与权重分别为
(6)
![]()
(7)
式中,
为归一化粒子权重,
且满足
为重要性密度函数。
假设煤矿采空区瓦斯释放源在上邻近层与底板遗煤处[10],如图1所示,井下巷道采空区WSN中多源传感器的感知节点随机分布,单个簇集区域内感知节点对瓦斯释放源扩散浓度进行采集,并经簇头节点与传输网络连接,将WSN中多源传感器节点采集的信息发送至监控终端。

图1 采空区无线传感器随机分布
Fig.1 Random distribution of goaf sensors
井下瓦斯扩散理论模型可描述[16]为
(8)
式中,ri=(xi,yi)为传感器节点位置(i=1,2,…,N,其中N为节点总数);rs=(xs,ys)为瓦斯释放源位置坐标,c(ri,t)为传感器节点ri处瓦斯扩散浓度值;q为瓦斯释放率;K为湍流扩散系数;V为采空区风速;Δx=(xs-xi)cos θ+(ys-yi)sin θ,θ为风向与x轴正向夹角。
根据式(8)可知采空区瓦斯释放源扩散特性如图2所示,其中瓦斯释放率q、湍流扩散系数K、采空区风速V以及θ的取值分别为500 L/s,0.6,2 m/s,2π。

图2 采空区瓦斯释放源扩散图
Fig.2 Goaf gas diffusion source diffusion diagram
基于采空区瓦斯扩散模型,WSN中传感器节点i的观测模型为
y(ri,t)=c(ri,t)+Θ(ri,t)+b
(9)
式中,y(ri,t)为传感器节点ri的瓦斯体积分数观测值;Θ(ri,t)为传感器节点i的观测噪声,服从高斯白噪声特性
为恒定量。
令zi(t)=y(ri,t),Θi(t)=Θ(ri,t),λ(φ)hi(t)=c(ri,t),式(9)可描述为
zi(t)=Hi(t)xi(t)+Θi(t)
(10)
式中,Hi(t)=[hi(t),1],xi(t)=[λ(φ),b]T,φ=[r0,q]表示瓦斯释放源的参数向量,φ=[r0,q]。
将传感器节点i在第k周期所观测的瓦斯体积分数,通过离散形式表示为
zi,k=Hi,kxi,k+Θi,k
(11)
式中,Hi,k为传感器节点i在k时刻的观测矩阵;xi,k为传感器节点i在k时刻瓦斯释放源的参数向量,xi,k=[λ(φ)b]T;Θi,k为传感器节点i的观测噪声,其服从高斯分布N(0,‖ri-rs‖α/2),其中α为扩散衰减系数。
研究表明,粒子滤波算法存在粒子多样性采样退化问题。因此,为了提高粒子滤波算法的可靠性与鲁棒性,采用混合卡尔曼粒子滤波算法[20-21](Mixed Kalman Particle Filter,MKPF)对矿井采空区瓦斯释放源进行参数估计并实现源定位,其中瓦斯释放源参数向量φ的状态参量xi,k的后验概率分布可用一个粒子集描述。MKPF算法主要思想:假设在k-1时刻的状态估计量均值为
协方差为Pk-1。在k时刻,从
中提取N个粒子,首先采用Unscented 卡尔曼滤波(Unscented Kalman Filter,UKF)算法传递并更新粒子,获取相应的状态估计值
然后采用扩展卡尔曼滤波(Extended Kalman Filter,EKF)算法重复粒子更新过程,并通过
迭代,即将
当作EKF在k-1时刻的估计值,从而得到迭代后的最终估计值
和Pk。
假设(CHk,CN1,k,…,CNck-1,k)为多源传感器在k时刻的簇集,CHk为簇头节点,簇内节点CNi,k的总数为ck,其观测值序列为
对应的粒子集为
其中,粒子
表示瓦斯释放源的参数概率分布,
为粒子
的权重,且满足
为k时刻的粒子总数。粒子集在k时刻的后验概率密度函数由式(6)可知为
(12)
粒子重要性采样密度函数q(·)定义
(13)
式中,
服从高斯分布且(1≤i≤ck,1≤j≤nj);nj为该时刻粒子总数,可随时间变化。
由于传感器节点在初始状态下,瓦斯释放源的先验信息未知,设粒子的初始权重为
则粒子的权重更新为
(14)
其中,
为似然函数;
为概率转移密度函数。
若每个采样时刻未满足终止条件,则更新权重
并对其进行归一化处理,即有
(15)
式中,归一化处理权值![]()
为防止粒子退化,给定是否进行重采样的衡量指标:
(16)
当Mi,k小于给定阈值
时,处理退化现象,且新粒子集合
权重赋值为
据此,传感器节点CNi,k根据采集的新样本粒子集和其权值集合
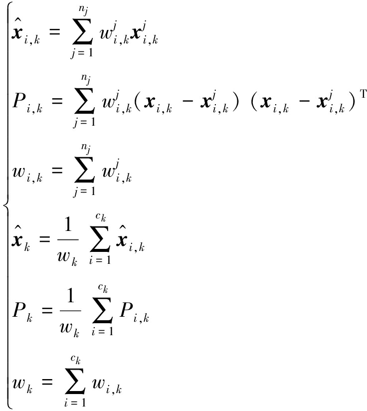
计算第i节点均值、协方差和权值3个状态参数信息
簇头CHk节点数据融合后相应的参数信息
分别为

(17)
在k+1时刻,将簇头节点CHk看作任务节点,将其测量值与候选邻居节点集中的任意节点CNi,k的测量值进行融合,进而得到预估值
然后再更新簇头节点估计量协方差矩阵的迹
从而得到当前簇头节点CHk参数估计精度的性能指标,则更新后协方差矩阵的迹可为
(18)
上述基于MKPF算法的瓦斯释放源参数估计方法,具体实现步骤如下:
(1)初始化。在k=0时刻,设定初始粒子总数nj,并赋予粒子相同的权值![]()
(2)重要性采样。根据式(13)进行采样,从中抽取M个粒子,得到新的粒子集合![]()
(3)权值更新。由式(14),(15)计算M个粒子权值,并归一化权值![]()
(4)粒子重采样。根据式(16)判断是否满足粒子退化条件Mi,k<M0,若满足,则对粒子集
重采样,重采样后的粒子集为
权值为
否则,粒子集无需重采样。
(5)状态预测与估计。根据式(17)计算k时刻第i节点的均值、协方差和权值状态参数估计值集合![]()
(6)UKF更新粒子。从集合
中选择一组样本点集合近似表示k-1时刻的状态分布
根据式(8),(11)传递样本点并更新预测估计值集合![]()
(7)EKF更新粒子。将
作为EKF在k-1时刻的估计值,即
利用重要性采样密度函数为
代入式(14),再次重复粒子更新过程,得到迭代后的参数估计值![]()
(8)输出估计值与融合结果。输出参数估计值
及式(17)计算数据融合后的结果![]()
(9)判定信息采集是否结束。根据数据融合的结果,判断簇头节点估计量协方差的最小迹Jk=trace(Pk)是否达到给定的阈值条件,若Jk≥J0,则运算结束且运算节点休眠;否则,进行下一簇集的节点调度;
(10)粒子数量更新。根据式(13)计算k+1时刻的粒子数
令k=k+1,返回步骤(2),重复执行步骤(2)~(9)。
MKPF瓦斯释放源参数估计具体实现流程,如图3所示。

图3 MKPF算法估计参数
Fig.3 MKPF algorithm estimation parameters
为了验证MKPF算法在瓦斯释放源定位方面的有效性和可靠性,将与PF算法、Unscented粒子滤波算法(Unscented Particle Filter,UPF)、扩展卡尔曼粒子滤波算法(Extended Kalman Particle Filtering,EKPF)的进行比较,并通过Matlab仿真实验给出仿真结果。
仿真实验中,假设瓦斯释放源真实坐标位置(x,y)为(50,30),随机地部署100个多源传感器节点,每个传感器节点的位置坐标信息为ri=(xi,yi)(i=
1,2,…,100),观测噪声vk服从高斯分布N(0,0.001),观测时间为T=10 s,每隔T周期采集一组数据,进行100次独立实验。仿真依据采空区不同风速v和不同风向θ条件下,考察多源传感器采集瓦斯体积分数后的4种算法的状态估计和估计得均方误差,从而对比分析4种算法在定位准确性方面的性能。以第2节中井下瓦斯气体扩散模型所描述的式(8)作为非线性动态系统的状态方程,式(11)为观测方程。非线性系统状态估计的均方误差定义
分析4种算法的定位精度,主要分别考察以下4种情况:风速v恒定、风向恒定,风速v恒定、风向θ变化,风速v变化、风向θ恒定以及风速v、风向θ均变化等条件下的实验对比情况。
由图4(a),5(a)可知,在风速恒定不变条件下,沿着x轴正方向风向方向上,PF,UPF算法估计精度相当且比MKPF算法差,而与风向垂直的方向上,PF算法估计精度最差,MKPF算法最优。

图4 4种算法的状态估计
Fig.4 State estimation of four algorithms

图5 4种算法的均方误差
Fig.5 Mean square error of four algorithms
由图4(b),5(b)可知,在风速恒定不变条件下,沿着(0,2π] 服从N(0,1)的高斯分布的风向方向,EKPF,MKPF算法估计精度相当,PF和UPF算法次之,而与风向垂直的方向上,PF算法估计精度最差,MKPF算法最优。
同样,由图4(c),5(c)可知,当风速在(0,2]内服从N(0,1)的高斯分布、风向为x轴正方向条件下,沿着风向方向和与风向垂直的方向上,MKPF算法和EKPF算法性能最优,而且估计精度相当,而UPF算法性能次之,PF算法性能最差。
此外,根据图4(d),5(d)所示,当风速在(0,2]内服从N(0,1)的高斯分布、风向在(0,2π]内服从N(0,1)的高斯分布条件下,由图4(d),5(d)可知,沿着风向方向上,PF算法估计精度最差,MKPF算法估计精度最优;与风向垂直的方向上,PF算法估计精度最差,EKPF,UPF算法估计精度相当,MKPF最优。
综合图4,5分析可知,不同算法经过100次独立实验,因PF算法把先验概率转移密度函数作为重要性采样密度函数,忽略了当前时刻的观测值,所以PF算法估计精度最差。虽然EKPF,UPF,MKPF算法均结合了当前时刻观测值信息的重要性采样密度,但是当风向恒定时,沿风向方向,UPF算法估计精度明显低于MKPF算法,与风向垂直方向上,MKPF与EKPF算法的估计精度相当;而当风向服从高斯分布时,不管风速如何变换,MKPF算法均最优。
为了考察MKPF算法的综合实用性能,在运算耗时方面做了进一步研究。对PF,EKPF,UPF,MKPF四种算法进行100次数据采集耗时实验对比,实验结果见表1。
表1 算法平均消耗时间
Table 1 Algorithm average time spent

由表1对比分析可知,因MKPF算法耗时较长,所以后期工作可在如何改善MKPF算法耗时较长的问题上进行研究。总之,由4种算法比较可知,MKPF算法的估计精度最优,体现了其算法性能的优越性。
(1)针对矿井采空区瓦斯释放源的定位问题:提出了多源传感器融合的释放源定位方法,实现对瓦斯释放源精确定位。
(2)建立了井下采空区瓦斯扩散模型和传感器观测模型,在此基础上,采用MKPF算法对瓦斯释放源参数估计。
(3)实验表明,在相同矿井巷道、相同风速和风向条件下,MKPF算法在估计参数精度上均优于PF,EKPF,UPF算法。
(4)研究表明,将MKPF算法应用于矿井瓦斯释放源定位系统,可提高释放源定位精度,这为采空区瓦斯突出预警及瓦斯抽采提供理论参考依据。
通过仿真实验验证了算法的有效性和可靠性,然而本算法仿真实验是假设系统工作在二维环境下的定位,在实际三维环境中的算法表现,有待于进一步验证。
参考文献(References):
[1] CHONG C,KUMAR S P.Sensor networks:Evolution,opportunities,and challenges[A].Proceedings of the IEEE[C].2003:1247-1256.
[2] OTHMAN M F,SHAZALI K.Wireless sensor network applications:A study in environment monitoring system[J].Procedia Engineering,2012,41:1204-1210.
[3] HALL D L,LLINAS J.An introduction to multi-sensor data fusion[J].Circuits and Systems,1998.ISCAS ’98.Proceedings of the 1998 IEEE International Symposium on[C].IEEE,1998:537-540.
[4] 景兴鹏,王伟峰,黑磊,等.无线传感器网络在煤矿安全智能监控系统中的应用[J].煤炭技术,2009,28(4):93-96.
JING Xingpeng,WANG Weifeng,HEI Lei,et al.Application of wireless sensor networks in coal mine safety intelligent monitoring system[J].Coal Technology,2009,28(4):93-96.
[5] MAHDAVIPOUR O,MUELLERSIM T,FAHIMI D.Wireless sensors for automated control of total incombustible content(TIC) of dust deposited in underground coal mines[A].IEEE Conference Publications,IEEE[C].2015:1-4.
[6] 孙继平.基于物联网的煤矿瓦斯爆炸事故防范措施及典型事故分析[J].煤炭学报,2011,36(7):1172-1176.
SUN Jiping.Preventive measures and typical accident analysis of coal mine gas explosion accident based on internet of things[J].Journal of China Coal Society,2011,36(7):1172-1176.
[7] 孙东玲,胡千庭,苗法田.煤与瓦斯突出过程中煤-瓦斯两相流的运动状态[J].煤炭学报,2012,37(3):452-458.
SUN Dongling,HU Qianting,MIAO Fatian.Motion state of coal-gas flow in the process of outburst[J].Journal of China Coal Society,2012,37(3):452-458.
[8] WANG H,CHENG Y,YUAN L.Gas outburst disasters and the mining technology of key protective seam in coal seam group in the Huainan coalfield[J].Natural Hazards,2013,67(2):763-782.
[9] 刘红霞,张建锋.基于无线传感器网络的煤矿瓦斯预警系统设计研究[J].煤炭技术,2010(4):33-35.
LIU Hongxia,ZHANG Jianfeng.Design of coal mine gas warning system based on wireless sensor networks[J].Coal Technology,2010(4):33-35.
[10] 吴玉国,邬剑明,王俊峰,等.双U型通风系统综放开采采空区瓦斯分布规律[J].煤炭学报,2011,36(10):1704-1708.
WU Yuguo,WU Jianming,WANG Junfeng,et al.The law of gas distribution in goaf of fully mechanized top-coal caving working face with “double-U” ventilation system[J].Journal of China Coal Society,2011,36(10):1704-1708.
[11] 陈冲冲,张学博,闫潮.采空区瓦斯涌出源位置对瓦斯分布影响的数值模[J].安全与环境学报,2015,15(5):100-103.
CHEN Chongchong,ZHANG Xuebo,YAN Chao.Numerical simulation for the impact of gas emission location on the gas distribution in the goaf[J].Journal of Safety and Environment,2015,15(5):100-103.
[12] FOX D,HIGHTOWER J,LIAO L.Bayesian filtering for location estimation[J].IEEE Pervasive Computing,2003,2(3):1536-1268.
[13] CHAN Y,HU A,PLANT J B.A Kalman filter based tracking scheme with input estimation[J].IEEE Transactions on Aerospace and Electronic Systems,1979,15(2):237-244.
[14] ARULAMPALAM M S,MASKELL S,GORDON N.A tutorial on particle filters for online nonlinear/non-Gaussian Bayesian tracking[J].IEEE Transactions on Signal Processing,2002,50(2):175-186.
[15] PILLALAMARRY M,HARPALANI S,LIU S.Gas diffusion behavior of coal and its impact on production from coalbed methane reservoirs[J].International Journal of Coal Geology,2011,86(4):342-348.
[16] NEHORAI A,PORAT B,PALDI E.Detection and localization of vapor-emitting sources[J].IEEE Transactions on Signal Processing,1995,43(1):243-253.
[17] 张勇,张立毅,孟广超,等.分簇传感网络分布式粒子滤波气体释放源定位算法[J].传感技术学报,2016,29(8):1240-1243.
ZHANG Yong,ZHANG Liyi,MENG Guangchao,et al.Diffusive source localization algorithm based on decentralized particle filter in cluster sensor networks[J].Chinese Journal of Sensors and Actuators,2016,29(8):1240-1243.
[18] ISHIDA H,NAKAMOTO T,MORIIZUMI T.Remote sensing of gas/odor source location and concentration distribution using mobile system[J].Sensors and Actuators B:Chemical,1998,49(1-2):52-57.
[19] ZUO J,JIA Y,ZHANG Y,et al.Adaptive iterated particle filter[J].Electronics Letters,2013,49(12):742-744.
[20] HARGRAVE Chad O,JAMES Craig A,RALSTON Jonathon C.Infrastructure-based localisation of automated coal mining equipment[J].International Journal of Coal Science & Technology,2017,4(3):252-261.
[21] 王法胜,赵清杰.一种用于解决非线性滤波问题的新型粒子滤波算法[J].计算机学报,2008,31(2):346-352.
WANG Fasheng,ZHAO Qingjie.A new particle filter for nonlinear filtering problems[J].Chinese Journal of Computers,2008,31(2):346-352.
ZHANG Fan,HAN Huijie
(School of Electrical and Information Engineering,China University of Mining and Technology (Beijing),Beijing 100083,China)
Abstract:This paper focused on the problem of the source localization of coal mine gas release.Due to the existence of wind leakage,it is difficult to find the location accurately by using the conventional algorithms.In this study,a multi-source sensor fusion based algorithm for locating the coal mine gas release was proposed.Firstly,the gas distribution in the goaf of a fully mechanized working face was analyzed and the observation model of mine goaf area and the diffusion model of gas release were established.Then,the gas release source parameters of goaf were estimated using the Mixed Kalman Particle Filter algorithm (MKPF),and the coordinate of the estimated parameters was obtained according to the iterative operation.Finally,the data of wireless sensor target source sensing nodes and cluster head nodes were fused to locate the accurate coordinate of the gas release source.The research concludes that the MKPF algorithm has obvious advantages in accuracy localization,which can effectively overcome the difficulty of gas release source localization impacted by wind leakage.It can provide support for gas warning and gas drainage in goaf.
Key words:gas;diffusive source localization;Kalman particle filter algorithm;wireless sensor networks;data fusion
中图分类号:TD65
文献标志码:A
文章编号:0253-9993(2018)04-1179-08
收稿日期:2017
07
02
修回日期:2017
12
20
责任编辑:许书阁
基金项目:国家重点研发计划资助项目(2016YFC0801800);国家自然科学基金资助项目(51134024,51674269)
作者简介:张 帆(1972—),男,甘肃白银人,副教授,博士。Tel:010-62331953,E-mail:zf@cumtb.edu.cn
张帆,韩会杰.多源传感器融合的矿井瓦斯释放源定位方法[J].煤炭学报,2018,43(4):1179-1186.
doi:10.13225/j.cnki.jccs.2017.1063
ZHANG Fan,HAN Huijie.Location method of mine gas diffusive position based on the multi-source sensor[J].Journal of China Coal Society,2018,43(4):1179-1186.
doi:10.13225/j.cnki.jccs.2017.1063