潘继良1,2,3,高召宁4,任奋华1,2,3
(1.北京科技大学 土木与资源工程学院,北京 100083; 2.北京科技大学 金属矿山高效开采与安全教育部重点实验室,北京 100083; 3.北京科技大学 城市与地下空间工程北京市重点实验室,北京 100083; 4.安徽理工大学 煤矿安全高效开采省部共建教育部重点实验室,安徽 淮南 232001)
摘 要:为了研究强度准则效应对圆形巷道围岩稳定性的影响,首先对Mohr-Coulomb(MC)准则、Drucker-Prager(DP)准则、统一强度理论和Mogi-Coulomb(MO)准则等4种岩石材料常用的强度准则进行归纳总结,得到了平面应变条件下统一形式的屈服方程;然后将巷道围岩划分为破碎区、塑性软化区和弹性区,同时引入强度参数软化模量和扩容系数,考虑中间主应力效应、岩石峰后应变软化和扩容特性,推导了巷道围岩应力、位移和塑性区半径统一解,并对新解的各影响因素进行了对比分析。分析结果表明:本文所提出的新解不仅形式简洁,而且可以灵活匹配不同的岩石强度准则;不考虑中间主应力效应的强度准则相对偏于保守,考虑中间主应力效应时,MO准则和权系数<0.5的统一强度理论计算得到的塑性区半径和位移处于中间水平,而外接圆DP准则和权系数>0.5的统一强度理论对中间主应力效应考虑较多,选用时需谨慎;应变软化会使塑性区内围岩的性质得到进一步劣化,出现更大范围的破碎区,提高破碎区残余强度是一种有效的支护方法;巷道围岩的扩容特性不仅与剪胀角有关,而且还与塑性势函数有关,不考虑扩容将会低估围岩的真实变形。研究结果可为巷道围岩稳定性评价和支护设计提供重要理论参考依据。
关键词:圆形巷道;强度准则效应;中间主应力;应变软化;扩容

移动阅读
潘继良,高召宁,任奋华.考虑应变软化和扩容的圆形巷道围岩强度准则效应[J].煤炭学报,2018,43(12):3293-3301.doi:10.13225/j.cnki.jccs.2018.0195
PAN Jiliang,GAO Zhaoning,REN Fenhua.Effect of strength criteria on surrounding rock of circular roadway considering strain softening and dilatancy[J].Journal of China Coal Society,2018,43(12):3293-3301.doi:10.13225/j.cnki.jccs.2018.0195
中图分类号:TD325;TU452
文献标志码:A
文章编号:0253-9993(2018)12-3293-09
收稿日期:2018-02-06
修回日期:2018-05-08
责任编辑:韩晋平
基金项目:国家自然科学基金资助项目(51774022);国家重点研发计划资助项目(2016YFC0600703,2016YFC0600801)
作者简介:潘继良(1994—),男,安徽寿县人,博士研究生。E-mail:panjiliang2015@163.com
通讯作者:任奋华(1969—),男,江苏金坛人,副教授。E-mail:renfh_2001@163.com
PAN Jiliang1,2,3,GAO Zhaoning4,REN Fenhua1,2,3
(1.School of Civil and Resource Engineering,University of Science and Technology Beijing,Beijing 100083,China; 2.Key Laboratory of Ministry of Education for Efficient Mining and Safety of Metal Mines,University of Science and Technology Beijing,Beijing 100083,China; 3.Beijing Key Laboratory of Urban Underground Space Engineering,University of Science and Technology Beijing,Beijing 100083,China; 4.Key Laboratory of Safe and Effective Coal Mining,Ministry of Education,Anhui University of Science and Technology,Huainan 232001,China)
Abstract:In order to study the effect of strength criteria on the surrounding rock stability of circular roadway,under the plane strain condition,a unified yield equation was firstly summarized for four commonly used strength criteria of rock materials,such as Mohr-Coulomb (MC) criterion,Drucker-Prager (DP) criterion,uniform strength theory and Mogi-Coulomb (MO) criterion.Then,the circular roadway surrounding rock was divided into fracture zone,plastic softening zone and elastic zone,and the softening modulus of strength parameters and coefficients of dilatancy were introduced by considering the intermediate principal stress effect,post-peak strain softening and dilatancy.Furthermore,the new unified solutions for stress,displacement and plastic zone radius of surrounding rock had been deduced,and the comparative analyses were conducted on the various influence factors of the new solutions.It was found that the new solutions proposed in this paper not only have the form of conciseness,but also can flexibly match different rock strength criteria.The strength criteria without considering the effect of the intermediate principal stress are relatively conservative.When considering the effect of intermediate principal stress,the radius and displacement of the plastic zone calculated by the MO criterion and the unified strength theory with weight coefficient less than 0.5 are in the middle level.The circumcircle DP criterion and the unified strength theory with weight coefficient greater than 0.5 have more considerations for the effect of the intermediate principal stress,which should be selected carefully.The strain softening causes the properties of the surrounding rock in the plastic zone to be further degraded,resulting in a wider range of fracture zone.Increasing the residual strength of the fracture zone is an effective support method.The dilatancy is not only related to the dilatancy angle,but also related to the plastic potential function,in addition,the actual deformation of surrounding rock will be underestimated without the consideration of dilatancy.The results can provide an important theoretical basis for roadway surrounding rock’s stability evaluation and quantitative support design.
Key words:circular roadway;effect of strength criterion;intermediate principal stress;strain softening;dilatancy
在巷道围岩稳定性分析过程中,强度准则的选取是否得当,不仅会影响到支护方案的设计及支护效果,还会影响到经济效益。在深部矿产资源开采中,巷道围岩主要由岩石构成,针对岩石材料,目前常用的强度准则主要包括:Mohr-Coulomb(MC)准则[1],Drucker-Prager(DP)准则[2]、统一强度理论[3]和Mogi-Coulomb(MO)准则[4]。其中MC准则应用最为广泛,但没有考虑中间主应力效应,而DP准则、统一强度理论和MO准则都不同程度地考虑了中间主应力效应对岩石强度的影响。对于深部巷道围岩,尤其是软岩或破碎岩体,不仅表现出峰后应变软化现象,而且自身还具有扩容特性[5-6]。
因此,笔者首先对4种常用的岩石强度准则进行归纳总结,并对可考虑中间主应力效应的强度准则引入中主应力系数,得到平面应变条件下的统一屈服方程;然后考虑围岩峰后应变软化及扩容特性,引入强度参数软化模量和扩容系数,推导了包含不同强度准则的弹塑性统一解,并通过算例对各影响因素进行了对比分析。
按照岩土力学分析习惯,定义压应力为正,拉应力为负,σθ,σz,σr分别为巷道围岩切向、轴向和径向应力,主应力次序为σθ≥σz≥σr。在岩土工程及地下工程中,常采用中主应力系数b来反映3个主应力之间的关系[7],即
(1)
在假定的主应力次序下,0≤b≤1。
MC准则是一种剪应力屈服条件,不足之处在于不包含中间主应力,表达式为
σθ=MMCσr+NMC
(2)
式中,
为黏聚力;φ为内摩擦角。
在Mises准则的基础上,DRUCKER和PRAGER于1952年提出了DP准则。之后根据DP准则与MC准则在π平面上的相对位置关系,又演化出了平面应变状态下的DP系列准则[8-9],表达式为
(3)
式中,参数αd和kd的表达式见表1;I1为应力张量第1不变量,I1=σθ+σz+σr;J2为应力偏张量第2不变量,J2=[(σθ-σz)2+(σz-σr)2+(σr-σθ)2]/6。
将式(1)代入式(3),整理得到平面应变条件下含中主应力系数b的DP系列准则表达式
σθ=MDPσr+NDP
(4)
其中,![]()
表1 DP系列准则计算参数[8]
Table 1 Calculated parameters of different DP yield criteria[8]

俞茂宏等[3,10]在双剪理论的基础上,发展并提出统一强度理论(uniform strength theory),表达式为

(5)
其中,m为反映中间主应力影响的权系数,0≤m≤1。当m=0时,退化为MC强度准则;m=1时,为双剪强度准则。为了方便讨论,在本文中,m=0.25时记为UST1/4,m=0.5时记为UST1/2,m=0.75时记为UST3/4。
将式(1)代入式(5),求得平面应变状态下含中主应力系数b的统一强度理论表达式
σθ=MUSTσr+NUST
(6)
其中,当b≤(1+sin φ)/2时,有

当b≥(1+sin φ)/2时,有

Mogi在Mises准则的基础上,通过大量岩石真三轴试验,提出了可考虑中间主应力影响的Mogi经验强度准则[11]通式:
τoct=f(σm,2)
(7)
式中,σm,2为最大和最小主应力的平均值,σm,2=(σθ+σr)/2;τoct=[(σθ-σz)2+(σz-σr)2+(σr-σθ)2]1/2/3,为八面体剪应力。
AL-AJIM等[12]将线性Mogi准则和Coulomb准则相结合,建立了MO破坏准则,表达式为
τoct=αmσm,2+km
(8)
式中,![]()
将式(1)代入式(8),求得平面应变状态下含中主应力系数b的MO准则表达式
σθ=MMOσr+NMO
(9)
其中,![]()
综合以上4种常用的岩石强度准则,得到平面应变状态下统一形式的屈服方程
f=σθ-Mσr-N=0
(10)
对于不同的强度准则,可以通过对应不同的参数M和N来体现。由于MC准则不考虑中间主应力效应,因此参数MMC和NMC中不包含中主应力系数b;DP系列准则、统一强度理论和MO准则可以考虑中间主应力效应,对应的参数M和N中均包含中主应力系数b。
假设巷道无限长,断面为圆形,围岩为各向同性的均质岩体,且处于各向等压状态,将塑性区细分为塑性软化区和破碎区2部分,由内而外依次为破碎区、塑性软化区和弹性区[13],并将该问题简化为轴对称平面应变问题进行分析。巷道半径r0,开挖后形成的破碎区半径为Rb,塑性软化区半径Rs,初始地应力σ0,巷道支护力pi,建立的力学模型如图1所示。

图1 圆形巷道计算模型
Fig.1 Calculation model of circular roadway
大量室内试验及现场实践表明,对于巷道围岩,当应力超过岩体的抗压强度后,随着变形的增加,岩体的自身强度会逐渐衰减至残余强度,称之为岩体的应变软化特性,可以通过强度参数c和φ来反映[14-15]。研究表明,黏聚力c和内摩擦角φ的软化过程主要与塑性区切应变
有关[16],假设这种过程是线性的,软化程度以α,β角来表示,对应的软化模量分别为Hc=tan α,Hφ=tan β,建立的岩体强度参数软化模型如图2所示。

图2 强度参数软化模型
Fig.2 Softening model of strength parameters
定义c0和c*分别为初始黏聚力和残余黏聚力,φ0和φ*分别为初始内摩擦角和残余内摩擦角,弹塑性交界面处的切应变用
表示,塑性软化区和破碎区交界面处的切应变用
表示,求得巷道围岩内某一点的黏聚力c和内摩擦角φ表达式为

(11)

(12)
式中,![]()
巷道围岩在变形破碎过程中,会出现体积膨胀的现象称之为扩容[17]。根据塑性位势理论[18],有
(13)
式中,
为塑性应变增量;dλ为塑性因子增量;g为塑性势函数;σij为应力张量。
为了反映围岩的扩容特性,假设塑性势函数g与屈服函数f具有相同的形式,将屈服函数中的内摩擦角φ替换为剪胀角ψ(通常小于等于内摩擦角φ),定义塑性势函数g为
g=σθ-M*σr-N*
(14)
将式(14)代入式(13)求得塑性应变增量为

(15)
基于线性非关联流动法则[19],得到塑性应变增量关系式
(16)
联立式(15)和式(16)求得塑性软化区扩容系数表达式
(17)
同理求得破碎区扩容系数表达式
(18)
Ms*和Mb*分别为不同强度准则下,将内摩擦角φ替换为软化区剪胀角ψs和破碎区剪胀角ψb的参数M。当ψ=φ时,非关联流动法则转变为关联流动法则;ψ=0°时,巷道围岩不发生扩容。
轴对称条件下的平衡微分方程:
(19)
几何方程:
(20)
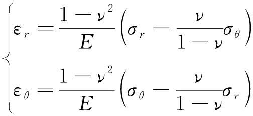
平面应变问题的本构方程:

(21)
弹性区边界条件:
(22)
式中,
为弹塑性交界面处的径向应力。
在弹塑性交界面处既满足强度准则式(10),又满足
求得
(23)
式中,Me和Ne分别为弹性区的黏聚力c0和内摩擦角φ0所对应的参数M和N。
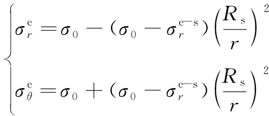
弹性区应力:

(24)
弹性区应变:

(25)
令G=E/2(1+ν),求得弹性区位移为
(26)
根据弹塑性理论,塑性软化区应变由弹性应变和塑性应变两部分构成,即
(27)
式中,上标se表示塑性软化区内的弹性部分;sp表示塑性软化区内的塑性部分,令
(28)
结合式(16)和式(27),得
(29)
不考虑应力重分布对塑性软化区内弹性应变的影响,视软化区弹性应变为常数,其值为弹塑性交界面处弹性区的应变,即
(30)
代入几何方程(20),有
(31)
结合弹塑性交界面处边界条件:r=Rs时,
积分可得塑性软化区位移表达式
(32)
结合几何方程(20),求得塑性软化区应变:

(33)
由式(33)可以求得
(34)
![]()
(35)
联立式(11)和式(12),分别求得塑性软化区黏聚力cs和内摩擦角φs表达式
(36)
![]()
(37)
将式(36)和式(37)代入屈服方程(10),替换初始黏聚力c0和内摩擦角φ0,联立平衡微分方程(19),结合弹塑性交界面处的边界条件:r=Rs时,
求得塑性软化区应力为

(38)
式中,Ms和Ns分别为塑性软化区的黏聚力cs和内摩擦角φs所对应的参数M和N。
联立屈服方程(10)和平衡微分方程(19),结合巷道内壁处的边界条件
求得破碎区应力

(39)
式中,Mb和Nb分别为破碎区的残余黏聚力c*和残余内摩擦角φ*所对应的参数M和N。
破碎区应变同样由弹性应变和塑性应变两部分构成,且满足
即
(40)
由式(33)得

(41)
由塑性软化区与破碎区交界面处的径向位移连续,求得
(42)
积分得破碎区位移表达式为
![]()
(43)
把r=r0代入式(43)即可求得巷道硐壁处位移。
3.5.1 塑性软化区半径
在塑性软化区和破碎区交界处的径向应力连续,且在此处黏聚力c0和内摩擦角φ0均降低到残余值,联立式(38)和式(39),求得塑性区半径Rs与巷道半径r0之比表达式为
(44)
3.5.2 破碎区半径
由式(11)和式(12)可知,在塑性软化区和破碎区交界处,有
(45)
![]()
(46)
分别求得黏聚力软化模量Hc和内摩擦角软化模量Hφ对应的软化区与破碎区半径之比表达式
(47)
![]()
(48)
为了进一步探讨强度准则效应、中间主应力效应、应变软化以及扩容对巷道围岩稳定性的影响,下面通过一个算例进行分析。选取的圆形巷道半径r0=3 m,围岩的弹性模量E=1.28 GPa,泊松比ν=0.22,初始黏聚力c0=3.8 MPa,残余黏聚力c*=1.8 MPa,初始内摩擦角φ0=26°,残余内摩擦角φ*=14°,塑性软化区剪胀角ψ=13°,破碎区剪胀角ψ=7°,初始地应力σ0=20.0 MPa,巷道支护力pi=1 MPa,对其他影响因素进行分析时,取黏聚力软化模量Hc=200 MPa,内摩擦角软化模量Hφ=1 200°。
强度准则效应分2组情况讨论:当中主应力系数b=0时,统一强度理论和MO准则退化为MC准则,此时只讨论MC准则和DP系列准则;当中主应力系数b≠0时,取b=0.5讨论DP系列准则、统一强度理论和MO准则。
图3给出了2组情况下不同岩石强度准则对应的塑性区半径和位移分布,虚线表示破碎区半径。由图3可以看出,不同强度准则对应不同的软化区半径、破碎区半径和位移分布,整体表现为塑性区半径越大,洞壁处位移越大的分布规律,且2组情况的区别较为明显,b=0时的半径和位移显著大于b=0.5时的半径和位移。

图3 强度准则效应对塑性区半径和位移的影响
Fig.3 Influence of strength criteria effect on plastic zone radius and displacements
由图3(a)可以看出,在不考虑中间主应力效应时,DP1准则与MC准则精准匹配,在巷道洞壁处的位移最小,对应的软化区半径和破碎区半径也最小;DP3准则与DP5准则较为接近,DP3准则对应的洞壁位移量最大,是MC准则的3倍,软化区半径和破碎区半径约为MC准则的2倍,说明DP3准则最为保守,是MC准则的下限;DP2准则和DP4准则最为接近,半径和位移均处于中间水平;塑性软化区、破碎区半径和位移分布整体表现为DP3>DP5>DP2>DP4>DP1=MC。
由图3(b)可以看出,考虑中间主应力效应时,DP3准则的软化区半径、破碎区半径和位移依然相对最大,洞壁处位移量是其他强度准则的2~4倍,半径是其他强度准则的1.5~2倍;UST1/4准则与MO准则最为接近,UST1/2准则与DP1准则最为接近,UST3/4准则对应的半径和位移最小,说明对于统一强度理论,权系数m越大,中间主应力效应越明显;围岩塑性软化区、破碎区半径及位移分布整体表现为DP3>MO>UST1/4>UST1/2>DP1>UST3/4。
综上所述,不考虑中间主应力效应的强度准则得到的塑性区范围及位移较大,相对偏于保守;考虑中间主应力效应时,MO准则和UST1/4准则计算所得结果处于中间水平,而DP1准则、UST1/2准则和UST3/4准则得到的塑性区范围和位移普遍较小,在实际应用中可能会高估中间主应力效应。
图4给出了不同强度准则下,不同黏聚力软化模量Hc对应的塑性软化区半径、破碎区半径和位移分布。

图4 应变软化对塑性区半径和位移的影响
Fig.4 Influence of strain softening on plastic zone radius and displacements
由图4可以看出,Hc对塑性区位移的影响并不明显,也不会改变塑性软化区半径,但对破碎区半径影响较为显著。在Hc逐渐增加的过程中,破碎区半径逐渐扩大,但扩大的幅度会越来越小;随着Hc的增大,围岩破碎区范围变大,塑性软化区范围减小,总的塑性区范围保持不变。因此,通过注浆等方法增大围岩的残余强度,可以在一定程度上减小破碎区范围,提高巷道围岩的稳定性。
从理论分析可知,内摩擦角软化模量Hφ与黏聚力软化模量Hc对围岩具有相同的影响趋势,限于篇幅,在此不做赘述。
巷道围岩的扩容性质主要通过剪胀角ψ和塑性势函数来体现,笔者针对关联流动法则(ψ=φ)、非关联流动法则(ψ≠φ)和不考虑扩容(ψ=0)3种情况,求出相应的剪胀系数χ的值,并对不同强度准则下,不同剪胀角所对应的塑性软化区、破碎区半径和位移分布(考虑中间主应力时b取0.5)进行对比分析,如图5所示。
由图5可看出,相同的剪胀角ψ下,不同的强度准则会得到不同的扩容系数χ,这说明扩容系数χ不仅与剪胀角ψ有关,还与强度准则有关,这是由于建立的塑性势函数与强度准则形式相同引起的;相同的强度准则下,剪胀角ψ对塑性区位移影响较为明显,关联流动法则下的洞壁位移量是非关联流动法则的1.2~1.3倍,而不考虑扩容的洞壁位移量是非关联流动法则的80%~90%,说明关联流动法则过多考虑了扩容的影响,而不考虑扩容会低估围岩的实际变形;不同的扩容系数χ并不会改变塑性区范围,但会改变破碎区范围,表现为剪胀角越大,破碎区半径越大。

图5 剪胀特性对塑性区半径和位移的影响
Fig.5 Influence of dilatancy on plastic zone radius and displacements
(1)考虑强度准则效应、中间主应力效应、围岩的应变软化及扩容特性,将圆形巷道围岩由内而外依次划分为破碎区、软化区和弹性区,并对各区的应力分布、位移分布和分布范围进行了理论推导,得到了包含4种常用强度准则的弹塑性统一解,新的统一解不仅形式简洁,而且具有可比性和广泛的适用性。
(2)巷道围岩存在明显的强度准则效应和中间主应力效应,不考虑中间主应力效应的强度准则计算得到的塑性区范围更大,且位移更明显;考虑中间主应力效应时,MO准则和权系数m<0.5的统一强度理论得到的结果处于中间水平,而DP1准则和权系数m较大的统一强度理论对中间主应力效应考虑较多,因此得到的塑性区范围和位移普遍较小。
(3)围岩的应变软化特性可通过黏聚力和内摩擦角的变化来反映,应变软化会使塑性区内的围岩性质得到进一步劣化,出现更大范围的破碎区,影响巷道围岩的整体稳定,通过采用注浆等手段增大围岩的残余强度,可以提高围岩的稳定性。
(4)巷道围岩的扩容系数不仅与剪胀角有关,还受塑性势函数选取的影响;扩容系数越大,破碎区范围越大,巷道硐壁处位移越明显;不考虑扩容会低估围岩的实际变形,考虑扩容时,采用关联流动法则会低估围岩的强度。所以,应采用塑性位势理论结合非关联流动法则对扩容进行分析。
参考文献
[1] 郭力群,蔡奇鹏,彭兴黔.条带煤柱设计的强度准则效应研究[J].岩土力学,2014,35(3):777-782.
GUO Liqun,CAI Qipeng,PENG Xingqian.Effect of strength criterion on design of strip coal pillar[J].Rock and Soil Mechanics,2014,35(3):777-782.
[2] DRUCKER D C,PRAGER W.Soil mechanics and plastic analysis of limit design[J].Quarterly of Applied Mathematics,1952(10):157-165.
[3] 俞茂宏.岩土类材料的统一强度理论及其应用[J].岩土工程学报,1994,16(2):1-10.
YU Maohong.Unified strength theory for geomaterials and its applications[J].Chinese Journal of Geotechnical Engineering,1994,16(2):1-10.
[4] 丁立钦,王志乔,吕建国,等.基于围岩本体Mogi-Coulomb强度准则的层理性岩层斜井井壁稳定模型[J].岩石力学与工程学报,2017,36(3):622-632.
DING Liqin,WANG Zhiqiao,LÜ Jianguo,et al.A model for inclined borehole stability in bedding rocks based on Mogi-Coulomb criterion of rock matrix[J].Chinese Journal of Rock Mechanics and Engineering,2017,36(3):622-632.
[5] 袁文伯,陈进.软化岩层中巷道的塑性区与破碎区分析[J].煤炭学报,1986(3):77-86.
YUAN Wenbo,CHEN Jin.Analysis of plastic zone and loose zone around opening in softening rockmass[J].Journal of China Coal Society,1986(3):77-86.
[6] 姚国圣,李镜培,谷拴成.考虑岩体扩容和塑性软化的软岩巷道变形解析[J].岩土力学,2009,30(2):463-467.
YAO Guosheng,LI Jingpei,GU Shuangcheng.Analytic solution to deformation of soft rock tunnel considering dilatancy and plastic softening of rock mass[J].Rock and Soil Mechanics,2009,30(2):463-467.
[7] 陈梁,茅献彪,李明,等.基于Drucker-Prager准则的深部巷道破裂围岩弹塑性分析[J].煤炭学报,2017,42(2):484-491.
CHEN Liang,MAO Xianbiao,LI Ming,et al.Elastoplastic analysis of cracked surrounding rock in deep roadway based on Drucker-Prager criterion[J].Journal of China Coal Society,2017,42(2):484-491.
[8] 邓楚键,何国杰,郑颖人.基于M-C准则的D-P系列准则在岩土工程中的应用研究[J].岩土工程学报,2006(6):735-739.
DENG Chujian,HE Guojie,ZHENG Yingren.Studies on Drucker-Prager yield criterions based on M-C yield criterion and application in geotechnical engineering[J].Chinese Journal of Geotechnical Engineering,2006(6):735-739.
[9] 刘金龙,栾茂田,许成顺,等.Drucker-Prager准则参数特性分析[J].岩石力学与工程学报,2006,25(S2):4009-4015.
LIU Jinlong,LUAN Maotian,XU Chengshun,et al.Study on parametric characters of Drucker-Prager Criterion[J].Chinese Journal of Rock Mechanics and Engineering,2006,25(S2):4009-4015.
[10] 俞茂宏.双剪理论及其应用[M].北京:科学出版社,1998.
[11] MOGI K.Experimental rock mechanics[M].London:CRC Press,2007.
[12] Al-AJMI A M,ZIMMERMAN R W.Stability analysis of vertical boreholes using the Mogi-Coulomb failure criterion[J].International Journal of Rock Mechanics and Mining Sciences,2006,43(8):1200-1211.
[13] 赵光明,张小波,王超,等.软弱破碎巷道围岩深浅承载结构力学分析及数值模拟[J].煤炭学报,2016,41(7):1632-1642.
ZHAO Guangming,ZHANG Xiaobo,WANG Chao,et al.Mechanical analysis and numerical simulation for deep and shallow bearing structures of soft and broken roadway surrounding rock[J].Journal of China Coal Society,2016,41(7):1632-1642.
[14] 张小波,赵光明,孟祥瑞.考虑峰后应变软化与扩容的圆形巷道围岩弹塑性D-P准则解[J].采矿与安全工程学报,2013,30(6):903-910,916.
ZHANG Xiaobo,ZHAO Guangming,MENG Xiangrui.Elastoplastic solution for surrounding rock of circular roadway based on D-P criterion by considering post-peak strain softening and dilatancy[J].Journal of Mining & Safety Engineering,2013,30(6):903-910,916.
[15] 袁超,王卫军,赵延林,等.考虑岩体塑性硬化与软化特性的巷道围岩变形理论分析[J].煤炭学报,2015,40(S2):311-319.
YUAN Chao,WANG Weijun,ZHAO Yanlin,et al.Theoretical analysis on roadway surrounding rock deformation based on the properties of rock plastic hardening and softening[J].Journal of China Coal Society,2015,40(S2):311-319.
[16] 李文婷,李树忱,冯现大,等.基于莫尔-库仑准则的岩石峰后应变软化力学行为研究[J].岩石力学与工程学报,2011,30(7):1460-1466.
LI Wenting,LI Shuchen,FENG Xianda,et al.Study of post-peak strain softening mechanical properties of rock based on Mohr-Coulomb criterion[J].Chinese Journal of Rock Mechanics and Engineering,2011,30(7):1460-1466.
[17] 高召宁,孟祥瑞,付志亮.考虑渗流、应变软化和扩容的巷道围岩弹塑性分析[J].重庆大学学报,2014,37(1):96-101.
GAO Zhaoning,MENG Xiangrui,FU Zhiliang.Elasto-plastic analysis on surrounding rock of roadways based on seepage,strain softening and dilatancy[J].Journal of Chongqing University,2014,37(1):96-101.
[18] 李学丰,孔亮,黄茂松.岩土材料特性相关塑性位势理论[J].岩土工程学报,2013,35(9):1722-1729.
LI Xuefeng,KONG Liang,HUANG Maosong.Property-dependent plastic potential theory for geomaterials[J].Chinese Journal of Geotechnical Engineering,2013,35(9):1722-1729.
[19] 孔位学,芮勇勤,董宝弟.岩土材料在非关联流动法则下剪胀角选取探讨[J].岩土力学,2009,30(11):3278-3282.
KONG Weixue,RUI Yongqin,DONG Baodi.Determination of dilatancy angle for geomaterials under non-associated flow rule[J].Rock and Soil Mechanics,2009,30(11):3278-3282.